A Numerical Study on the Characteristics of Air–Fuel Mixing Using a Fluidic Oscillator in Supersonic Flow Fields
Abstract
1. Introduction
2. Numerical Approach
2.1. Numerical Methods
2.2. Boundary Conditions
2.3. Validation
3. Results
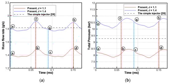
3.1. Flow Characteristics of the Fluidic Oscillator
3.2. Flow Structure
3.3. Comparison of Mixing Characteristics
3.3.1. Penetration Length
3.3.2. Area of the Flammable Region
3.3.3. Total Pressure Loss
3.3.4. Mixing Efficiency
4. Conclusions
Author Contributions
Funding
Acknowledgments
Conflicts of Interest
References
- Ferri, A. Possible directions of future research in air-breathing engines. In Proceedings of the Fourth Agard Colloquium on Combustion and Propulsionm, Milan, Italy, 4–8 April 1960; pp. 3–15. [Google Scholar]
- Seiner, J.M.; Dash, S.M.; Kenzakowski, D.C. Historical survey on enhanced mixing in scramjet engines. J. Propuls. Power 2001, 17, 1273–1286. [Google Scholar] [CrossRef]
- Gruber, M.R.; Carter, C.D.; Montes, D.R.; Haubelt, L.C.; King, P.I.; Hsu, K.Y. Experimental studies of pylon-aided fuel injection into a supersonic crossflow. J. Propuls. Power 2008, 24, 460–470. [Google Scholar] [CrossRef]
- Doster, J.; King, P.; Gruber, M.; Maple, R. Pylon fuel injector design for a scramjet combustor. In Proceedings of the 43rd AIAA/ASME/SAE/ASEE Joint Propulsion Conference & Exhibit, Cincinnati, OH, USA, 8–11 July 2007; p. 5404. [Google Scholar]
- Takahashi, H.; Tu, Q.; Segal, C. Effects of pylon-aided fuel injection on mixing in a supersonic flowfield. J. Propuls. Power 2010, 26, 1092–1101. [Google Scholar] [CrossRef]
- Gruenig, C.; Avrashkov, V.; Mayinger, F. Fuel injection into a supersonic airflow by means of pylons. J. Propuls. Power 2000, 16, 29–34. [Google Scholar] [CrossRef]
- Yu, K.H.; Wilson, K.J.; Schadow, K.C. Effect of flame-holding cavities on supersonic-combustion performance. J. Propuls. Power 2001, 17, 1287–1295. [Google Scholar] [CrossRef]
- Kim, K.M.; Baek, S.W.; Han, C.Y. Numerical study on supersonic combustion with cavity-based fuel injection. Int. J. Heat Mass Transf. 2004, 47, 271–286. [Google Scholar] [CrossRef]
- Huang, W.; Wang, Z.G.; Yan, L.; Liu, W.D. Numerical validation and parametric investigation on the cold flow field of a typical cavity-based scramjet combustor. Acta Astronaut. 2012, 80, 132–140. [Google Scholar] [CrossRef]
- Heller, H.H.; Bliss, D.B. Flow-induced pressure fluctuations in cavities and concepts for their suppression. Aeroacoustics 1976, 45, 281–296. [Google Scholar]
- Zhang, X.; Edwards, J.A. Experimental investigation of supersonic flow over two cavities in tandem. AIAA J. 1992, 30, 1182–1190. [Google Scholar] [CrossRef]
- Ben-yakar, A.; Hanson, R.K. Cavity flame-holders for ignition and flame stabilization in scramjets: An overview. J. Propuls. Power 2001, 17, 869–877. [Google Scholar] [CrossRef]
- Ben-yakar, A.; Hanson, R. Supersonic combustion of cross-flow jets and the influence of cavity flame-holders. In Proceedings of the 37th Aerospace Sciences Meeting and Exhibit, Reno, NV, USA, 11–14 January 1999; p. 484. [Google Scholar]
- Freeborn, A.; King, P.; Gruber, M. Characterization of pylon effects on a scramjet cavity flameholder flowfield. In Proceedings of the 46th AIAA Aerospace Sciences Meeting and Exhibit, Reno, NV, USA, 7–10 January 2008; p. 86. [Google Scholar]
- Kim, C.H.; Jeung, I.S.; Choi, B.; Kouchi, T.; Masuya, G. Effect of Fuel Injection Locations with a Hyper Mixer in Supersonic Combustion. In Proceedings of the 47th AIAA/ASME/SAE/ASEE Joint Propulsion Conference & Exhibit, San Diego, CA, USA, 31 July–3 August 2011; p. 5830. [Google Scholar]
- Yamauchi, Y.; Kodama, Y.; Sakaue, S.; Arai, T. Effect of Mach Number on Supersonic Mixing by” Hyper-Mixer Injector”. In Proceedings of the 18th AIAA/3AF International Space Planes and Hypersonic Systems and Technologies Conference, Tours, France, 24–28 September 2012; p. 5816. [Google Scholar]
- Arai, T.; Sakaue, S.; Hayase, H.; Hiejima, T.; Sunami, T.; Nishioka, M. Streamwise Vortices Introduced by’Hyper-Mixer’on Supersonic Mixing. In Proceedings of the 17th AIAA International Space Planes and Hypersonic Systems and Technologies Conference, San Francisco, CA, USA, 11–14 April 2011; p. 2342. [Google Scholar]
- Kubo, N.; Tomioka, S.; Murakami, A.; Kudo, K. Mixing and combustion experiments with hyper-mixer injectors in a scramjet combustor. In Proceedings of the 50th AIAA/ASME/SAE/ASEE Joint Propulsion Conference, Cleveland, OH, USA, 28–30 July 2014; p. 3873. [Google Scholar]
- Doster, J.; King, P.; Gruber, M.; Maple, R. Numerical simulation of ethylene injection from in-stream fueling pylons. In Proceedings of the 15th AIAA International Space Planes and Hypersonic Systems and Technologies Conference, Dayton, OH, USA, 28 April–2 May 2008; p. 2518. [Google Scholar]
- Desikan, S.L.N.; Kumaran, K.; Babu, V. Numerical investigation of the role of hyper-mixers in supersonic mixing. Aeronaut. J. 2010, 114, 659–672. [Google Scholar] [CrossRef][Green Version]
- Desikan, S.L.; Kurian, J. Strut-based gaseous injection into a supersonic stream. J. Propuls. Power 2006, 22, 474–477. [Google Scholar] [CrossRef]
- Ebrahimi, H.; Malo-molina, F.J.; Gaitonde, D.V. Numerical simulation of injection strategies in a cavity-based supersonic combustor. J. Propuls. Power 2012, 28, 991–999. [Google Scholar] [CrossRef]
- Mcclinton, C.R. The Effect of Injection Angle on the Interaction between Sonic Secondary Jets and a Supersonic Free Stream; NASA Langley Research Center: Hampton, VA, USA, 1972.
- Ogawa, H. Effects of injection angle and pressure on mixing performance of fuel injection via various geometries for upstream-fuel-injected scramjets. Acta Astronaut. 2016, 128, 485–498. [Google Scholar] [CrossRef]
- Kim, S.; Lee, B.J.; Jeung, I.S.; Lee, H. Characteristics of the Transverse Fuel Injection into a Supersonic Crossflow using Various Injector Geometries. J. Korean Soc. Propuls. Eng. 2018, 22, 53–64. [Google Scholar] [CrossRef]
- Paschereit, C.O.; Gutmark, E.; Weisenstein, W. Excitation of thermoacoustic instabilities by interaction of acoustics and unstable swirling flow. AIAA J. 2000, 38, 1025–1034. [Google Scholar] [CrossRef]
- Strykowski, P.J.; Krothapalli, A.; Wishart, D. Enhancement of mixing in high-speed heated jets using a counterflowing nozzle. AIAA J. 1993, 31, 2033–2038. [Google Scholar] [CrossRef]
- Randolph, H.; Chew, L.; Johari, H. Pulsed jets in supersonic crossflow. J. Propuls. Power 1994, 10, 746–748. [Google Scholar] [CrossRef]
- Chen, S.; Zhao, D. RANS investigation of the effect of pulsed fuel injection on scramjet HyShot II engine. Aerosp. Sci. Technol. 2019, 84, 182–192. [Google Scholar] [CrossRef]
- Cutler, A.D.; Harding, G.C.; Diskin, G.S. High frequency pulsed injection into a supersonic duct flow. AIAA J. 2013, 51, 809–818. [Google Scholar] [CrossRef]
- Milton, B.E.; Pianthong, K. Pulsed, supersonic fuel jets—A review of their characteristics and potential for fuel injection. Int. J. Heat Fluid Flow 2005, 26, 656–671. [Google Scholar] [CrossRef]
- Kouchi, T.; Sasaya, K.; Watanabe, J.; Shibayama, H.; Masuya, G. Penetration characteristics of pulsed injection into supersonic crossflow. In Proceedings of the 46th AIAA/ASME/SAE/ASEE Joint Propulsion Conference & Exhibit, Nashville, TN, USA, 25–28 July 2010; p. 6645. [Google Scholar]
- Kouchi, T.; Sakuranaka, N.; Izumikawa, M.; Tomioka, S. Pulsed transverse injection applied to a supersonic flow. In Proceedings of the 43rd AIAA/ASME/SAE/ASEE Joint Propulsion Conference & Exhibit, Cincinnati, OH, USA, 8–11 July 2007; p. 5405. [Google Scholar]
- Murugappan, S.; Gutmark, E. Parametric study of the Hartmann—Sprenger tube. Exp. Fluids 2005, 38, 813–823. [Google Scholar] [CrossRef]
- Gu, H.; Zhi, L.; Chen, L.; Gu, S.; Chang, X. Characteristics of Supersonic Combustion with Hartmann-Sprenger Tube Aided Fuel Injection. In Proceedings of the 17th AIAA International Space Planes and Hypersonic Systems and Technologies Conference, San Francisco, CA, USA, 11–14 April 2011; p. 2326. [Google Scholar]
- Elshamy, O.; Tambe, S.; Cai, J.; Jeng, S.M. Excited liquid jets in subsonic crossflow. In Proceedings of the 45th AIAA Aerospace Sciences Meeting and Exhibit, Reston, VA, USA, 8–11 January 2007; p. 1340. [Google Scholar]
- Song, Y.; Hwang, D.; Ahn, K. Spray characteristics of liquid jets in acoustically-forced crossflows. J. Korean Soc. Propuls. Eng. 2018, 22, 1–10. [Google Scholar] [CrossRef]
- Viets, H. Flip-flop jet nozzle. AIAA J. 1975, 13, 1375–1379. [Google Scholar] [CrossRef]
- Wiltse, J.M.; Glezer, A. Direct excitation of small-scale motions in free shear flows. Phys. Fluids 1998, 10, 2026–2036. [Google Scholar] [CrossRef]
- Lee, S.; Park, S.; Kang, M.; Lee, Y. Influences of the Internal Geometry of the Fluidic Oscillator on the Characteristics of Supersonic Sweeping Jet. Trans. Korean Soc. Mech. Eng. B 2019, 43, 99–107. [Google Scholar] [CrossRef]
- Gregory, J.; Tomac, M.N. A review of fluidic oscillator development. In Proceedings of the 43rd AIAA Fluid Dynamics Conference, San Diego, CA, USA, 24–27 June 2013; p. 2474. [Google Scholar]
- Gokoglu, S.; Kuczmarski, M.; Culley, D.; Raghu, S. Numerical studies of a supersonic fluidic diverter actuator for flow control. In Proceedings of the 5th Flow Control Conference, Chicago, IL, USA, 28 June 2010; p. 4415. [Google Scholar]
- Raman, G.; Raghu, S. Cavity resonance suppression using miniature fluidic oscillators. AIAA J. 2004, 42, 2608–2612. [Google Scholar] [CrossRef]
- Ben-yakar, A.; Mungal, M.G.; Hanson, R.K. Time evolution and mixing characteristics of hydrogen and ethylene transverse jets in supersonic crossflows. Phys. Fluids 2006, 18, 026101. [Google Scholar] [CrossRef]
- Rdem, E.; Kontis, K. Numerical and experimental investigation of transverse injection flows. Shock Waves 2010, 20, 103–118. [Google Scholar]
- Fiorina, B.; Lele, S. Numerical investigation of a transverse jet in a supersonic crossflow using large eddy simulation. In Proceedings of the 36th AIAA Fluid Dynamics Conference and Exhibit, San Francisco, CA, USA, 5–8 June 2006; p. 3712. [Google Scholar]
- You, Y.; Luedeke, H.; Hannemann, K. Injection and mixing in a scramjet combustor: DES and RANS studies. Proc. Combust. Inst. 2013, 34, 2083–2092. [Google Scholar] [CrossRef]
- Won, S.H.; Jeung, I.S.; Parent, B.; Choi, J.Y. Numerical investigation of transverse hydrogen jet into supersonic crossflow using detached-eddy simulation. AIAA J. 2010, 48, 1047–1058. [Google Scholar] [CrossRef]
- Won, S.H.; Jeung, I.S.; Choi, J.Y. Verification and Validation of the Numerical Simulation of Transverse Injection Jets using Grid Convergence Index. J. Korean Soc. Aeronaut. Space Sci. 2006, 34, 53–62. [Google Scholar]
- Mcdaniel, J.C.; Raves, J. Laser-induced-fluorescence visualization of transverse gaseous injection in a nonreacting supersonic combustor. J. Propuls. Power 1988, 4, 591–597. [Google Scholar] [CrossRef]
- Gruber, M.R.; Nejadt, A.S.; Chen, T.H.; Dutton, J.C. Mixing and penetration studies of sonic jets in a Mach 2 freestream. J. Propuls. Power 1995, 11, 315–323. [Google Scholar] [CrossRef]
- Faucher, J.; Joseph, E.; Goldstein, S.; Tabach, E. Supersonic Combustion of Fuels Other than Hydrogen for Scramjet Application; Technical Report AFAPL-TR-67-12; US Air Force: East Hartford, CT, USA, 1967. [Google Scholar]
- Mao, M.; Riggins, D.W.; Mcclinton, C.R. Numerical Simulation of Transverse Fuel Injection; NASA Langley Research Center: Hampton, VA, USA, 1991.
















| Inflow Conditions (Freestream) | Injection Conditions (INJ) | |||
|---|---|---|---|---|
| Reference [25] | Present Study Using the Fluidic Oscillator | |||
| Mach number | 3.38 | J = 1.4 | J = 1.1 | J = 1.4 |
| Total temperature (K) | 4237 | 295 | ||
| Total pressure (bar) | 20.81 | 9.28 | 9.275 @ inlet | 11.92 @ inlet |
| Mass flow rate (g/s) | 1.82 | 1.42 (time averaged) | 1.82 (time averaged) | |
| Reynolds number | 2.2 × 105 | 1.5 × 105 | 7.0 × 104 @ outlet | 9.0 × 104 @ outlet |
| Frequency (Hz) | Sweeping Angle (°) | |
|---|---|---|
| Lee et al. [40] | 600 | 20 |
| Present result | 599.94 | 20 |
© 2019 by the authors. Licensee MDPI, Basel, Switzerland. This article is an open access article distributed under the terms and conditions of the Creative Commons Attribution (CC BY) license (http://creativecommons.org/licenses/by/4.0/).
Share and Cite
Lee, E.C.; Cha, S.-W.; Kwon, H.-S.; Roh, T.-S.; Lee, H.J. A Numerical Study on the Characteristics of Air–Fuel Mixing Using a Fluidic Oscillator in Supersonic Flow Fields. Energies 2019, 12, 4758. https://doi.org/10.3390/en12244758
Lee EC, Cha S-W, Kwon H-S, Roh T-S, Lee HJ. A Numerical Study on the Characteristics of Air–Fuel Mixing Using a Fluidic Oscillator in Supersonic Flow Fields. Energies. 2019; 12(24):4758. https://doi.org/10.3390/en12244758
Chicago/Turabian StyleLee, Eun Cheol, Seung-Won Cha, Hee-Soo Kwon, Tae-Seong Roh, and Hyoung Jin Lee. 2019. "A Numerical Study on the Characteristics of Air–Fuel Mixing Using a Fluidic Oscillator in Supersonic Flow Fields" Energies 12, no. 24: 4758. https://doi.org/10.3390/en12244758
APA StyleLee, E. C., Cha, S.-W., Kwon, H.-S., Roh, T.-S., & Lee, H. J. (2019). A Numerical Study on the Characteristics of Air–Fuel Mixing Using a Fluidic Oscillator in Supersonic Flow Fields. Energies, 12(24), 4758. https://doi.org/10.3390/en12244758
