Fractal Characterization of Nanopore Structure in Shale, Tight Sandstone and Mudstone from the Ordos Basin of China Using Nitrogen Adsorption
Abstract
1. Introduction
2. Core samples and Experiment Results
2.1. Core samples
2.2. X-ray diffraction (XRD) measurements
2.3. Low-Pressure Nitrogen Adsorption-Desorption Experiments
3. Pore Size Distribution from Nitrogen Adsorption-Desorption Isotherms
3.1. Methods
3.1.1. Specific Surface Area
3.1.2. Pore Size
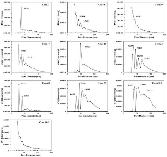
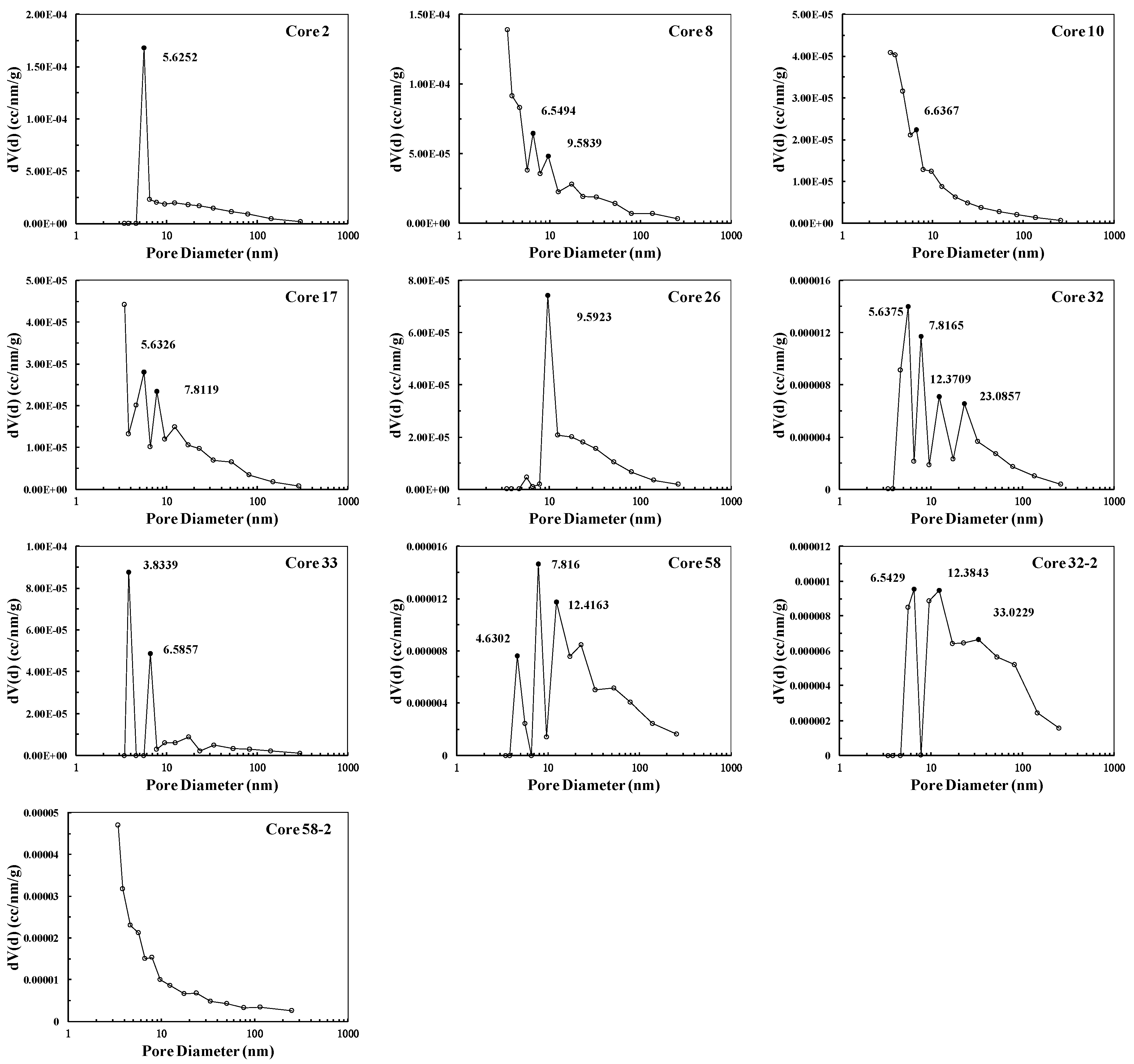
3.1.3. Pore Size Distribution
3.2. Analysis of Experimental Results
3.3. Pore parameter Relationships
4. Fractal Analysis of Nitrogen Adsorption Isotherms
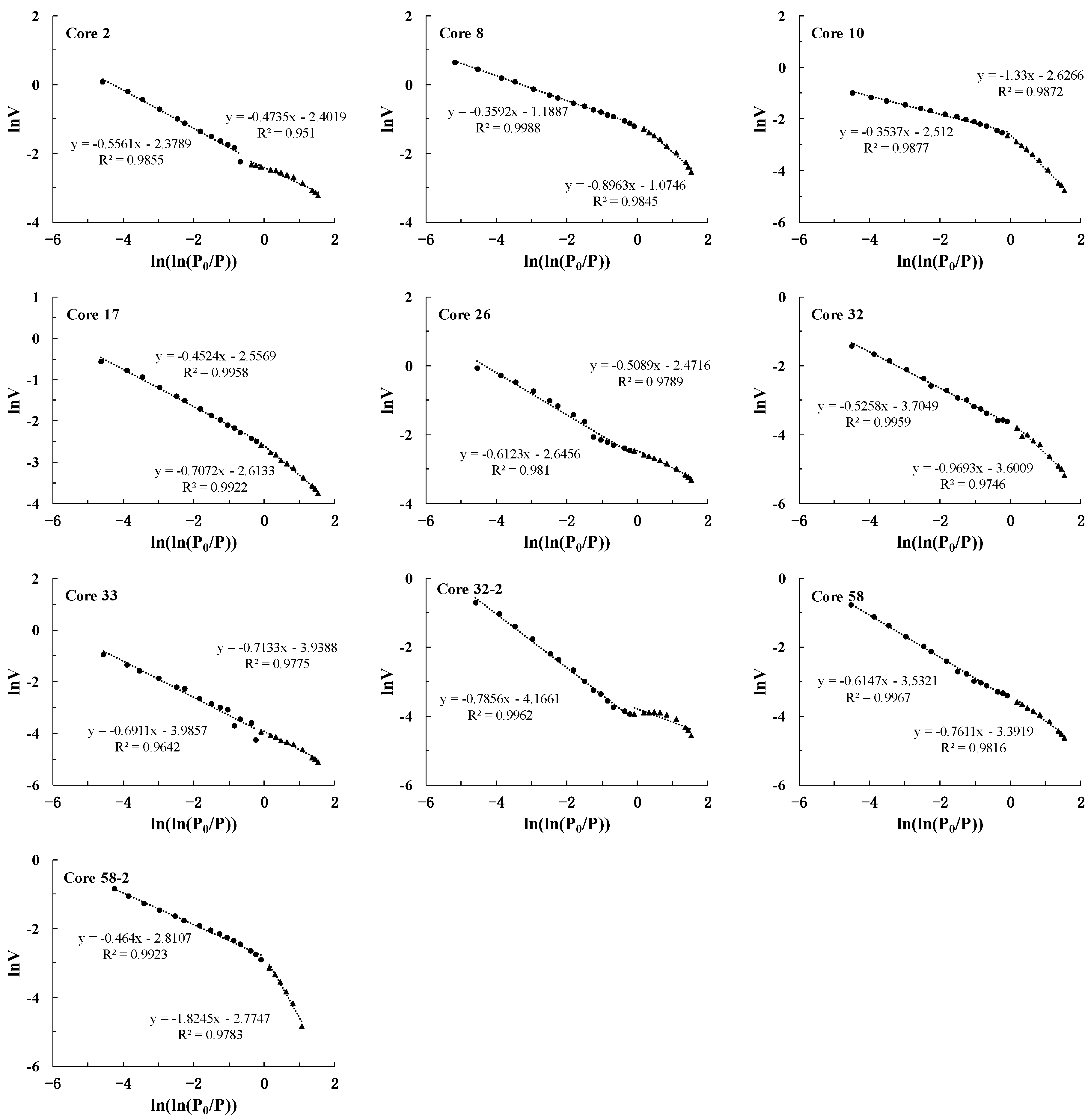
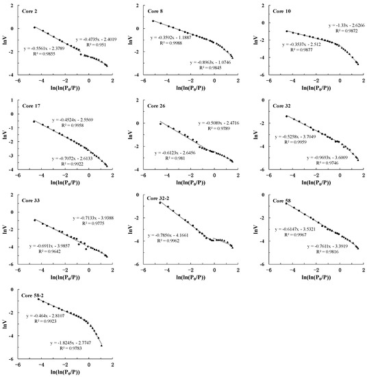
4.1. Principle and Fractal Dimension Calculation Process
4.2. Relationship between Fractal Dimensions and Pore Structure Parameters
4.2.1. Relationship between Fractal Dimension and Specific Surface area
4.2.2. Relationship between Fractal Dimension and Average Pore Diameter
4.2.3. Relationship between Fractal Dimension and Porosity
4.2.4. Relationship between Fractal Dimension and Permeability
5. Conclusions
- (1)
- The morphologies of nitrogen adsorption-desorption curves of 10 shale samples belong to the H2 and H3 types according to IUPAC isotherm classification standard, while the curve of nitrogen adsorption-desorption of three sandstone sample is closer to H3 type.
- (2)
- The pore sizes of the shale have certain heterogeneity, and the pore size intervals are mainly concentrated less than 30 nm, with at least a relatively obvious peak value distributed around 3 nm–10 nm.
- (3)
- BET specific surface area of sandstone is smaller than that of shale, and the pore volume and average pore diameter are much larger than those in shale. The BET specific surface area of mudstone is much larger than that of sandstone, and the pore volume and average diameter are much smaller than those in sandstone.
- (4)
- The larger the average pore size of sandstone is, the smaller the BET specific surface area will be, and the BET specific surface area decreases with the increase of permeability. With the increase of porosity and permeability, BET specific surface area decreases with the increasing average pore size.
- (5)
- Fractal dimensions calculated from the low relative pressure range D1 are generally less than those calculated from the high relative pressure range D2. D1 reflects the surface roughness of pore structures and D2 quantifies the spatial irregularity of pore spaces, and D1 and D2 are negatively correlated with each other. Compared with D1, D2 has stronger relationships with pore structure parameters and core properties. With D2 increases, BET specific surface area increases but average pore diameter, porosity and permeability decreases.
Author Contributions
Funding
Conflicts of Interest
References
- Gasparik, M.; Ghanizadeh, A.; Bertier, P.; Gensterblum, Y.; Bouw, S.; Krooss, B.M. High-Pressure Methane Sorption Isotherms of Black Shales from The Netherlands. Energy Fuels 2012, 26, 4995–5004. [Google Scholar] [CrossRef]
- Loucks, R.G.; Ruppel, S.C. Mississippian Barnett Shale: Lithofacies and depositional setting of a deep-water shale-gas succession in the Fort Worth Basin, Texas. AAPG Bull. 2007, 91, 579–601. [Google Scholar] [CrossRef]
- Loucks, R.G.; Reed, R.M.; Ruppel, S.C.; Jarvie, D.M. Morphology, Genesis, and Distribution of Nanometer-Scale Pores in Siliceous Mudstones of the Mississippian Barnett Shale. J. Sediment. Res. 2009, 79, 848–861. [Google Scholar] [CrossRef]
- Wang, F.; Lian, P.; Jiao, L.; Liu, Z.; Zhao, J. Fractal analysis of microscale and nanoscale pore structures in carbonates using high-pressure mercury intrusion. Geofluids 2018, 2018, 1840017. [Google Scholar] [CrossRef]
- Wang, F.; Yang, K.; Cai, J. Fractal characterization of tight oil reservoir pore structure using nuclear magnetic resonance and mercury intrusion porosimetry. Fractals 2018, 26, 1840017. [Google Scholar] [CrossRef]
- Ross, D.J.K.; Marc Bustin, R. The importance of shale composition and pore structure upon gas storage potential of shale gas reservoirs. Mar. Pet. Geol. 2009, 26, 916–927. [Google Scholar] [CrossRef]
- Ghanbarian, B.; Torres-Verdín, C.; Lake, L.W.; Marder, M. Gas permeability in unconventional tight sandstones: Scaling up from pore to core. J. Pet. Sci. Eng. 2019, 173, 1163–1172. [Google Scholar] [CrossRef]
- Chen, K.; Zhang, T.; Chen, X.; He, Y.; Liang, X. Model construction of micro-pores in shale: A case study of Silurian Longmaxi Formation shale in Dianqianbei area, SW China. Pet. Explor. Dev. 2018, 45, 412–421. [Google Scholar] [CrossRef]
- Millán, H.; Govea-Alcaide, E.; García-Fornaris, I. Truncated fractal modeling of H2O-vapor adsorption isotherms. Geoderma 2013, 206, 14–23. [Google Scholar] [CrossRef]
- Yang, Y.; Wu, K.; Zhang, T.; Xue, M. Characterization of the pore system in an over-mature marine shale reservoir: A case study of a successful shale gas well in Southern Sichuan Basin, China. Petroleum 2015, 1, 173–186. [Google Scholar] [CrossRef]
- Wang, F.; Jiao, L.; Liu, Z.; Tan, X.; Wang, C.; Gao, J. Fractal Analysis of Pore Structures in Low Permeability Sandstones Using Mercury Intrusion Porosimetry. J. Porous Media 2018, 21, 1097–1119. [Google Scholar] [CrossRef]
- Ming, M.; Guojun, C.; Yong, X.; Shijun, H.; Chengfu, L.; Lianhua, X. Fractal characteristics of pore structure of continental shale in the process of thermal evolution. Coal Geol. Explor. 2017, 45, 41–47. [Google Scholar]
- Xiong, J.; Liu, X.; Liang, L. An Investigation of Fractal Characteristics of Marine Shales in the Southern China from Nitrogen Adsorption Data. J. Chem. 2015, 2015, 303164. [Google Scholar] [CrossRef]
- Shao, X.; Pang, X.; Li, Q.; Wang, P.; Chen, D.; Shen, W.; Zhao, Z. Pore structure and fractal characteristics of organic-rich shales: A case study of the lower Silurian Longmaxi shales in the Sichuan Basin, SW China. Mar. Pet. Geol. 2017, 80, 192–202. [Google Scholar] [CrossRef]
- Li, A.; Ding, W.; He, J.; Dai, P.; Yin, S.; Xie, F. Investigation of pore structure and fractal characteristics of organic-rich shale reservoirs: A case study of Lower Cambrian Qiongzhusi formation in Malong block of eastern Yunnan Province, South China. Mar. Pet. Geol. 2016, 70, 46–57. [Google Scholar] [CrossRef]
- Barrett, E.P.; Joyner, L.G.; Halenda, P.P. The Determination of Pore Volume and Area Distributions in Porous Substances. I. Computations from Nitrogen Isotherms. J. Am. Chem. Soc. 1951, 73, 373–380. [Google Scholar] [CrossRef]
- Jiang, F.; Chen, D.; Chen, J.; Li, Q.; Liu, Y.; Shao, X.; Hu, T.; Dai, J. Fractal Analysis of Shale Pore Structure of Continental Gas Shale Reservoir in the Ordos Basin, NW China. Energy Fuels 2016, 30, 4676–4689. [Google Scholar] [CrossRef]
- Zhang, L.; Li, J.; Jia, D.U.; Zhao, Y.; Xie, C.; Tao, Z. Study on the adsorption phenomenon in shale with the combination of molecular dynamic simulation and fractal analysis. Fractals 2018, 26, 1840004. [Google Scholar] [CrossRef]
- Brunauer, S.; Emmett, P.H.; Teller, E. Adsorption of Gases in Multimolecular Layers. J. Am. Chem. Soc. 1938, 60, 309–319. [Google Scholar] [CrossRef]
- Wang, Y.; Zhu, Y.; Liu, S.; Zhang, R. Pore characterization and its impact on methane adsorption capacity for organic-rich marine shales. Fuel 2016, 181, 227–237. [Google Scholar] [CrossRef]
- Tian, H.; Pan, L.; Xiao, X.; Wilkins, R.W.T.; Meng, Z.; Huang, B. A preliminary study on the pore characterization of Lower Silurian black shales in the Chuandong Thrust Fold Belt, southwestern China using low pressure N2 adsorption and FE-SEM methods. Mar. Pet. Geol. 2013, 48, 8–19. [Google Scholar] [CrossRef]
- De Boer, J.H.; Lippens, B.C.; Linsen, B.G.; Broekhoff, J.; Van den Heuvel, A.; Osinga, T.J. Thet-curve of multimolecular N2-adsorption. J. Colloid Interface Sci. 1966, 21, 405–414. [Google Scholar] [CrossRef]
- Mishra, S.; Mendhe, V.A.; Varma, A.K.; Kamble, A.D.; Sharma, S.; Bannerjee, M.; Kalpana, M.S. Influence of organic and inorganic content on fractal dimensions of Barakar and Barren Measures shale gas reservoirs of Raniganj basin, India. J. Nat. Gas Sci. Eng. 2018, 49, 393–409. [Google Scholar] [CrossRef]
- Sun, L.; Tuo, J.; Zhang, M.; Wu, C.; Wang, Z.; Zheng, Y. Formation and development of the pore structure in Chang 7 member oil-shale from Ordos Basin during organic matter evolution induced by hydrous pyrolysis. Fuel 2015, 158, 549–557. [Google Scholar] [CrossRef]
- Horváth, G.; Kawazo, K. Method for The Calculation of Effective Pore Size Distribution in Molecular Sieve Carbon. J. Chem. Eng. Jpn. 1983, 16, 470–475. [Google Scholar] [CrossRef]
- Seaton, N.A.; Walton, J. A new analysis method for the determination of the pore size distribution of porous carbons from nitrogen adsorption measurements. Carbon 1989, 27, 853–861. [Google Scholar] [CrossRef]
- Liu, K.; Ostadhassan, M.; Kong, L. Multifractal characteristics of Longmaxi Shale pore structures by N2 adsorption: A model comparison. J. Pet. Sci. Eng. 2018, 168, 330–341. [Google Scholar] [CrossRef]
- Cai, J.; Lin, D.; Singh, H.; Wei, W.; Zhou, S. Shale gas transport model in 3D fractal porous media with variable pore sizes. Mar. Pet. Geol. 2018, 98, 437–447. [Google Scholar] [CrossRef]
- Xia, Y.; Cai, J.; Wei, W.; Hu, X.; Wang, X.; Ge, X. A new method for calculating fractal dimensions of porous media based on pore size distribution. Fractals 2018, 26, 1850006. [Google Scholar] [CrossRef]
- Cai, J.; Wei, W.; Hu, X.; Liu, R.; Wang, J. Fractal characterization of dynamic fracture network extension in porous media. Fractals 2017, 25, 17500232. [Google Scholar] [CrossRef]
- Wang, F.; Jiao, L.; Lian, P.; Zeng, J. Apparent gas permeability, intrinsic permeability and liquid permeability of fractal porous media: Carbonate rock study with experiments and mathematical modelling. J. Pet. Sci. Eng. 2019, 173, 1304–1315. [Google Scholar] [CrossRef]
- Pfeifer, P.; Avnir, D. Chemistry in noninteger dimensions between two and three. I. Fractal theory of heterogeneous surfaces. J. Chem. Phys. 1983, 79, 3558–3565. [Google Scholar] [CrossRef]
- Hinai, A.A.; Rezaee, R.; Esteban, L.; Labani, M. Comparisons of pore size distribution: A case from the Western Australian gas shale formations. J. Unconv. Oil Gas Resour. 2014, 8, 1–13. [Google Scholar] [CrossRef]
- Sun, Z.; Zhang, H.; Wei, Z.; Wang, Y.; Wu, B.; Zhuo, S.; Zhao, Z.; Li, J.; Hao, L.; Yang, H. Effects of slick water fracturing fluid on pore structure and adsorption characteristics of shale reservoir rocks. J. Nat. Gas Sci. Eng. 2018, 51, 27–36. [Google Scholar] [CrossRef]
- Ghanbarian, B.; Daigle, H. Fractal dimension of soil fragment mass-size distribution: A critical analysis. Geoderma 2015, 245–246, 98–103. [Google Scholar] [CrossRef]
- Ghanbarian-Alavijeh, B.; Hunt, A.G. Comments on “More general capillary pressure and relative permeability models from fractal geometry” by Kewen Li. J. Contam. Hydrol. 2012, 140, 21–23. [Google Scholar] [CrossRef] [PubMed]


















| Core No. | Top Depth | Bottom Depth | Lithology |
|---|---|---|---|
| 2 | 2069.88 | 2070.00 | Shale |
| 8 | 2070.77 | 2070.87 | Shale |
| 10 | 2071.08 | 2071.25 | Shale |
| 17 | 2071.98 | 2072.08 | Shale |
| 26 | 2073.18 | 2073.30 | Shale |
| 33 | 2074.19 | 2074.35 | Shale |
| 14 | 2000.78 | 2000.94 | Silty mudstone |
| 53–54 | 2005.19 | 2005.40 | Sandstone |
| 42 | 2028.72 | 2029.00 | Fine sandstone |
| 58 | 2049.93 | 2050.09 | Shale |
| 24 | 2054.12 | 2054.33 | Sandstone |
| 32 | 2073.93 | 2074.19 | Shale |
| 32–2 | 2073.93 | 2074.19 | Shale |
| 58–2 | 2049.93 | 2050.09 | Shale |
| Core No. | Lithology | Total Clay (%) | Mineralogical Composition Results (%) | |||||
|---|---|---|---|---|---|---|---|---|
| Quartz | Potash Feldspar | Plagioclase Feldspar | Calcite | Dolomite | Pyrite | |||
| 24 | Sandstone | 19.8 | 60.9 | 1.4 | 11.5 | 1.7 | 4.7 | / |
| 32 | Shale | 24.8 | 23.3 | 2.0 | 4.7 | 1.6 | 1.1 | 42.5 |
| 58 | Shale | 35.0 | 37.2 | 0.5 | 4.5 | / | 13.5 | 9.3 |
| 53 | Sandstone | 13.3 | 61.3 | 0.3 | 11.0 | 2.4 | 11.7 | / |
| Sample No. | Lithology | Relative Clay Mineral Contents (%) | Mixed-Layer Ratio (%) | ||||||
|---|---|---|---|---|---|---|---|---|---|
| S | I/S | I | K | C | C/S | I/S | C/S | ||
| 24 | Sandstone | / | 39 | 46 | / | 15 | / | 10 | / |
| 32 | Shale | / | / | 80 | 20 | / | / | / | / |
| 58 | Shale | / | 40 | 41 | 7 | 12 | / | 10 | / |
| 53 | Sandstone | / | 34 | 40 | 6 | 20 | / | 10 | / |
| Core No. | Specific Surface Area (10−2 m2/g) | Pore Volume (10−4 cc/g) | Pore Diameter (nm) | ||||||
|---|---|---|---|---|---|---|---|---|---|
| BET | BJH | DFT | BJH | DFT | Langmuir Volume | Weighted Average Pore Diameter | BJH | DFT | |
| 2 | 28.30 | 28.60 | 27.67 | 21.58 | 14.21 | 1371.6 | 30.06 | 5.625 | 6.556 |
| 8 | 89.88 | 49.88 | 67.31 | 27.18 | 21.06 | 1886.5 | 13.02 | 3.414 | 4.887 |
| 10 | 22.22 | 16.08 | 16.45 | 6.808 | 5.161 | 455.5 | 12.72 | 3.454 | 6.079 |
| 17 | 20.22 | 17.31 | 18.84 | 9.686 | 7.641 | 640.7 | 19.66 | 3.414 | 6.079 |
| 26 | 24.24 | 20.83 | 24.61 | 17.50 | 12.68 | 1134.3 | 29.03 | 9.592 | 9.098 |
| 33 | 5.175 | 12.94 | 6.435 | 8.922 | 1.625 | 532.3 | 63.80 | 3.834 | 9.416 |
| 58 | 8.572 | 8.76 | 9.775 | 9.419 | 5.909 | 608.9 | 44.06 | 7.816 | 10.49 |
| 32 | 7.474 | 6.30 | 6.827 | 4.359 | 3.284 | 283.9 | 23.56 | 5.638 | 7.310 |
| 32-2 | 8.011 | 8.48 | 8.551 | 9.686 | 6.135 | 609.5 | 47.19 | 6.543 | 11.68 |
| 58-2 | 20.36 | 16.34 | 14.68 | 12.61 | 6.218 | 813 | 24.76 | 3.451 | 6.079 |
| Average | 23.45 | 18. 55 | 20.11 | 12.7 | 8.39 | 833.62 | 30.9 | 5.28 | 7.77 |
| Core No. | Specific Surface Area (10−2 m2/g) | Pore Volume (10−4 cc/g) | Pore Diameter (nm) | ||||||
|---|---|---|---|---|---|---|---|---|---|
| BET | BJH | DFT | BJH | DFT | Langmuir Volume | Average Pore Diameter | BJH | DFT | |
| 24 | 23.70 | 17.23 | 23.54 | 31.25 | 15.36 | 2029.4 | 53.20 | 4.644 | 29.40 |
| 42 | 40.90 | 42.24 | 61.23 | 41.14 | 24.67 | 2624.1 | 39.79 | 6.547 | 12.55 |
| 53-54 | 18.60 | 20.17 | 30.10 | 24.84 | 12.04 | 1596.6 | 53.12 | 3.826 | 8.145 |
| Average | 27.73 | 26.55 | 38.29 | 32.41 | 17.36 | 2083.37 | 48.70 | 5.01 | 16.70 |
| Core No. | Specific Surface Area (m2/g) | Pore Volume (10−4 cc/g) | Pore Diameter (nm) | ||||||
|---|---|---|---|---|---|---|---|---|---|
| BET | BJH | DFT | BJH | DFT | Langmuir Volume | Average Pore Diameter | BJH | DFT | |
| 14 | 6.33 | 2.689 | 5.738 | 93.46 | 103 | 7421.1 | 7.272 | 3.819 | 3.78 |
| Core No. | Lithology | Porosity (%) | Permeability (mD) | BET Specific Surface Area (m2/g) | Average Pore Diameter (nm) | Pore Volume (10−3 cc/g) |
|---|---|---|---|---|---|---|
| 53–54 | Tight sandstone | 8.07 | 0.09 | 0.1864 | 53.12 | 2.48 |
| 42 | Tight sandstone | 6.49 | 0.027 | 0.4091 | 39.79 | 4.11 |
| 24 | Tight sandstone | 8.07 | 0.056 | 0.2366 | 53.20 | 3.13 |
| 14 | Mudstone | 1.05 | 0.0053 | 6.330 | 72.72 | 9.35 |
| Core No. | Upper and Lower Boundaries of Relative Pressure for Each Fractal Regime | ||
|---|---|---|---|
| Initial Point | Segmentation Point | Ending Point | |
| 2 | 0.0099 | 0.4990 | 0.9954 |
| 8 | 0.0096 | 0.3001 | 0.9896 |
| 10 | 0.0101 | 0.4035 | 0.9944 |
| 17 | 0.0100 | 0.4004 | 0.9948 |
| 26 | 0.0099 | 0.4493 | 0.9943 |
| 33 | 0.0098 | 0.3990 | 0.9953 |
| 14 | 0.0098 | 0.4003 | 0.9943 |
| 24 | 0.0099 | 0.3010 | 0.9938 |
| 32 | 0.0098 | 0.2995 | 0.9944 |
| 32-2 | 0.0095 | 0.3998 | 0.9938 |
| 42 | 0.0098 | 0.4011 | 0.9888 |
| 53-54 | 0.0096 | 0.4016 | 0.9945 |
| 58 | 0.0097 | 0.2999 | 0.9941 |
| 58-2 | 0.0545 | 0.3146 | 0.9947 |
| Core No. | 0 < P/P0 < 0.4 | 0.4 < P/P0 < 1 | ||||
|---|---|---|---|---|---|---|
| K1 | D1 = 3 + k1 | R2 | K2 | D2 = 3 + K2 | R2 | |
| 2 | −0.4735 | 2.5265 | 0.951 | −0.5561 | 2.4439 | 0.9855 |
| 8 | −0.8963 | 2.1037 | 0.9845 | −0.3592 | 2.6408 | 0.9988 |
| 10 | −1.33 | 1.67 | 0.9872 | −0.3537 | 2.6463 | 0.9877 |
| 17 | −0.7072 | 2.2928 | 0.9922 | −0.4524 | 2.5476 | 0.9958 |
| 26 | −0.5364 | 2.4636 | 0.982 | −0.6123 | 2.3877 | 0.981 |
| 33 | −0.7461 | 2.2539 | 0.9775 | −0.6924 | 2.3076 | 0.9684 |
| 58 | −0.7611 | 2.2389 | 0.9816 | −0.6147 | 2.3853 | 0.9967 |
| 32 | −0.9693 | 2.0307 | 0.9746 | - | - | - |
| 32-2 | −0.3878 | 2.6122 | 0.7652 | −0.7856 | 2.2144 | 0.9962 |
| 58-2 | −1.8245 | 1.1755 | 0.9783 | −0.464 | 2.536 | 0.9923 |
| Average | −0.8632 | 2.1368 | 0.9574 | −0.5416 | 2.4584 | 0.9898 |
| Core No. | 0 < P/P0 < 0.4 | 0.4 < P/P0< 1 | ||||
|---|---|---|---|---|---|---|
| K1 | D1 = 3 + k1 | R2 | K2 | D2 = 3 + K2 | R2 | |
| 53–54 | −1.1952 | 1.8048 | 0.9646 | −0.5907 | 2.4093 | 0.9971 |
| 42 | −0.8474 | 2.1526 | 0.9169 | −0.6247 | 2.3753 | 0.994 |
| 24 | −1.2059 | 1.7941 | 0.9525 | −0.6013 | 2.3987 | 0.9611 |
| Average | −1.0828 | 1.9172 | 0.9447 | −0.6056 | 2.3944 | 0.9841 |
| Core No. | 0 < P/P0 < 0.4 | 0.4 < P/P0 < 1 | ||||
|---|---|---|---|---|---|---|
| K1 | D1 = 3 + k1 | R2 | K2 | D2 = 3 + K2 | R2 | |
| 14 | −0.4577 | 2.5423 | 0.9978 | −0.2638 | 2.7362 | 0.9856 |
| Core No. | D1 | D2 | Specific Surface Area (m2/g) | Average Pore Diameter (nm) | Porosity (%) | Langmuir Volume (10−4 cc/g) | Permeability (mD) |
|---|---|---|---|---|---|---|---|
| 2 | 2.5265 | 2.4439 | 0.283 | 30.06 | - | 1371.6 | - |
| 8 | 2.1037 | 2.6408 | 0.8988 | 13.02 | - | 1886.5 | - |
| 10 | 1.67 | 2.6463 | 0.2222 | 12.72 | - | 455.5 | - |
| 17 | 2.2928 | 2.5476 | 0.2022 | 19.66 | - | 640.7 | - |
| 26 | 2.4636 | 2.3877 | 0.2424 | 29.03 | - | 1134.3 | - |
| 33 | 2.2539 | 2.3076 | 0.05175 | 63.8 | - | 532.3 | - |
| 58 | 2.2389 | 2.3853 | 0.08572 | 44.06 | 1.3 | 608.9 | - |
| 32 | 2.0307 | 2.4742 | 0.07474 | 23.56 | 0.8 | 283.9 | - |
| 32–2 | 2.6122 | 2.2144 | 0.08011 | 47.19 | - | 609.5 | - |
| 58–2 | 1.1755 | 2.536 | 0.2036 | 24.76 | - | 813 | - |
| 53–54 | 1.8048 | 2.4093 | 0.1864 | 53.12 | 8.07 | 1596.6 | 0.09 |
| 42 | 2.1526 | 2.3753 | 0.4091 | 39.79 | 6.49 | 2624.1 | 0.027 |
| 24 | 1.7941 | 2.3987 | 0.2366 | 53.2 | 9.8 | 2029.4 | 0.056 |
| 14 | 2.5423 | 2.7362 | 6.33 | 7.272 | 1.05 | 7421.1 | 0.0053 |
| Average | 2.1186 | 2.4645 | 0.679 | 32.95 | 4.59 | 1571.9 | 0.0446 |
© 2019 by the authors. Licensee MDPI, Basel, Switzerland. This article is an open access article distributed under the terms and conditions of the Creative Commons Attribution (CC BY) license (http://creativecommons.org/licenses/by/4.0/).
Share and Cite
Li, X.; Gao, Z.; Fang, S.; Ren, C.; Yang, K.; Wang, F. Fractal Characterization of Nanopore Structure in Shale, Tight Sandstone and Mudstone from the Ordos Basin of China Using Nitrogen Adsorption. Energies 2019, 12, 583. https://doi.org/10.3390/en12040583
Li X, Gao Z, Fang S, Ren C, Yang K, Wang F. Fractal Characterization of Nanopore Structure in Shale, Tight Sandstone and Mudstone from the Ordos Basin of China Using Nitrogen Adsorption. Energies. 2019; 12(4):583. https://doi.org/10.3390/en12040583
Chicago/Turabian StyleLi, Xiaohong, Zhiyong Gao, Siyi Fang, Chao Ren, Kun Yang, and Fuyong Wang. 2019. "Fractal Characterization of Nanopore Structure in Shale, Tight Sandstone and Mudstone from the Ordos Basin of China Using Nitrogen Adsorption" Energies 12, no. 4: 583. https://doi.org/10.3390/en12040583
APA StyleLi, X., Gao, Z., Fang, S., Ren, C., Yang, K., & Wang, F. (2019). Fractal Characterization of Nanopore Structure in Shale, Tight Sandstone and Mudstone from the Ordos Basin of China Using Nitrogen Adsorption. Energies, 12(4), 583. https://doi.org/10.3390/en12040583

