Energy Storage Sizing Optimization and Sensitivity Analysis Based on Wind Power Forecast Error Compensation
Abstract
1. Introduction
2. ESS Compensation for Wind Power Forecast Error
2.1. Analysis of Power Forecast Error
2.2. Determination of the ESS Rated Power
2.3. Determination of the ESS Rated Capacity
3. Optimization of the ESS Sizing with Economic Objective
3.1. Objective Function
3.2. Constraint Conditions
3.3. Solving Steps
4. The Analysis of Influencing Factors on the Optimal Result
4.1. The Effect of Error Compensation Degree
4.2. The Effect of Electricity Price
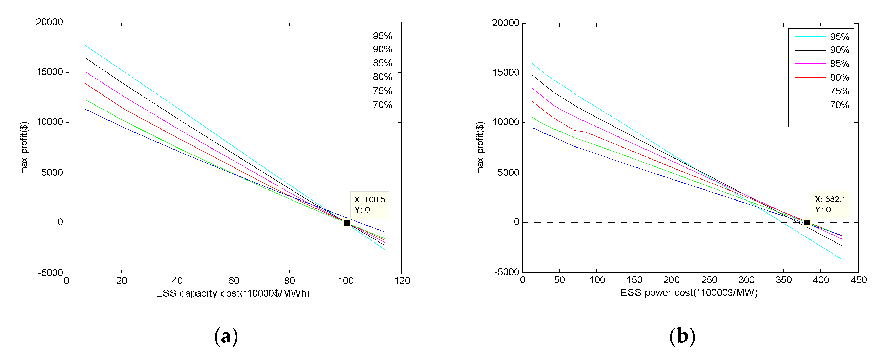
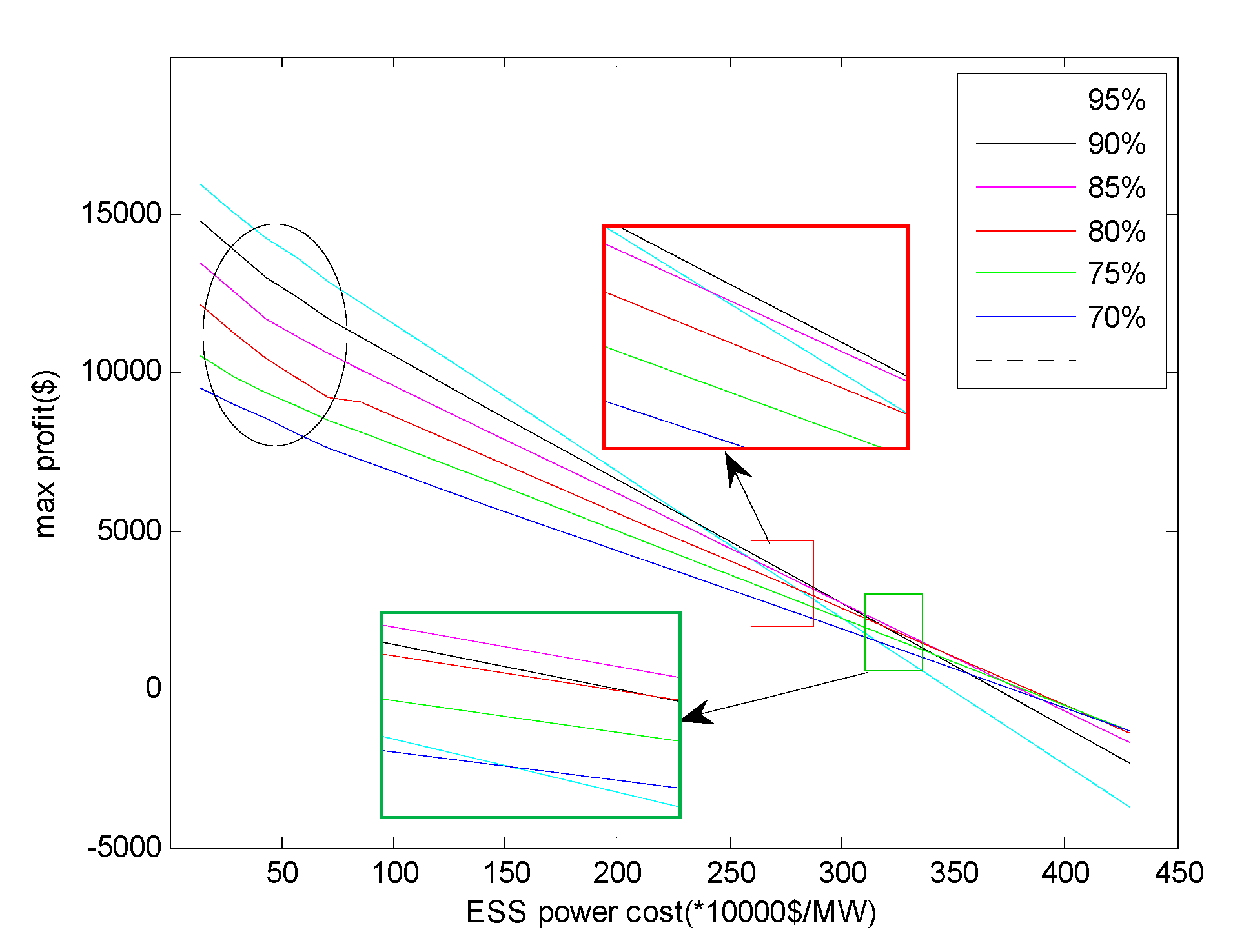
4.3. The Effect of the ESS Cost
4.4. The Effect of the Penalty Cost
5. Case Studies
5.1. Analysis of Wind Power Forecast Error
5.2. The ESS Sizing Optimization Considering Economic Objective
5.3. The Comparison of the Optimization Method in This Paper with the Traditional Method
5.4. The Result Analysis
5.5. The Analysis of Influencing Factors on the Optimal Result
5.5.1. The Effect of Electricity Price
5.5.2. The Effect of the ESS Unit Cost
5.5.3. The Effect of the Compensation Degree
5.5.4. The Effect of the Unit Penalty Cost
5.5.5. Sensitivity Analysis of the Influencing Factors
- index is the max profit;
- parameter is the electricity price (c), ESS unit power cost (cP), and ESS unit capacity cost (cE), unit wind curtailment penalty (c1) or unit wind shortage penalty (c2).
6. Conclusions
Author Contributions
Funding
Conflicts of Interest
References
- Zhang, L.; Ye, T.; Xin, Y.; Han, F.; Fan, G. Problems and measures of power grid accommodating large scale wind power. Proc. CSEE 2010, 30, 1–9. [Google Scholar]
- Lu, M.S.; Chang, C.L.; Lee, W.J.; Wang, L. Combining the wind power generation system with energy storage equipment. IEEE Trans. Ind. Appl. 2009, 45, 2109–2118. [Google Scholar]
- Sorensen, P.; Cutululis, N.A.; Vigueras-Rodríguez, A.; Jensen, L.E.; Hjerrild, J.; Donovan, M.H.; Madsen, H. Power fluctuations from large wind farms. IEEE Trans. Power Syst. 2007, 22, 958–965. [Google Scholar] [CrossRef]
- Xiao, J.; Bai, L.; Li, F.; Liang, H.; Wang, C. Sizing of energy storage and diesel generators in an isolated microgrid using discrete Fourier transform (DFT). IEEE Trans. Sustain. Energy 2014, 5, 907–916. [Google Scholar] [CrossRef]
- Zhang, N.; Kang, C.; Kirschen, D.S.; Xia, Q.; Xi, W.; Huang, J.; Zhang, Q. Planning pumped storage capacity for wind power integration. IEEE Trans. Sustain. Energy 2012, 4, 393–401. [Google Scholar] [CrossRef]
- Gangui, Y.A.N.; Xiaodong, F.E.N.G.; Junhui, L.I.; Gang, M.U.; Guoqiang, X.I.E.; Xiaochen, D.O.N.G.; Zhiming, W.A.N.G.; Kai, Y.A.N.G. Optimization of energy storage system capacity for relaxing peak load regulation bottlenecks. Proc. CSEE 2012, 32, 27–35. [Google Scholar]
- Wang, C.; Yu, B.; Xiao, J.; Guo, L. Sizing of energy storage systems for output smoothing of renewable energy systems. Proc. Chin. Soc. Electr. Eng. 2012, 32, 1–8. [Google Scholar]
- Liu, Y.; Du, W.; Xiao, L.; Wang, H.; Cao, J. A Method for Sizing Energy Storage System to Increase Wind Penetration as Limited by Grid Frequency Deviations. IEEE Trans. Power Syst. 2015, 31, 729–737. [Google Scholar] [CrossRef]
- Brekken, T.K.; Yokochi, A.; Von Jouanne, A.; Yen, Z.Z.; Hapke, H.M.; Halamay, D.A. Optimal energy storage sizing and control for wind power applications. IEEE Trans. Sustain. Energy 2010, 2, 69–77. [Google Scholar] [CrossRef]
- Bludszuweit, H.; Domínguez-Navarro, J.A. A probabilistic method for energy storage sizing based on wind power forecast uncertainty. IEEE Trans. Power Syst. 2012, 26, 1651–1658. [Google Scholar] [CrossRef]
- Yan, G.G.; Liu, J.; Cui, Y.; Li, J.; Ge, W.; Ge, Y. Economic evaluation of improving the wind power scheduling scale by energy storage system. Proc. CSEE 2013, 33, 45–52. [Google Scholar]
- Luo, F.; Meng, K.; Dong, Z.Y.; Zheng, Y.; Chen, Y.; Wong, K.P. Coordinated operational planning for wind farm with battery energy storage system. IEEE Trans. Sustain. Energy 2015, 6, 253–262. [Google Scholar] [CrossRef]
- Haessig, P.; Multon, B.; Ahmed, H.B.; Lascaud, S.; Bondon, P. Energy storage sizing for wind power: Impact of the autocorrelation of day-ahead forecast errors. Wind Energy 2015, 18, 43–57. [Google Scholar] [CrossRef]
- Papaefthimiou, S.; Karamanou, E.; Papathanassiou, S.; Papadopoulos, M. Operating policies for wind-pumped storage hybrid power stations in island grids. IET Renew. Power Gener. 2009, 3, 293–307. [Google Scholar] [CrossRef]
- Zidar, M.; Georgilakis, P.S.; Hatziargyriou, N.D.; Capuder, T.; Škrlec, D. Review of energy storage allocation in power distribution networks: Applications, methods and future research. IET Gener. Transm. Distrib. 2016, 10, 645–652. [Google Scholar] [CrossRef]
- Zhao, H.; Wu, Q.; Hu, S.; Xu, H.; Rasmussen, C.N. Review of energy storage system for wind power integration support. Appl. Energy 2015, 137, 545–553. [Google Scholar] [CrossRef]
- Khalid, M. Wind Power Economic Dispatch-Impact of Radial Basis Functional Networks and Battery Energy Storage. IEEE Access 2019, 7, 36819–36832. [Google Scholar] [CrossRef]
- Bludszuweit, H.; Dominguez-Navarro, J.A.; Llombart, A. Statistical analysis of wind power forecast error. IEEE Trans. Power Syst. 2008, 23, 983–991. [Google Scholar] [CrossRef]
- Sideratos, G.; Hatziargyriou, N.D. An advanced statistical method for wind power forecasting. IEEE Trans. Power Syst. 2007, 22, 258–265. [Google Scholar] [CrossRef]
- Chen, C.; Duan, S.; Cai, T.; Liu, B.; Hu, G. Optimal allocation and economic analysis of energy storage system in microgrids. IEEE Trans. Power Electron. 2011, 26, 2762–2773. [Google Scholar] [CrossRef]
- Dui, X.; Zhu, G.; Yao, L. Two-stage optimization of battery energy storage capacity to decrease wind power curtailment in grid-connected wind farms. IEEE Trans. Power Syst. 2018, 33, 3296–3305. [Google Scholar] [CrossRef]
- Li, Q.; Choi, S.S.; Yuan, Y.; Yao, D.L. On the determination of battery energy storage capacity and short-term power dispatch of a wind farm. IEEE Trans. Sustain. Energy 2010, 2, 148–158. [Google Scholar] [CrossRef]
- Liu, F.; Pan, Y.; Liu, H.; Ding, Q.; Li, Q.; Wang, Z. Piecewise exponential distribution model of wind power forecasting error. Autom. Electr. Power Syst. 2013, 37, 14–19. [Google Scholar]
- Zhang, Y.; Wang, J.; Wang, X. Review on probabilistic forecasting of wind power generation. Renew. Sustain. Energy Rev. 2014, 32, 255–270. [Google Scholar] [CrossRef]
- Quintero Pulido, D.; Hoogsteen, G.; ten Kortenaar, M.; Hurink, J.; Hebner, R.; Smit, G. Characterization of Storage Sizing for an Off-Grid House in the US and the Netherlands. Energies 2018, 11, 265. [Google Scholar] [CrossRef]
- Wu, Y.; Hongkun, C.; Kunling, X.; Xin, J.; Chun, L. Optimal capacity allocation of energy storage system considering two times scale scheduling cycles. Power Syst. Prot. Control 2018, 46, 106–133. [Google Scholar]
- Xiaowei, D.; Guiping, Z.; Yanzhang, L. Research on Battery Storage Sizing for Wind Farm Considering Forecast Error. Power Syst. Technol. 2017, 41, 434–439. [Google Scholar]
- Xiang, Y.; Wei, Z.N.; Sun, G.Q.; Sun, Y.H.; Shen, H.P. Life cycle cost based optimal configuration of battery energy storage system in distribution network. Power Syst. Technol. 2015, 39, 265–270. [Google Scholar]
- Wang, W.; Mao, C.; Lu, J.; Wang, D. An energy storage system sizing method for wind power integration. Energies 2013, 6, 3392–3404. [Google Scholar] [CrossRef]
- Müller, N.; Kouro, S.; Zanchetta, P.; Wheeler, P.; Bittner, G.; Girardi, F. Energy Storage Sizing Strategy for Grid-Tied PV Plants under Power Clipping Limitations. Energies 2019, 12, 1812. [Google Scholar] [CrossRef]
- Eyer, J.M.; Schoenung, S.M. Benefit and Cost Framework for Evaluating Modular Energy Storage: A Study for the DOE Energy Storage Systems Program; No. SAND2008-0978; Sandia National Laboratories: Albuquerque, NM, USA, 2008. [Google Scholar]
- Liu, P.; Cai, Z.; Xie, P.; Li, X.; Zhang, Y. A Computationally Efficient Optimization Method for Battery Storage in Grid-connected Microgrids Based on a Power Exchanging Process. Energies 2019, 12, 1512. [Google Scholar] [CrossRef]
- Ingram, A.E. Storage options and sizing for utility scale integration of wind energy plants. In Proceedings of the ASME 2005 International Solar Energy Conference, Orlando, FL, USA, 6–12 August 2008. [Google Scholar]
- Feng, J.; Liang, J.; Zhang, F.; Wang, C.; Sun, B. An optimization calculation method of wind farm energy storage capacity. Autom. Electr. Power Syst. 2013, 37, 90–95. [Google Scholar]
- Liu, J.; Chen, Z.; Xiang, Y. Exploring Economic Criteria for Energy Storage System Sizing. Energies 2019, 12, 2312. [Google Scholar] [CrossRef]
















| Lower Bound (MW) | Upper Bound (MW) | Rated Power (MW) | Rated Capacity (MWh) | Extra Generated Electricity (MWh) | Curtailed Wind (MWh) | Shortage Wind (MWh) | Profit ($) |
|---|---|---|---|---|---|---|---|
| … | … | … | … | … | … | … | … |
| −24.75 | 20.04 | 24.75 | 102.32 | 250.43 | 44.76 | 10.07 | 8852.01 |
| −24.16 | 20.47 | 24.16 | 103.56 | 250.73 | 43.77 | 10.76 | 8912.43 |
| −23.59 | 20.91 | 23.59 | 104.84 | 251.09 | 42.75 | 11.42 | 8978.44 |
| −23.04 | 21.36 | 23.04 | 106.17 | 251.44 | 41.69 | 12.13 | 9038.25 |
| −22.52 | 21.83 | 22.52 | 107.53 | 251.74 | 40.60 | 12.93 | 9083.24 |
| −22.02 | 22.31 | 22.31 | 108.94 | 252.03 | 39.47 | 13.76 | 9089.05 |
| −21.54 | 22.81 | 22.81 | 110.41 | 252.39 | 38.30 | 14.57 | 9020.96 |
| −21.07 | 23.34 | 23.34 | 111.93 | 252.83 | 37.08 | 15.35 | 8960.35 |
| −20.62 | 23.88 | 23.88 | 113.52 | 253.35 | 35.81 | 16.10 | 8907.10 |
| −20.18 | 24.45 | 24.45 | 115.17 | 253.94 | 34.48 | 16.83 | 8861.24 |
| −19.75 | 25.04 | 25.04 | 116.88 | 254.60 | 33.12 | 17.55 | 8819.92 |
| … | … | … | … | … | … | … | … |
| Compensation Degree | Method | Interval (MW) | Interval Length (MW) | Profit ($) | ESS Rated Power Prate (MW) | ESS Rated Capacity Erate (MWh) |
|---|---|---|---|---|---|---|
| 95% | Method in this paper (The optima interval) | (−35.38, 32.68) | 68.06 | 12,241.77 | 35.38 | 136.91 |
| Traditional method (The shortest interval) | (−33.76, 34.05) | 67.81 | 12,076.87 | 34.05 | 139.12 | |
| 90% | Method in this paper (The optima interval) | (−26.05, 31.49) | 57.54 | 11,106.54 | 28.60 | 126.50 |
| Traditional method (The shortest interval) | (−28.31, 28.60) | 56.91 | 11,100.37 | 31.49 | 134.23 | |
| 85% | Method in this paper (The optima interval) | (−24.76, 25.05) | 49.81 | 10,102.05 | 25.05 | 116.88 |
| Traditional method (The shortest interval) | (−24.76, 25.05) | 49.81 | 10,102.05 | 25.05 | 116.88 | |
| 80% | Method in this paper (The optima interval) | (−22.02, 22.31) | 44.33 | 9089.05 | 22.32 | 108.95 |
| Traditional method (The shortest interval) | (−22.02, 22.31) | 44.33 | 9089.05 | 22.32 | 108.95 | |
| 75% | Method in this paper (The optima interval) | (−19.34, 20.47) | 39.81 | 8123.01 | 20.47 | 101.12 |
| Traditional method (The shortest interval) | (−19.75, 20.05) | 39.80 | 8052.50 | 20.05 | 102.33 | |
| 70% | Method in this paper (The optima interval) | (−18.16, 17.71) | 35.87 | 7234.94 | 18.16 | 95.51 |
| Traditional method (The shortest interval) | (−17.78, 18.08) | 35.86 | 7210.49 | 18.08 | 96.58 | |
| 65% | Method in this paper (The optima interval) | (−18.54, 14.10) | 32.64 | 6386.46 | 18.54 | 84.96 |
| Traditional method (The shortest interval) | (−16.02, 16.31) | 32.33 | 6341.43 | 16.31 | 91.43 | |
| 60% | Method in this paper (The optima interval) | (−16.36, 12.93) | 29.29 | 5551.73 | 16.36 | 81.12 |
| Traditional method (The shortest interval) | (−14.41, 14.71) | 29.12 | 5382.10 | 14.71 | 86.95 | |
| 55% | Method in this paper (The optima interval) | (−15.69, 10.75) | 26.45 | 4593.61 | 15.69 | 73.67 |
| Traditional method (The shortest interval) | (−12.92, 13.21) | 26.14 | 3929.58 | 13.21 | 83.96 | |
| 50% | Method in this paper (The optima interval) | (−14.41, 9.22) | 23.63 | 3408.68 | 14.41 | 66.77 |
| Traditional method (The shortest interval) | (−11.52, 11.81) | 23.33 | 2191.89 | 11.81 | 80.27 |
| Parameter | Electricity Price | ESS Unit Power Cost | ESS Unit Capacity Cost | Wind Curtailment Penalty | Wind Shortage Penalty |
|---|---|---|---|---|---|
| SD | 1.844 | −0.232 | −0.397 | −1.344 | −0.425 |
© 2019 by the authors. Licensee MDPI, Basel, Switzerland. This article is an open access article distributed under the terms and conditions of the Creative Commons Attribution (CC BY) license (http://creativecommons.org/licenses/by/4.0/).
Share and Cite
Yu, X.; Dong, X.; Pang, S.; Zhou, L.; Zang, H. Energy Storage Sizing Optimization and Sensitivity Analysis Based on Wind Power Forecast Error Compensation. Energies 2019, 12, 4755. https://doi.org/10.3390/en12244755
Yu X, Dong X, Pang S, Zhou L, Zang H. Energy Storage Sizing Optimization and Sensitivity Analysis Based on Wind Power Forecast Error Compensation. Energies. 2019; 12(24):4755. https://doi.org/10.3390/en12244755
Chicago/Turabian StyleYu, Xiaodong, Xia Dong, Shaopeng Pang, Luanai Zhou, and Hongzhi Zang. 2019. "Energy Storage Sizing Optimization and Sensitivity Analysis Based on Wind Power Forecast Error Compensation" Energies 12, no. 24: 4755. https://doi.org/10.3390/en12244755
APA StyleYu, X., Dong, X., Pang, S., Zhou, L., & Zang, H. (2019). Energy Storage Sizing Optimization and Sensitivity Analysis Based on Wind Power Forecast Error Compensation. Energies, 12(24), 4755. https://doi.org/10.3390/en12244755
