Theoretical Investigation into the Ripple Source of External Gear Pumps
Abstract
:1. Introduction
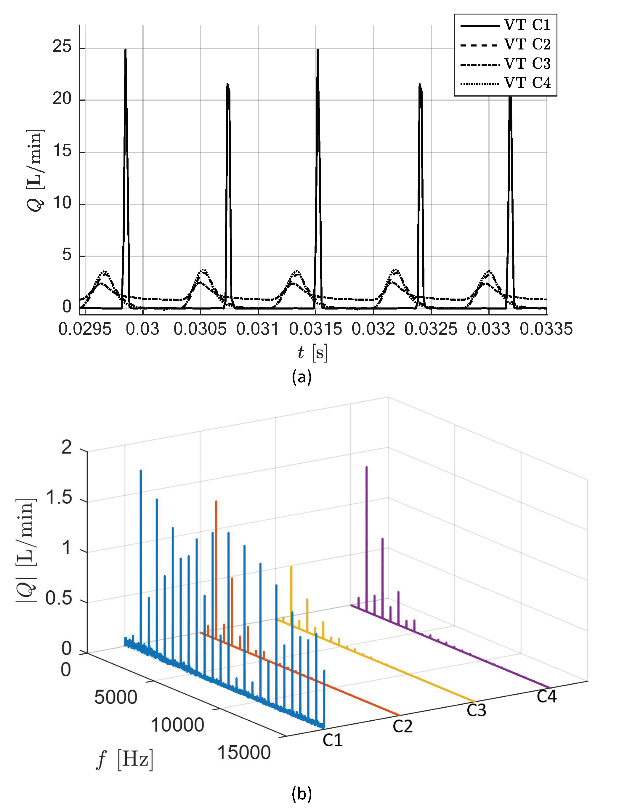
2. Ripple Source of External Gear Pumps
2.1. Theoretical Description of Outlet Flow Ripple and Outlet Pressure Ripple
2.2. Simplified EGP Circuit
3. Model of the Displacement Ripple Source
3.1. Explanation Based on Volume Curves
- (a)
- Connected porting: after getting out of the coverage of delivery port, the DC enters the suction port immediately, two porting coverages are connected.
- (b)
- Open-porting: there is a gap between the coverages of delivery and suction port, where the DC connects to neither delivery or suction port.
- (c)
- Overlapping porting: there is an angular interval of overlap: in this interval the DC is connected to both the delivery and the suction port.
3.2. Analytical Expression of The Kinematic Flowrate Given by the Positioning of the Groove
3.3. Viscous Effects
3.4. Effect of the Delivery Circuit
4. Model of the Pressurization Ripple
4.1. Single-DC Pressurization Problem
4.2. Results of Pressurization Ripple Solution
4.3. Numerical Analysis for the Transfer Function of the Circuit
5. Conclusions
Author Contributions
Funding
Conflicts of Interest
Nomenclature
| Latin Symbols | |
| A | area (m) |
| C | capacitance (m/Pa) |
| discharge coefficient | |
| CR | contact ratio |
| f | frequency (Hz) |
| h | transfer function |
| H | axial length of a gear (mm) |
| i | center distance (mm) |
| K | bulk modulus (bar) |
| m | module of a gear (mm) |
| M | arbitrary integer |
| N | number of teeth |
| p | pressure (bar) |
| initial pressure (bar) | |
| Q | flowrate (L/min) |
| mean flowrate (L/min) | |
| R | resistance (Pa/m-s) |
| addendum radius (mm) | |
| t | time (s) |
| initial time (s) | |
| T | constant to define a time interval (s) |
| u | position of the contact point on the line of action (mm) |
| V | volume (m) |
| Greek Symbols | |
| Tool pressure angle of a gear (degree) | |
| Base pitch of a gear (mm) | |
| Magnitude of the flow ripple (L/min) | |
| Relief groove coefficient | |
| Density (kg/m) | |
| Time constant (s) | |
| Angular position (degree) | |
| Phase shift (degree) | |
| Angular velocity (degree/s) | |
| Subscript | |
| a | Addendum |
| crit | Critical |
| d | Driver gear |
| del | Delivery |
| k | Kinematic |
| p | Profile (profile contact ratio) |
| S1 | Displacement ripple solution |
| S2 | Pressurization ripple solution |
| suc | Suction |
Abbreviations
| DC | Displacement chamber |
| EGP | External gear pump |
| RT | Restriction-termination |
| VT | Volume-termination |
References
- Ivantysyn, J.; Ivantysynova, M. Hydrostatic Pumps and Motors; Akademia Books International: New Delhi, India, 2001. [Google Scholar]
- Edge, K.; Johnston, D. The “secondary source” method for the measurement of pump pressure ripple characteristics Part 1: Description of method. Proc. Inst. Mech. Eng. Part A J. Power Energy 1990, 204, 33–40. [Google Scholar] [CrossRef]
- Edge, K. “Secondary source” method for the measurement of pump pressure ripple characteristics Part 2: Experimental results. Proc. Inst. Mech. Eng. Part A J. Power Energy 1990, 204, 41–46. [Google Scholar] [CrossRef]
- Kojima, E.; Yu, J.; Ichiyanagi, T. Experimental determining and theoretical predicting of source flow ripple generated by fluid power piston pumps. SAE Trans. 2000, 109, 348–357. [Google Scholar]
- O’Neal, D.; Maroney, G. Measuring pump fluid-borne noise generation potential. BFPR J. 1978, 11, 235–241. [Google Scholar]
- Kojima, E.; Shinada, M. Characteristics of fluidborne noise generated by fluid power pump: 3rd report, discharge pressure pulsation of external gear pump. Bull. JSME 1984, 27, 2188–2195. [Google Scholar] [CrossRef]
- Edge, K.; Wing, T. The measurement of the fluid borne pressure ripple characteristics of hydraulic components. Proc. Ins. Mech. Eng. Part B Manag. Eng. Manuf. 1983, 197, 247–254. [Google Scholar] [CrossRef]
- Nakagawa, S.; Ichiyanagi, T.; Nishiumi, T. A consideration on the behavior of hydraulic pressure ripples in relation to hydraulic oil temperature. In ASME/BATH 2015 Symposium on Fluid Power and Motion Control; American Society of Mechanical Engineers: New York, NY, USA, 2015. [Google Scholar]
- Nakagawa, S.; Ichiyanagi, T.; Nishiumi, T. Experimental investigation on effective bulk modulus and effective volume in an external gear pump. In BATH/ASME 2016 Symposium on Fluid Power and Motion Control; American Society of Mechanical Engineers: New York, NY, USA, 2016. [Google Scholar]
- Hydraulic Fluid Power—Determination of Pressure Ripple Levels Generated in Systems and Components— Part 1: Method for Determining Source Flow Ripple and Source Impedance of Pumps; International Standard ISO 10767-1; ISO: Geneva, Switzerland, 2015.
- Manring, N.D.; Kasaragadda, S.B. The theoretical flow ripple of an external gear pump. J. Dyn. Syst. Meas. Control Trans. Asme 2003, 125, 396–404. [Google Scholar] [CrossRef]
- Zhao, X.R.; Vacca, A. Numerical analysis of theoretical flow in external gear machines. Mech. Mach. Theory 2017, 108, 41–56. [Google Scholar] [CrossRef]
- Zhao, X.; Vacca, A. Formulation and optimization of involute spur gear in external gear pump. Mech. Mach. Theory 2017, 117, 114–132. [Google Scholar] [CrossRef]
- Yoon, Y.; Park, B.H.; Shim, J.; Han, Y.O.; Hong, B.J.; Yun, S.H. Numerical simulation of three-dimensional external gear pump using immersed solid method. Appl. Therm. Eng. 2017, 118, 539–550. [Google Scholar] [CrossRef]
- Qi, F.; Dhar, S.; Nichani, V.H.; Srinivasan, C.; Wang, D.M.; Yang, L.; Bing, Z.; Yang, J.J. A CFD study of an electronic hydraulic power steering helical external gear pump: Model development, validation and application. SAE Int. J. Passen. Car Mech. Syst. 2016, 9, 346–352. [Google Scholar] [CrossRef]
- Castilla, R.; Gamez-Montero, P.J.; Ertürk, N.; Vernet, A.; Coussirat, M.; Codina, E. Numerical simulation of turbulent flow in the suction chamber of a gearpump using deforming mesh and mesh replacement. Int. J. Mech. Sci. 2010, 52, 1334–1342. [Google Scholar] [CrossRef]
- Castilla, R.; Gamez-Montero, P.J.; Del Campo, D.; Raush, G.; Garcia-Vilchez, M.; Codina, E. Three-dimensional numerical simulation of an external gear pump with decompression slot and meshing contact point. J. Fluid Eng. 2015, 137, 041105. [Google Scholar] [CrossRef]
- Vacca, A.; Guidetti, M. Modelling and experimental validation of external spur gear machines for fluid power applications. Simul. Modelling Pract. Theory 2011, 19, 2007–2031. [Google Scholar] [CrossRef]
- Mucchi, E.; Dalpiaz, G.; del Rincon, A.F. Elastodynamic analysis of a gear pump. Part I: Pressure distribution and gear eccentricity. Mech. Syst. Signal Process. 2010, 24, 2160–2179. [Google Scholar] [CrossRef]
- Zhao, X.; Vacca, A. Analysis of continuous-contact helical gear pumps through numerical modeling and experimental validation. Mech. Syst. Signal Process. 2018, 109, 352–378. [Google Scholar] [CrossRef]
- Mucchi, E.; D’Elia, G.; Dalpiaz, G. Simulation of the running in process in external gear pumps and experimental verification. Meccanica 2012, 47, 621–637. [Google Scholar] [CrossRef]
- Battarra, M.; Mucchi, E. A method for variable pressure load estimation in spur and helical gear pumps. Mech. Syst. Signal Process. 2016, 76, 265–282. [Google Scholar] [CrossRef]
- Bonacini, C. Sulla Portata delle Pompe ad Ingranaggi; L’Ingegnere: Milan, Italy, 1961. (In Italian) [Google Scholar]
- Kasaragadda, S.D.; Manring, N.D. The theoretical flow ripple of an external gear pump. In ASME 2002 International Mechanical Engineering Congress and Exposition; American Society of Mechanical Engineers: New York, NY, USA, 2002. [Google Scholar]





























| Number of teeth | 18 | Drive pressure angle (deg) | 30 |
| Correction factor x | −0.9 | Coast pressure angle (deg) | 15 |
| Addendum radius (mm) | 19.27 | Root radius (mm) | 13.33 |
| Center distance (mm) | 33.36 | Axial length H (mm) | 39 |
| Displacement (cc/rev) | 22.2 | Profile contact ratio | 2.0 |
| Casing opening angle (deg) | 65 | Helical contact ratio | 0 |
| Module (mm) | 2.016 |
© 2019 by the authors. Licensee MDPI, Basel, Switzerland. This article is an open access article distributed under the terms and conditions of the Creative Commons Attribution (CC BY) license (http://creativecommons.org/licenses/by/4.0/).
Share and Cite
Zhao, X.; Vacca, A. Theoretical Investigation into the Ripple Source of External Gear Pumps. Energies 2019, 12, 535. https://doi.org/10.3390/en12030535
Zhao X, Vacca A. Theoretical Investigation into the Ripple Source of External Gear Pumps. Energies. 2019; 12(3):535. https://doi.org/10.3390/en12030535
Chicago/Turabian StyleZhao, Xinran, and Andrea Vacca. 2019. "Theoretical Investigation into the Ripple Source of External Gear Pumps" Energies 12, no. 3: 535. https://doi.org/10.3390/en12030535
APA StyleZhao, X., & Vacca, A. (2019). Theoretical Investigation into the Ripple Source of External Gear Pumps. Energies, 12(3), 535. https://doi.org/10.3390/en12030535

