Quantifying the Benefits of a Solar Home System-Based DC Microgrid for Rural Electrification
Abstract
:1. Introduction
1.1. Literature Study
- a centralized microgrid , with central PV generation and centralized storage;
- a semi-decentralized microgrid, with central PV generation and decentralized storage;
- a fully decentralized microgrid, with decentralized PV generation, decentralized storage, and DC distribution.
- Excess energy sharing. Interconnecting SHS enables excess energy sharing between the households.
- Reduced system size. A direct consequence of 1 is that the system sizes will be lower than the standalone case for meeting the same LLP requirement.
- Productive use of energy. High power appliances enabling productive use of energy can be easily supported in an interconnected SHS microgrid. Productive use of energy can supplement income-generating activities and therefore lead to a higher degree of ownership in the microgrid setup by the users.
- Climbing up the electrification ladder. Climbing up the tiers of MTF will require much lower increments in energy storage per household as opposed to a standalone SHS climb up the tiers.
- Retrofitting and ‘future-fitting’. Interconnected SHS-based microgrid not only helps in reusing the existing SHS but also ensures that a DC distribution grid exists for the central grid expansion if and when it reaches the target region.
1.2. Contributions of This Paper
- A bottom-up, organically growing microgrid is modeled that enables climbing up the rural electrification ladder through energy sharing.
- The benefits of SHS interconnectivity over standalone SHSs for enabling higher tiers of electricity access are quantified in the form of system metrics of storage size, loss of load probability and excess energy.
- A modular SHS-based architecture is proposed that can not only enable modular intra-household expansion of the SHS but also allow for inter-household scalability of a meshed DC microgrid.
2. Methodology
2.1. Location and Meteorological Inputs
2.2. Stochastic Load Profiles
2.3. System Metrics and Parameters
2.3.1. Loss of Load Probability (LLP)
2.3.2. Unsatisfied Load Energy ()
2.3.3. Energy Dump () and Dump Ratio ()
2.3.4. Per Household Metrics
- Average LLP per household:where H is the total number of households in the microgrid.
- Average per household:
- Average per household:
2.4. Optimal Standalone SHSs Sizes for the MTF
2.5. SHS Interconnection-Based DC Microgrid
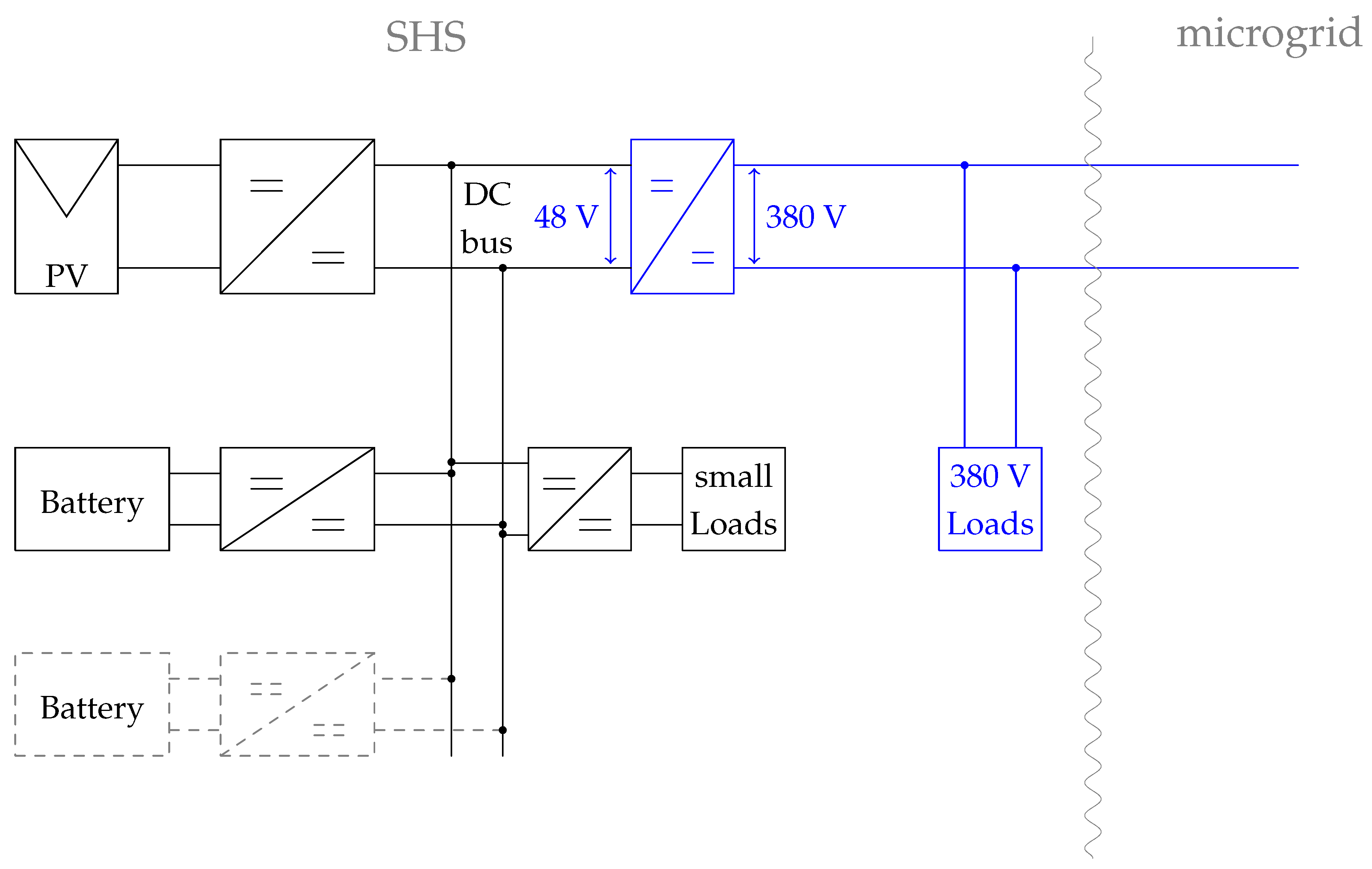
2.5.1. Modular SHS-Based Microgrid Architecture
2.5.2. Power Management Scheme for Interconnected SHS-Based Microgrid Architecture
- or
A DOD-Based Proportional Excess Energy Sharing
Priority Excess Energy Sharing
Equal Excess Energy Sharing
2.5.3. Case Study: Homogeneous Microgrids
Tier 4 Microgrid
Tier 5 Microgrid
2.5.4. Scope of the SHS-Based Microgrid Study
3. Results and Discussion
3.1. Energy Exchange in the SHS-Based Microgrid
3.2. Comparison of Battery Charging Using Excess Energy
3.3. Impact of Microgrid Size
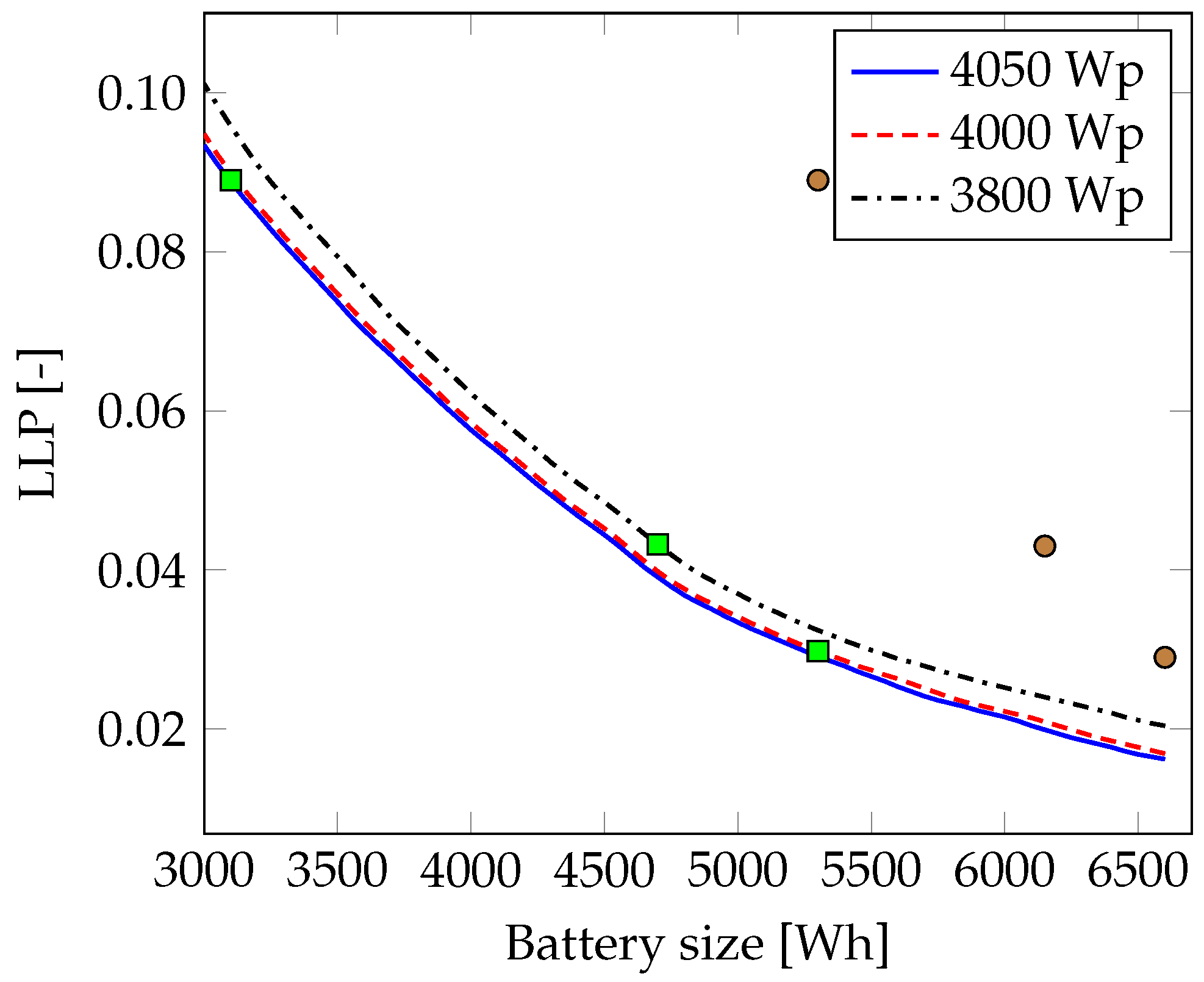
3.4. Benefits of Microgrid on SHS Sizing
4. Conclusions
Recommendations and Future Work
Author Contributions
Funding
Acknowledgments
Conflicts of Interest
References and Note
- IEA. Energy Access Outlook 2017—From Poverty to Prosperity, 1st ed.; Organization for Economic Cooperation and Development, International Energy Agency: Paris, France, 2017. [Google Scholar]
- Narayan, N.; Vega-Garita, V.; Qin, Z.; Popovic-Gerber, J.; Bauer, P.; Zeman, M. A modeling methodology to evaluate the impact of temperature on Solar Home Systems for rural electrification. In Proceedings of the 2018 IEEE International Energy Conference (ENERGYCON), Limassol, Cyprus, 3–7 June 2018; pp. 1–6. [Google Scholar] [CrossRef]
- Lighting Global and Dalberg Advisors. Off-Grid Solar Market Trends Report; Technical Report; Lighting Global, Dalberg Advisors, GOGLA, ESMAP: Utrecht, The Netherlands, 2018. [Google Scholar]
- Global Off-Grid Lighting Association. Global Off-Grid Solar Market Report—Semi-Annual Sales and Impact Data; Technical Report; GOGLA, Lighting Global and Berenschot: Utrecht, The Netherlands, 2018. [Google Scholar]
- Bhatia, M.; Nicolina, A. Capturing the Multi-Dimensionality of Energy Access; Live Wire, 2014/16; World Bank: Washington, DC, USA, 2014. [Google Scholar]
- Bhatia, M.; Angelou, N. Beyond Connection, Energy Access Redefined; The World Bank: Washington, DC, USA, 2015; pp. 6–7. [Google Scholar]
- Heeten, T.D.; Narayan, N.; Diehl, J.C.; Verschelling, J.; Silvester, S.; Popovic-Gerber, J.; Bauer, P.; Zeman, M. Understanding the present and the future electricity needs: Consequences for design of future Solar Home Systems for off-grid rural electrification. In Proceedings of the 2017 International Conference on the Domestic Use of Energy (DUE), Cape Town, South Africa, 4–5 April 2017; pp. 8–15. [Google Scholar] [CrossRef]
- Gustavsson, M. With time comes increased loads: An analysis of solar home system use in Lundazi, Zambia. Renew. Energy 2007, 32, 796–813. [Google Scholar] [CrossRef]
- Narayan, N.; Chamseddine, A.; Vega-Garita, V.; Qin, Z.; Popovic-Gerber, J.; Bauer, P.; Zeman, M. Exploring the boundaries of Solar Home Systems (SHS) for off-grid electrification: Optimal SHS sizing for the multi-tier framework for household electricity access. Appl. Energy 2019, 240, 907–917. [Google Scholar] [CrossRef]
- Narayan, N.; Popovic, J.; Diehl, J.C.; Silvester, S.; Bauer, P.; Zeman, M. Developing for developing nations: Exploring an affordable solar home system design. In Proceedings of the 2016 IEEE Global Humanitarian Technology Conference (GHTC), Seattle, WA, USA, 13–16 October 2016; pp. 474–480. [Google Scholar] [CrossRef]
- Bhuiyan, F.A.; Yazdani, A.; Primak, S.L. Optimal sizing approach for islanded microgrids. IET Renew. Power Gener. 2015, 9, 166–175. [Google Scholar] [CrossRef]
- Benavente-Araoz, F.; Lundblad, A.; Campana, P.E.; Zhang, Y.; Cabrera, S.; Lindbergh, G. Loss-of-load probability analysis for optimization of small off-grid PV-battery systems in Bolivia. Energy Procedia 2017, 142, 3715–3720. [Google Scholar] [CrossRef]
- Smets, A.; Jäger, K.; Isabella, O.; Van Swaaij, R.; Zeman, M. Solar Energy—The Physics and Engineering of Photovoltaic Conversion, Technologies and Systems; UIT Cambridge Limited: Cambridge, UK, 2016. [Google Scholar]
- Kirchhoff, H. Identifying Hidden Resources in Solar Home Systems as the Basis for Bottom-Up Grids. In Decentralized Solutions for Developing Economies; Springer: Berlin/Heidelberg, Germany, 2015; pp. 23–32. [Google Scholar]
- Soltowski, B.; Bowes, J.; Strachan, S.; limpo Anaya-Lara, O. A Simulation-Based Evaluation of the Benefits and Barriers to Interconnected Solar Home Systems in East Africa. In Proceedings of the 2018 IEEE PES/IAS PowerAfrica, Cape Town, South Africa, 28–29 June 2018; pp. 491–496. [Google Scholar]
- Chaurey, A.; Kandpal, T. A techno-economic comparison of rural electrification based on solar home systems and PV microgrids. Energy Policy 2010, 38, 3118–3129. [Google Scholar] [CrossRef]
- Bani-Ahmed, A.; Rashidi, M.; Nasiri, A. Coordinated failure response and recovery in a decentralized microgrid architecture. In Proceedings of the 2017 IEEE Energy Conversion Congress and Exposition (ECCE), Cincinnati, OH, USA, 1–5 October 2017; pp. 4821–4825. [Google Scholar] [CrossRef]
- Xia, Y.; Wei, W.; Peng, Y.; Yang, P.; Yu, M. Decentralized Coordination Control for Parallel Bidirectional Power Converters in a Grid-Connected DC Microgrid. IEEE Trans. Smart Grid 2018, 9, 6850–6861. [Google Scholar] [CrossRef]
- Wang, Z.; Liu, F.; Chen, Y.; Low, S.H.; Mei, S. Unified Distributed Control of Stand-Alone DC Microgrids. IEEE Trans. Smart Grid 2019, 10, 1013–1024. [Google Scholar] [CrossRef]
- Liu, Z.; Su, M.; Sun, Y.; Li, L.; Han, H.; Zhang, X.; Zheng, M. Optimal criterion and global/sub-optimal control schemes of decentralized economical dispatch for AC microgrid. Int. J. Electr. Power Energy Syst. 2019, 104, 38–42. [Google Scholar] [CrossRef]
- Baranwal, M.; Askarian, A.; Salapaka, S.; Salapaka, M. A Distributed Architecture for Robust and Optimal Control of DC Microgrids. IEEE Trans. Ind. Electron. 2019, 66, 3082–3092. [Google Scholar] [CrossRef]
- Rahman, M.S.; Hossain, M.J.; Lu, J.; Pota, H.R. A Need-Based Distributed Coordination Strategy for EV Storages in a Commercial Hybrid AC/DC Microgrid with an Improved Interlinking Converter Control Topology. IEEE Trans. Energy Convers. 2018, 33, 1372–1383. [Google Scholar] [CrossRef]
- Baghaee, H.R.; Mirsalim, M.; Gharehpetian, G.B.; Talebi, H.A. Decentralized Sliding Mode Control of WG/PV/FC Microgrids Under Unbalanced and Nonlinear Load Conditions for On- and Off-Grid Modes. IEEE Syst. J. 2018, 12, 3108–3119. [Google Scholar] [CrossRef]
- Gong, K.; Lenz, E.; Konigorski, U. Decentralized frequency control of a DDG-PV Microgrid in islanded mode. In Proceedings of the 2015 23rd Mediterranean Conference on Control and Automation (MED), Torremolinos, Spain, 16–19 June 2015; pp. 292–297. [Google Scholar] [CrossRef]
- Rural Spark—Energy Kit. Available online: http://www.ruralspark.com/products/energy-kit/ (accessed on 12 October 2015).
- Narayan, N.; Qin, Z.; Popovic-Gerber, J.; Diehl, J.C.; Bauer, P.; Zeman, M. Stochastic load profile construction for the multi-tier framework for household electricity access using off-grid DC appliances. Energy Effic. 2018. [Google Scholar] [CrossRef]
- Soltowski, B.; Strachan, S.; Anaya-Lara, O.; Frame, D.; Dolan, M. Using smart power management control to maximize energy utilization and reliability within a microgrid of interconnected solar home systems. In Proceedings of the 7th Annual IEEE Global Humanitarian Technologies Conference (GHTC 2017), San Jose, CA, USA, 19–22 October 2017; pp. 1–7. [Google Scholar]
- Groh, S.; Philipp, D.; Lasch, B.E.; Kirchhoff, H. Swarm Electrification: Investigating a Paradigm Shift Through the Building of Microgrids Bottom-up. In Decentralized Solutions for Developing Economies; Springer: Berlin/Heidelberg, Germany, 2015; pp. 3–22. [Google Scholar]
- Groh, S.; Philipp, D.; Lasch, B.E.; Kirchhoff, H. Swarm electrification-Suggesting a paradigm change through building microgrids bottom-up. In Proceedings of the 2014 3rd International Conference on the Developments in Renewable Energy Technology (ICDRET), Dhaka, Bangladesh, 29–31 May 2014; pp. 1–2. [Google Scholar]
- Meteotest. (Software) Meteonorm ver 7.1; 2014.
- Narayan, N. Electrical Power Consumption Load Profiles for Households with DC Appliances Related to Multi-Tier Framework of Household Electricity Access. Available online: https://doi.org/10.4121/uuid:c8efa325-87fe-4125-961e-9f2684cd2086 (accessed on 11 March 2018).
- Jhunjhunwala, A.; Lolla, A.; Kaur, P. Solar-dc microgrid for Indian homes: A transforming power scenario. IEEE Electrif. Mag. 2016, 4, 10–19. [Google Scholar] [CrossRef]
- Narayan, N.; Papakosta, T.; Vega-Garita, V.; Qin, Z.; Popovic-Gerber, J.; Bauer, P.; Zeman, M. Estimating battery lifetimes in Solar Home System design using a practical modelling methodology. Appl. Energy 2018, 228, 1629–1639. [Google Scholar] [CrossRef]
















| Tier 1 | Tier 2 | Tier 3 | Tier 4 | Tier 5 | |
|---|---|---|---|---|---|
| Energy and peak power rating | Wh & W | Wh & W | kWh & W | kWh & W | kWh & kW |
| Availability (h/day) | |||||
| Availability (h/evening) | |||||
| Reliability | - | - | - | < 14 disruptions per week | < 3 disruptions per week |
| Quality | - | - | - | Voltage problems do not affect the use of desired appliances | |
| Affordability | - | - | - | Cost of 365 kWh/year of household income | |
| Legality | - | - | - | Bill is paid to the utility or authorized representative | |
| Health & Safety | - | - | - | Absence of past accidents and high-risk perception in the future | |
| Tier 1 | Tier 2 | Tier 3 | Tier 4 | Tier 5 | |
|---|---|---|---|---|---|
| (W) | 12 | 51 | 154 | 1670 | 3081 |
| (W) | 6 | 35 | 113 | 583 | 1732 |
| (Wh) | 50 | 218 | 981 | 3952 | 9531 |
| LLP [-] | Tier | PV [Wp] | Battery [Wh] | [-] | LLP [-] |
| ≤ 0.1 | 1 | 20 | 60 | 0.82 | 0.047 |
| 2 | 70 | 210 | 0.48 | 0.1 | |
| 3 | 380 | 720 | 0.81 | 0.1 | |
| 4 | 1620 | 2520 | 0.89 | 0.099 | |
| 5 | 4050 | 5300 | 0.99 | 0.089 | |
| ≤ 0.05 | 1 | 20 | 60 | 0.82 | 0.047 |
| 2 | 80 | 240 | 0.65 | 0.039 | |
| 3 | 340 | 860 | 0.56 | 0.042 | |
| 4 | 1500 | 2880 | 0.73 | 0.046 | |
| 5 | 3800 | 6150 | 0.84 | 0.0431 | |
| ≤ 0.02 | 1 | 20 | 70 | 0.80 | 0.019 |
| 2 | 90 | 290 | 0.85 | 0.019 | |
| 3 | 420 | 1020 | 0.92 | 0.012 | |
| 4 | 1740 | 3560 | 1.0 | 0.017 | |
| 5 | 4000 | 6600 | 0.93 | 0.029 |
© 2019 by the authors. Licensee MDPI, Basel, Switzerland. This article is an open access article distributed under the terms and conditions of the Creative Commons Attribution (CC BY) license (http://creativecommons.org/licenses/by/4.0/).
Share and Cite
Narayan, N.; Chamseddine, A.; Vega-Garita, V.; Qin, Z.; Popovic-Gerber, J.; Bauer, P.; Zeman, M. Quantifying the Benefits of a Solar Home System-Based DC Microgrid for Rural Electrification. Energies 2019, 12, 938. https://doi.org/10.3390/en12050938
Narayan N, Chamseddine A, Vega-Garita V, Qin Z, Popovic-Gerber J, Bauer P, Zeman M. Quantifying the Benefits of a Solar Home System-Based DC Microgrid for Rural Electrification. Energies. 2019; 12(5):938. https://doi.org/10.3390/en12050938
Chicago/Turabian StyleNarayan, Nishant, Ali Chamseddine, Victor Vega-Garita, Zian Qin, Jelena Popovic-Gerber, Pavol Bauer, and Miroslav Zeman. 2019. "Quantifying the Benefits of a Solar Home System-Based DC Microgrid for Rural Electrification" Energies 12, no. 5: 938. https://doi.org/10.3390/en12050938
APA StyleNarayan, N., Chamseddine, A., Vega-Garita, V., Qin, Z., Popovic-Gerber, J., Bauer, P., & Zeman, M. (2019). Quantifying the Benefits of a Solar Home System-Based DC Microgrid for Rural Electrification. Energies, 12(5), 938. https://doi.org/10.3390/en12050938

