Organic Geochemical Characteristics of the Upper Cretaceous Qingshankou Formation Oil Shales in the Fuyu Oilfield, Songliao Basin, China: Implications for Oil-Generation Potential and Depositional Environment
Abstract
1. Introduction
2. Geological Setting
2.1. Plate Tectonics and Stratigraphic Sequence in the Songliao Basin
2.2. Qingshankou Formations
3. Materials and Methods
4. Results and Discussion
4.1. Petrography
4.2. Bulk Geochemical Parameters
4.2.1. TOC, TIC, TS and Pyrolysis
4.2.2. TOC/TS Ratio
4.3. Organic Geochemistry
4.3.1. Compositions of the Extracted Oil
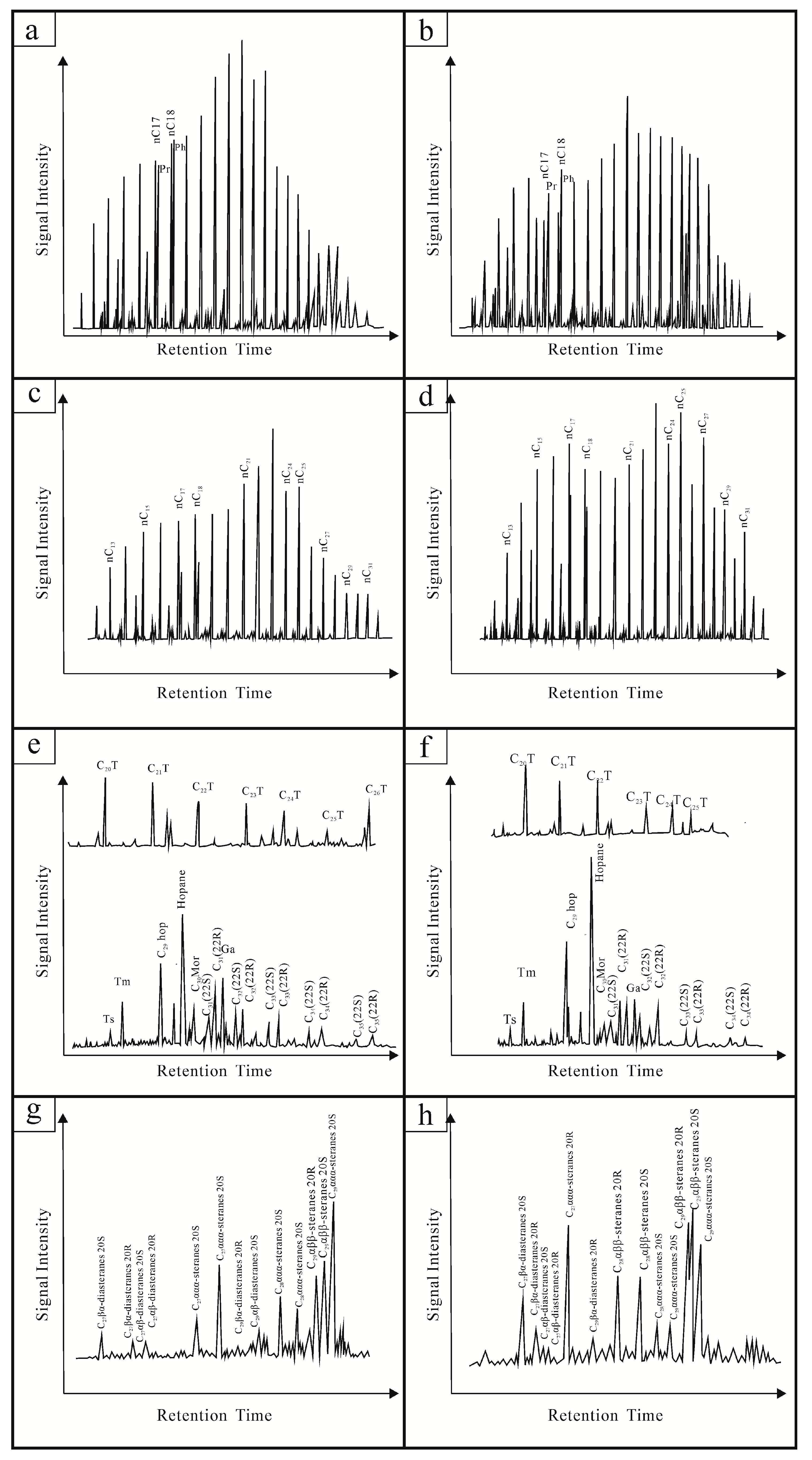
4.3.2. Molecular Composition of Hydrocarbons
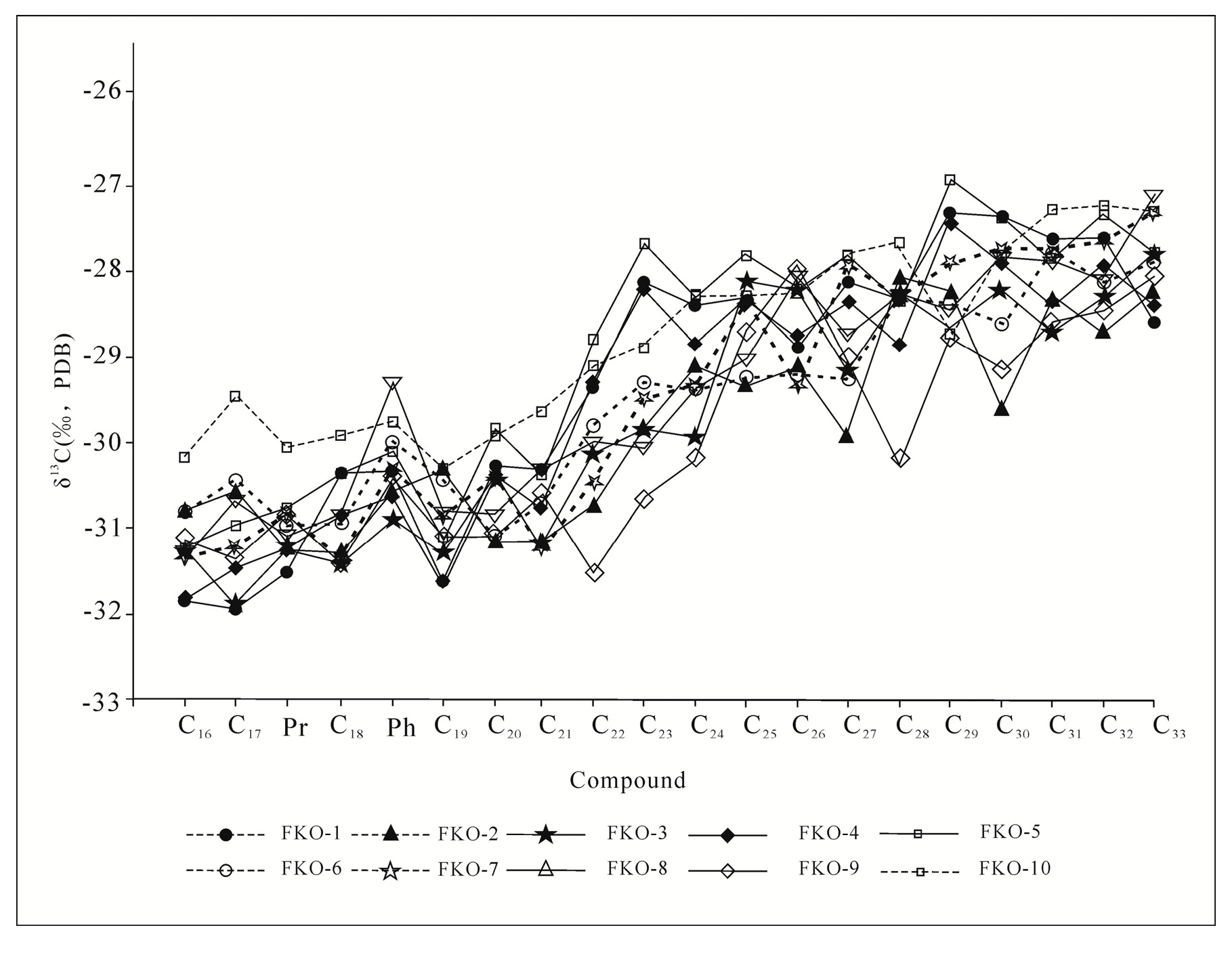
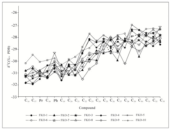
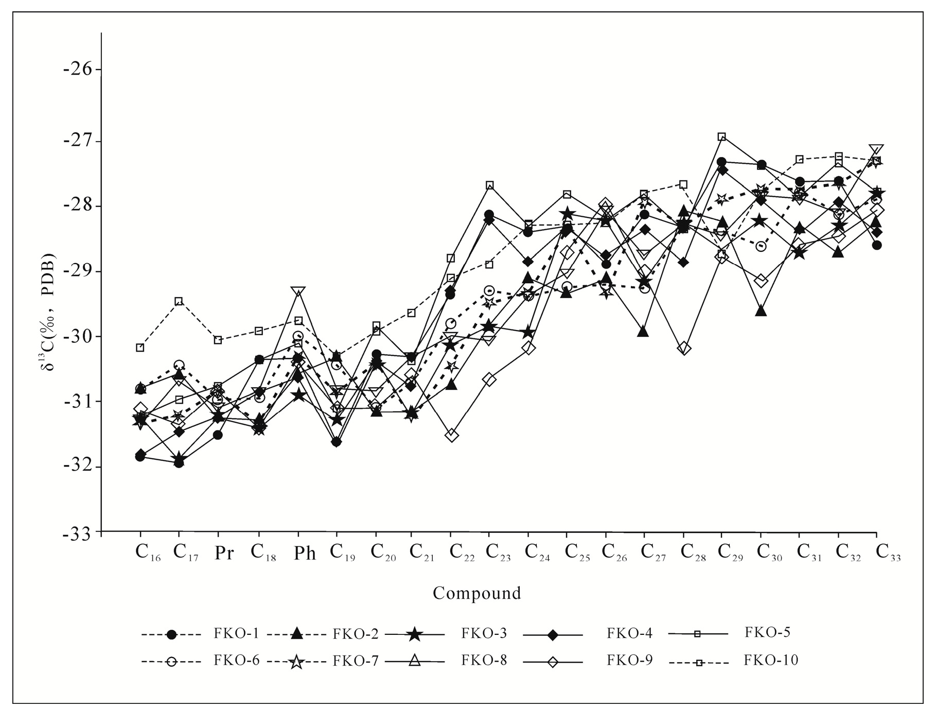
4.3.3. Carbon Isotope Characteristics of the Monomer Hydrocarbons.
4.4. Changes in the Total Organic Carbon Isotopes
5. Conclusions
- (1)
- The oil shales mainly occur in the zone one of the Qingshankou Formation. The oil shale thickness layer is 120 m, and the lithology is mainly grey-black and black shales. The sediments from the Qingshankou Formation in the Fuyu oilfield, possesses an excellent oil-generation potential.
- (2)
- Through changes in TOC, TS and TOC/TS ratio, the water environment during deposition of the Qingshankou Formation was a saline water environment with a high sulfate concentration. This water environment promoted an increased nutrient content and water density stratification in the lake basin. Oxygen consumption in the bottom water layer was conducive to the accumulation and burial of high-abundance of organic matter, forming the high-quality oil shales of the zone one of the Qingshankou Formation.
- (3)
- The oil shales are of high quality based on their high EOM (2.50–6.96 mg/g TOC) level and high yield of hydrocarbon fractions (48–89%).
- (4)
- The sources of the organic matter in the Qingshankou Formation oil shale are mainly zooplankton, algae and certain higher plants (including marine organisms), and the sedimentary environment of the Qingshankou Formation oil shale is a reductive saline water environment.
- (5)
- The global carbon cycle, warm-humid palaeoclimate, dynamic local biogeochemical cycling and relative passive tectonism were the most likely reasons for the TOC increase and negative δ13Corg deviation.
Author Contributions
Funding
Conflicts of Interest
References
- Skelton, P.W.; Spicer, R.A.; Kelley, S.P.; Gilmour, I. The Cretaceous World; Cambridge University Press: London, UK, 2003. [Google Scholar]
- Arthur, M.A.; Jenkyns, H.C.; Brumsack, H.J.; Schlanger, S.O. Stratigraphy, Geochemis-try, and Paleoceanography of Organic Carbon-Rich Cretaceous Sequences. In Cretaceous Resources Events, and Rhythms; Ginsburg, R.N., Beaudoin, B., Eds.; Springer: New York, NY, USA, 1990; pp. 75–119. [Google Scholar]
- Poulsen, C.J.; Barron, E.J.; Arthur, M.A.; Peterson, W.H. Response of the mid-Cretaceousglobal oceanic circulation to tectonic and CO2 forcings. Paleoceanography 2001, 16, 576–592. [Google Scholar] [CrossRef]
- Hong, S.K.; Lee, Y.I. Evaluation of atmospheric carbon dioxide concentrations during the Cretaceous. Earth Planet. Sci. Lett. 2012, 327–328, 23–28. [Google Scholar] [CrossRef]
- Quan, C.; Sun, C.; Sun, Y. High resolution estimates of paleo-CO2 Levels through the Campanian (Late Cretaceous) based on Ginkgo cuticles. Cretac. Res. 2009, 30, 424–428. [Google Scholar] [CrossRef]
- Hou, D.; Feng, Z.; Huang, Q. Geological and Geochemical Evidences of Anoxic Eventin The Songliao Basin, China. Geoscience 2003, 17, 311–317. (In Chinese) [Google Scholar]
- Song, Z.G.; Qin, Y.; Geroge, S.C.; Wang, L.; Guo, J.T.; Feng, Z.H. A biomarker study of depositional paleoenvironments and source inputs for the massive formation of Upper Cretaceous lacustrine source rocks in the Songliao Basin, China. Palaeogeogr. Palaeoclimatol. Palaeoecol. 2013, 385, 137–151. [Google Scholar] [CrossRef]
- Wan, X.Q.; Zhao, J.; Scott, R.W.; Wang, P.J.; Feng, Z.H.; Huang, Q.H.; Xi, D.P. Late Cretaceous stratigraphy, Songliao Basin, NE China: SK1 cores. Palaeogeogr. Palaeoclimatol. Palaeoecol. 2013, 385, 31–43. [Google Scholar] [CrossRef]
- Wu, H.C.; Zhang, S.H. The floating astronomical time scale for the terrestrial Late Cretaceous Qingshankou Formation from the Songliao Basin of Northeast China and its stratigraphic and paleoclimate implications. Earth Planet. Sci. 2009, 278, 308–323. [Google Scholar] [CrossRef]
- Khudololey, A.K.; Sokolov, S.D. Structural evolution of the northeast Asia continental margin: An example from the western Koryak fold and thrust belt (northeast Russia). Geol. Mag. 1998, 135, 311–330. [Google Scholar] [CrossRef]
- Feng, Z.Q.; Jia, C.Z.; Xie, X.N.; Zhang, S.; Feng, Z.H.; Timothy, A.C. Tectonostratigraphicunits and stratigraphic sequences of the nonmarine Songliao Basin, northeast China. Basin Res. 2010, 22, 79–95. [Google Scholar]
- Wang, C.S.; Feng, Z.Q.; Zhang, L.M.; Huang, Y.J.; Cao, K.; Wang, P.J.; Zhao, B. Creta-ceous paleogeography and paleoclimate and the setting of SKI borehole sites in Songliao Basin, northeast China. Palaeogeogr. Palaeoclimatol. Palaeoecol. 2013, 385, 17–30. [Google Scholar] [CrossRef]
- Liu, Z.; Sun, P.; Jia, J.; Liu, R.; Meng, Q. Distinguishing features and their genetic interpretation of stratigraphic se-quences in continental deep water setting: A case from Qingshankou Formation in Songliao Basin. Earth Sci. Front. 2011, 18, 171–180. (In Chinese) [Google Scholar]
- Liu, Z.; Wang, D.; Liu, L.; Liu, W.; Wang, P.; Du, X.; Yang, G. Sedimentary Characteristics of the Cretaceous Songliao Basin. Acta Geol. Sin. 1992, 66, 327–338. [Google Scholar]
- Gao, R.; Kong, Q. Dinoflagellate and biomarker compounds of the Cretaceous non-marine source rocks in the Songliao Basin. Discip. Dev. Res. 1992, 6, 9–17. (In Chinese) [Google Scholar]
- Hang, G.; Zhang, W.J. The Discussion of the Era of the Cretaceous Qingshankou Formation in Sngliao Basin. Sci. Technol. Eng. 2011, 11, 461–466. [Google Scholar]
- Li, W.B. Palynoflora from the Quantou Formation of Songliao basin, NE China and its bearing on the Upper-Lower Cretaceous boundary. Acta Palaeontol. Sin. 2001, 40, 153–176. (In Chinese) [Google Scholar]
- Wu, H.C.; Zhang, S.H. Establishment of floating astronomical time scale for the terrestrial Late Cretaceous Qingshankou Formation in the Songliao basin of Northeast China. Earth Sci. Front. 2008, 15, 159–169. [Google Scholar] [CrossRef]
- Grock, D.R.; Hesselbo, S.P.; Jenkyns, H.C. Carbon isotope composition of lower cretaceous fossil wood: Ocean atmosphere chemistry and relation to sea level change. Geology 1999, 27, 155–158. [Google Scholar] [CrossRef]
- Chen, P. Comments on the Classification and Correlation of Non-marineJurassic and Cretaceous of China. J. Stratigr. 2000, 24, 114–119. (In Chinese) [Google Scholar]
- Huang, Q.; Liu, J.; Xue, T.; Dang, Y.; Kong, H.; Zhang, W. Geochemical characteristics of anoxic event bed in Qingshankou Formation from the Well Chao 73–87 of Songliao Basin. Chin. J. Geol. 2009, 44, 435–443. (In Chinese) [Google Scholar]
- Ye, D. The Significance of the Cretaceous Ostracoda Biostratigraphy and Magnetostratigraphy in Songliao Basin. Pet. Geol. Oilfield Dev. Daqing 1991, 10, 1–10. (In Chinese) [Google Scholar]
- Ye, D.; Huang, Q.; Zhang, Y. Ostracoda Biostratigraphy of the Cretaceous in Songliao Basin; Petroleum Industry Press: Beijing, China, 2002. [Google Scholar]
- Xi, D.; Wan, X.; Feng, Z.; Li, S.; Feng, Z.; Jia, J.; Jing, X.; Si, W. Discovery of Late Cretaceous foraminifera in the Songliao Basin: Evidence from SK-1 and implications for identifying seawater incursions. Chin. Sci. Bull. 2011, 56, 253–256. (In Chinese) [Google Scholar] [CrossRef]
- Wang, Y. Preliminary study on the discovery and genesis of glauconite in the sediments of modern lakes in Fuxian Lake. Chin. Sci. Bull. 2013, 2, 14–17. (In Chinese) [Google Scholar]
- Wang, M.; Lu, S.F.; Wang, Z.W.; Liu, Y.; Huang, W.B.; Chen, F.W.; Xu, X.Y.; Li, Z.; Li, J.J. Reservoir Characteristics of Lacustrine Shale and Marine Shale: Examples from the Songliao Basin, Bohai Bay Basin and Qiannan Depression. Acta Geol. Sin. 2016, 90, 1024–1038. [Google Scholar]
- Wan, X.; Li, G.; Chen, P.; Yu, T.; Ye, D. Isotope Stratigraphy of the Cretaceous Qingshankou Formation in Songliao Basin and Its Correlation with Marine Cenomanian Stage. Acta Geol. Sin. 2005, 79, 150–156. (In Chinese) [Google Scholar]
- Jones, M.M.; Ibarra, D.E.; Gao, Y.; Sageman, B.B.; Selby, D.; Chamberlain, C.P.; Graham, S.A. Evaluating Late Cretaceous OAEs and the influence of marine incursions on organic carbon burial in an expansive East Asian paleo-lake. Earth Planet. Sci. Lett. 2018, 484, 41–52. [Google Scholar] [CrossRef]
- Peters, K.E.; Cassa, M.R. Applied source rock geochemistry. Memoirs 1994, 60, 93–120. [Google Scholar]
- Espitalié, J.; Laporte, J.L.; Madec, M.; Marquis, F.; Leplat, P.; Pauletand, J.; Boutefeu, A. Methode rapide de caracterisation des roches meres, de leur potential petrolier et de leur degre d’evolution. Rev. de l’Institut Fr. du Pet. 1977, 32, 23–42. [Google Scholar]
- Brunner, B.; Bernasconi, S.M.A. Revised isotope fractionation model for dissimilatory sulfate reduction in sulfate reducing bacteria. Geochim. Cosmochim. Acta 2005, 69, 4759–4771. [Google Scholar] [CrossRef]
- Berner, R.A. Burial of organic carbon and pyrite sulfur in the modern ocean: Its geochemical and environmental significance. Am. J. Sci. 1982, 282, 451–475. [Google Scholar] [CrossRef]
- Berner, R.A.; Raiswel, R. C/S method for distinguishing freshwater from marinesedimentary rocks. Geology 1984, 12, 365–368. [Google Scholar] [CrossRef]
- Berner, R.A.; Raiswell, R. Burial of organic carbon and pyrite sulfur in sedimentsover Phanerozoic time: A new theory. Geochim. Cosmochim. Acta 1983, 47, 855–862. [Google Scholar] [CrossRef]
- Leventhal, J.S. An interpretation of carbon and sulfur relationships in Black Sea sediments as indicators of environments of deposition. Geochim. Cosmochim. Acta 1983, 47, 133–138. [Google Scholar] [CrossRef]
- Wilkin, R.T.; Arthur, M.A. Variations in pyrite texture, sulfur isotope composition, and iron systematics in the Black Sea: Evidence for Late Pleistocene to Holocene excursions of the O2-H2S redox transition. Geochim. Cosmochim. Acta 2001, 65, 1399–1416. [Google Scholar] [CrossRef]
- Sachse, V.F.; Littke, R.; Jabour, H.; Schühmann, T.; Kluth, O. Late Cretaceous (LateTuronian, Coniacian and Santonian) petroleum source rocks as part of an OAE, Tarfaya Basin, Morocco. Mar. Pet. Geol. 2012, 29, 35–49. [Google Scholar] [CrossRef]
- Prauss, M.L. Marine palynology of the Oceanic Anoxic Event 3 (OAE3, Coniacian–Santonian) at Tarfaya, Morocco, NW Africa. The transition from preservation to pro-duction controlled accumulation of marine organic carbon. Cretac. Res. 2015, 53, 19–37. [Google Scholar] [CrossRef]
- Dean, W.E.; Gorham, E. Magnitude and significance of carbon burial in lakes, reservoirs, and peatlands. Geology 1998, 26, 535–538. [Google Scholar] [CrossRef]
- Jia, J.; Bechtel, A.; Liu, Z.; Strobl, S.A.I.; Sun, P.; Sachsenhofer, R.F. Oil shale formation in the Upper Cretaceous Nenjiang Formation of the Songliao Basin (NE China): Implications from organic and inorganic geochemical analyses. Int. J. Coal Geol. 2013, 113, 11–26. [Google Scholar] [CrossRef]
- Bechtel, A.; Jia, J.; Strobl, S.A.I.; Sachsenhofer, R.F.; Liu, Z.; Gratzer, R.; Püttmann, W. Palaeoenvironmental conditions during deposition of the Upper Cretaceous oilshale sequences in the Songliao Basin (NE China): Implications from geochemicalanalysis. Org. Geochem. 2012, 46, 76–95. [Google Scholar] [CrossRef]
- Song, Y.; Liu, Z.; Meng, Q.; Xu, J. The Geochemical Characteristics and Its Implication of Organic Matter Enrichment Conditions in the Upper Cretaceous Oil Shale Sequences of the Songliao Basin (NE China). Acta Geol. Sin. 2015, 89, 268–269. (In Chinese) [Google Scholar] [CrossRef]
- Liang, Y.; Shan, X.; Yousif, M.; Makeen, W.H.A.; Hao, G.; Tong, L.; Mutari, L.; Zhao, R.; Habeeb, A. Ayinla, Geochemical Characteristics of Oil from Oligocene Lower Ganchaigou Formation Oil Sand in Northern Qaidam Basin, China. Nat. Resour. Res. 2019, 28, 1521–1546. [Google Scholar] [CrossRef]
- Collister, J.W.; Lichtfouse, E.; Hieshima, G.; Hayes, J.M. Partial resolution of sources of n-alkanes in the saline portion of the Parachute Creek Member, Green River Formation. Org. Geochem. 1994, 21, 645–659. [Google Scholar] [CrossRef]
- Lijmbach, G.W. SP (1) On the Origin of Petroleum. In Proceedings of the 9th World Petroleum Congress, Tokyo, Japan, 11–16 May 1975. [Google Scholar]
- Volkman, J.K.; Maxwell, J.R. Acyclic isoprenoids as biological markers. In Biological Markers in the Sedimentary Record; Johns, R.B., Ed.; Elsevier: Amsterdam, The Netherlands, 1986. [Google Scholar]
- Shanmugam, G. Significance of coniferous rainforests and related organic matter in generating commercial quantities of oil, Gipps-land Basin, Australia. AAPG Bull. 1985, 69, 1241–1254. [Google Scholar]
- Makeen, Y.M.; Abdullah, W.H.; Hakimi, M.H. Biological markers and organic petrology study of organic matter in the Lower Cretaceous Abu Gabra sediments (Muglad Basin, Sudan): Origin, type and palaeoenvironmental conditions. Arab. J. Geosci. 2015, 8, 489–506. [Google Scholar] [CrossRef]
- Makeen, Y.M.; Abdullah, W.H.; Hakimi, M.H. The origin, type and preservation of organic matter of the Barremiane Aptian organic-rich shales in the Muglad Basin, Southern Sudan, and their relation to paleoenvironmental and paleoclimate conditions. Mar. Pet. Geol. 2015, 65, 187–197. [Google Scholar] [CrossRef]
- Makeen, Y.M.; Abdullah, W.H.; Hakimi, M.H.; Elhassan, O.M.A. Organic geochemical characteristics of the lower Cretaceous Abu Gabra formation in the great Moga oilfield, Muglad Basin, Sudan: Implications for depositional environment and oil-generation potential. J. Afr. Earth Sci. 2015, 103, 102–112. [Google Scholar] [CrossRef]
- Qin, J.; Wang, S.; Sanei, H.; Jiang, C.; Chen, Z.; Ren, S.; Xu, X.; Yang, J.; Zhong, N. Revelation of organic matter sources and sedimentary environment characteristics for shale gas formation by petrographic analysis of middle Jurassic Dameigou formation, northern Qaidam Basin, China. Int. J. Coal Geol. 2018, 195, 373–385. [Google Scholar] [CrossRef]
- Huang, W.Y.; Meinschein, W.G. Sterols as ecological indicators. Geochim. Cosmochim. Acta 1979, 43, 739–745. [Google Scholar] [CrossRef]
- Peters, K.E.; Moldowan, J.M. The biomarker guide: Interpreting molecular fossils in petroleum and ancient sediments. Choice Rev. Online 1993, 30, 30–2690. [Google Scholar]
- Mello, M.R.; Telnaes, N.; Gaglianone, P.C.; Chicarelli, M.I.; Brassell, S.C.; Maxwell, J.R. Organic geochemical characterization of depositional palaeoenvironments of source rocks and oils in Brazilian marginal basins. Org. Geochem. 1988, 13, 31–45. [Google Scholar] [CrossRef]
- Sofer, Z.V. Isotopic composition of individual n-alkane in oils. Org. Geochem. 1992, 23, 210–212. [Google Scholar]
- Zhao, M.; Huang, D. Carbon Isotopic Distributive Characteristics of Crude Oil Monomers Produced in Different Sedimentary. Environ. Pet. Geol. 1995, 17, 171–179. [Google Scholar]
- Schlanger, S.O.; Arthur, M.A. The Cenomanian-Turonian oceanic anoxic event, 1. Stratigraphy and distribution of organic carbon-rich beds and the marine excursion. Geol. Soc. 1987, 26, 371–399. [Google Scholar]
- Sageman, B.B.; Meyers, S.R.; Arthur, M.A. Orbital time scale and new C-isotope record for Cenomanian-Turonian boundary stratotype. Geology 2006, 34, 125–128. [Google Scholar] [CrossRef]
- Barclay, R.S.; McElwain, J.C.; Sageman, B.B. Carbon sequestration activated by a volcanic CO2 pulse during Ocean Anoxic Event 2. Nat. Geosci. 2010, 3, 205–208. [Google Scholar] [CrossRef]
- Hong, S.K.; Lee, Y.I. Contributions of soot to δ13C of organic matter in Cretaceous lacustrine deposits, Gyeongsang Basin, Korea: Implication for paleoenvironmental reconstructions Santonian-Campanian Boundary Event. Palaeogeogr. Palaeoclimatol. Palaeoecol. 2013, 371, 54–61. [Google Scholar] [CrossRef]
- Pucéat, E.; Lécuyer, C.; Sheppard, S.M.F.; Dromart, G.; Reboulet, S.; Grandjean, P. Thermal evolution of Cretaceous Tethyan marine waters inferred from oxygen isotope composition of fish tooth enamels. Paleoceanography 2003, 18, 1–7. [Google Scholar] [CrossRef]
- Wilson, P.A.; Norris, R.D.; Cooper, M.J. Testing the Cretaceous greenhouse hypothesis using glassy foraminiferal calcite from the core of the Turonian tropics on Demerara Rise. Geology 2002, 30, 607–610. [Google Scholar] [CrossRef]
- Erba, E. Calcareousnann ofossils and Mesozoic oceanic anoxi events. Mar. Micropaleontol. 2004, 52, 85–106. [Google Scholar] [CrossRef]
- Jones, C.E.; Jenkyns, H.C. Sea water strontium isotopes oceanic anoxic events and sea floor hydro thermal activity in the Jurassic and Cretaceous. Am. J. Sci. 2001, 301, 112–149. [Google Scholar] [CrossRef]
- Sinton, C.; Duncan, R. Potential links between ocean plate auvolcanism and global ocean anoxia at the Cenomanian-Turonian boundary. Econ. Geol. 1999, 92, 836–842. [Google Scholar] [CrossRef]
- Diefendorf, A.F.; Mueller, K.E.; Wing, S.L.; Freeman, K.H. Global patterns in leaf 13C discrimination and implications for studies of past and future climate. PNAS 2009, 107, 5738–5743. [Google Scholar] [CrossRef] [PubMed]
- Yan, J. Mid-Cretaceous Biostratigraphy and Palaeoclimate Changefrom the Qingshankou and Nenjiang Formations in Nong’anarea, Jijin Province. Master’s Thesis, China University of Geosclences, Beijing, China, 2009. [Google Scholar]
- Hollander, D.J.; Smith, M.A. Microbially mediated carbon cycling as a control on the delta C-13 of sedimentary carbon in eutrophic lake mendota (USA): New models for interpreting isotopic excursions in the sedimentary record. Geochim. Cosmochim. Acta 2001, 65, 4321–4337. [Google Scholar] [CrossRef]









| Sample ID | Deep (m) | TIC (wt)% | TOC (wt%) | TS (wt%) | TOC/TS | S1 (mg/g) | S2 (mg/g) | Tmax (℃) | S3 (mg/g) | S1+S2 (mg/g) | HI | OI | PI |
|---|---|---|---|---|---|---|---|---|---|---|---|---|---|
| FKP-1 | 438 | 0.11 | 2.72 | 1.01 | 2.69 | 0.16 | 15.39 | 419 | 0.23 | 15.55 | 564.82 | 8.44 | 0.01 |
| FKP-2 | 440 | 0.13 | 7.14 | 0.94 | 7.58 | 0.16 | 15.39 | 420 | 0.21 | 15.55 | 215.47 | 2.94 | 0.01 |
| FKP-3 | 444 | 0.06 | 2.75 | 1.62 | 1.70 | 0.16 | 15.51 | 420 | 0.2 | 15.67 | 563.15 | 7.26 | 0.01 |
| FKP-4 | 448 | 0.03 | 2.94 | 1.25 | 2.35 | 0.15 | 15.47 | 420 | 0.19 | 15.62 | 525.37 | 6.45 | 0.01 |
| FKP-5 | 450 | 0.00 | 4.67 | 0.78 | 5.96 | 0.26 | 27.24 | 422 | 0.16 | 27.5 | 583.50 | 3.43 | 0.01 |
| FKP-6 | 452 | 0.05 | 2.92 | 1.08 | 2.70 | 0.26 | 27.25 | 420 | 0.16 | 27.51 | 931.74 | 5.47 | 0.01 |
| FKP-7 | 454 | 0.01 | 3.21 | 1.16 | 2.77 | 0.17 | 26.35 | 427 | 0.16 | 26.52 | 820.65 | 4.98 | 0.01 |
| FKP-8 | 456 | 0.05 | 4.88 | 1.22 | 3.99 | 0.16 | 26.55 | 427 | 0.17 | 26.71 | 544.02 | 3.48 | 0.01 |
| FKP-9 | 458 | 0.06 | 5.87 | 1.45 | 4.04 | 0.13 | 23.56 | 427 | 0.11 | 23.69 | 401.36 | 1.87 | 0.01 |
| FKP-10 | 462 | 0.03 | 2.59 | 1.30 | 1.99 | 0.14 | 24.02 | 427 | 0.13 | 24.16 | 928.38 | 5.02 | 0.01 |
| FKP-11 | 464 | 0.02 | 4.09 | 1.55 | 2.64 | 0.27 | 34.08 | 428 | 0.12 | 34.35 | 833.62 | 2.94 | 0.01 |
| FKP-12 | 468 | 0.01 | 4.03 | 1.60 | 2.53 | 0.28 | 35.64 | 430 | 0.11 | 35.92 | 883.68 | 2.73 | 0.01 |
| FKP-13 | 472 | 0.03 | 7.35 | 1.39 | 5.28 | 0.27 | 40.44 | 430 | 0.09 | 40.71 | 549.88 | 1.22 | 0.01 |
| FKP-14 | 476 | 0.01 | 3.61 | 1.77 | 2.04 | 0.27 | 30.96 | 430 | 0.09 | 31.23 | 856.86 | 2.49 | 0.01 |
| FKP-15 | 478 | 0.04 | 5.42 | 0.97 | 5.60 | 0.18 | 17.8 | 427 | 0.04 | 17.98 | 328.21 | 0.74 | 0.01 |
| FKP-16 | 480 | 0.18 | 6.96 | 0.89 | 7.87 | 0.18 | 18.47 | 428 | 0.03 | 18.65 | 265.25 | 0.43 | 0.01 |
| FKP-17 | 484 | 0.17 | 2.57 | 2.34 | 1.10 | 0.33 | 24.7 | 427 | 0.02 | 25.03 | 959.26 | 0.78 | 0.01 |
| FKP-18 | 486 | 0.02 | 4.92 | 0.71 | 6.92 | 0.32 | 24.17 | 428 | 0.02 | 24.49 | 491.03 | 0.41 | 0.01 |
| FKP-19 | 490 | 0.01 | 3.50 | 1.05 | 3.35 | 0.35 | 29.7 | 427 | 0.04 | 30.05 | 848.91 | 1.14 | 0.01 |
| FKP-20 | 492 | 0.04 | 6.42 | 1.10 | 5.84 | 0.37 | 27.15 | 426 | 0.03 | 27.52 | 422.73 | 0.47 | 0.01 |
| Sample ID | Depth (m) | Lithology | Extractable Organic Matter (mg/g TOC) | Chromatographic Fractions of Bitumen Extraction (Oil wt. %) | CPI | Normal Alkanes and Isoprenoids | GIa | Regular Steranes (m/z 217) | C27/C29 | ||||||||
|---|---|---|---|---|---|---|---|---|---|---|---|---|---|---|---|---|---|
| Saturated Hydrocarbons | Aromatic Hydrocarbons | NSO Compounds | HCs | Sat/Aro% | Pr/Ph | Pr/nC17 | Ph/nC18 | αααC27steranes)/m(αααC27-C28-C29 steranes) | αααC28steranes)/m (αααC27-C28-C29 steranes | αααC29steranes)/m (αααC27-C28-C29 steranes | |||||||
| FKO-1 | 438. 00 | Oil shale | 3.5 | 0.36 | 0.12 | 0.52 | 0.48 | 2.94 | 1.22 | 0.84 | 1.16 | 1.58 | 0.34 | 0.43 | 0.15 | 0.42 | 1.04 |
| FKO-2 | 444. 00 | Oil shale | 2.75 | 0.59 | 0.23 | 0.17 | 0.83 | 2.55 | 1.1 | 0.58 | 1.26 | 1.78 | 0.28 | 0.42 | 0.16 | 0.42 | 1 |
| FKO-3 | 450. 00 | Oil shale | 4.67 | 0.33 | 0.31 | 0.36 | 0.64 | 1.04 | 1.39 | 0.91 | 1.24 | 1.48 | 0.15 | 0.67 | 0.15 | 0.18 | 3.66 |
| FKO-4 | 454. 00 | Oil shale | 5.87 | 0.4 | 0.2 | 0.4 | 0.6 | 1.94 | 1.32 | 0.67 | 1.3 | 1.88 | 0.23 | 0.56 | 0.16 | 0.28 | 1.99 |
| FKO-5 | 458. 00 | Oil shale | 4.37 | 0.5 | 0.28 | 0.23 | 0.77 | 1.78 | 1.25 | 0.54 | 1.28 | 1.75 | 0.37 | 0.48 | 0.13 | 0.39 | 1.22 |
| FKO-6 | 466. 00 | Oil shale | 5.14 | 0.56 | 0.16 | 0.28 | 0.72 | 3.54 | 1.4 | 0.82 | 1.36 | 1.11 | 0.19 | 0.41 | 0.23 | 0.36 | 1.13 |
| FKO-7 | 472. 00 | Oil shale | 4.61 | 0.47 | 0.31 | 0.23 | 0.77 | 1.51 | 1.02 | 0.52 | 0.76 | 1.19 | 0.44 | 0.58 | 0.15 | 0.29 | 2.03 |
| FKO-8 | 478. 00 | Oil shale | 6.96 | 0.44 | 0.21 | 0.35 | 0.65 | 2.16 | 1.23 | 1.18 | 0.82 | 1.33 | 0.15 | 0.59 | 0.14 | 0.28 | 2.13 |
| FKO-9 | 484. 00 | Oil shale | 4.37 | 0.54 | 0.16 | 0.3 | 0.7 | 3.38 | 1.1 | 0.9 | 0.92 | 1.34 | 0.18 | 0.52 | 0.16 | 0.32 | 1.63 |
| FKO-10 | 490. 00 | Oil shale | 2.5 | 0.55 | 0.33 | 0.11 | 0.89 | 1.65 | 1.22 | 0.73 | 1.05 | 1.04 | 0.31 | 0.46 | 0.19 | 0.36 | 1.26 |
| Minimum | 2.5 | 0.33 | 0.12 | 0.11 | 0.48 | 1.04 | 1.02 | 0.52 | 0.76 | 1.04 | 0.15 | 0.41 | 0.13 | 0.18 | 1 | ||
| Maximum | 6.96 | 0.56 | 0.31 | 0.4 | 0.89 | 3.54 | 1.4 | 1.189 | 1.37 | 1.88 | 0.84 | 0.67 | 0.24 | 0.42 | 3.66 | ||
| Average | 4.47 | 0.47 | 0.23 | 0.29 | 0.71 | 2.25 | 1.23 | 0.77 | 1.12 | 1.45 | 0.31 | 0.51 | 0.16 | 0.33 | 1.72 | ||
© 2019 by the authors. Licensee MDPI, Basel, Switzerland. This article is an open access article distributed under the terms and conditions of the Creative Commons Attribution (CC BY) license (http://creativecommons.org/licenses/by/4.0/).
Share and Cite
He, W.; Sun, Y.; Guo, W.; Shan, X.; Su, S.; Zheng, S.; Deng, S.; Kang, S.; Zhang, X. Organic Geochemical Characteristics of the Upper Cretaceous Qingshankou Formation Oil Shales in the Fuyu Oilfield, Songliao Basin, China: Implications for Oil-Generation Potential and Depositional Environment. Energies 2019, 12, 4778. https://doi.org/10.3390/en12244778
He W, Sun Y, Guo W, Shan X, Su S, Zheng S, Deng S, Kang S, Zhang X. Organic Geochemical Characteristics of the Upper Cretaceous Qingshankou Formation Oil Shales in the Fuyu Oilfield, Songliao Basin, China: Implications for Oil-Generation Potential and Depositional Environment. Energies. 2019; 12(24):4778. https://doi.org/10.3390/en12244778
Chicago/Turabian StyleHe, Wentong, Youhong Sun, Wei Guo, Xuanlong Shan, Siyuan Su, Shaopeng Zheng, Sunhua Deng, Shijie Kang, and Xu Zhang. 2019. "Organic Geochemical Characteristics of the Upper Cretaceous Qingshankou Formation Oil Shales in the Fuyu Oilfield, Songliao Basin, China: Implications for Oil-Generation Potential and Depositional Environment" Energies 12, no. 24: 4778. https://doi.org/10.3390/en12244778
APA StyleHe, W., Sun, Y., Guo, W., Shan, X., Su, S., Zheng, S., Deng, S., Kang, S., & Zhang, X. (2019). Organic Geochemical Characteristics of the Upper Cretaceous Qingshankou Formation Oil Shales in the Fuyu Oilfield, Songliao Basin, China: Implications for Oil-Generation Potential and Depositional Environment. Energies, 12(24), 4778. https://doi.org/10.3390/en12244778

