The Thermal Swelling Properties of Plant Chemical Alcohol Waste Liquid
Abstract
:1. Introduction
2. Experimental
2.1. Analysis of Plant Chemical Alcohol Waste Liquor
2.2. Vertical Tube Furnace
2.3. High-Speed Camera
2.4. Test Conditions
2.5. Test Method
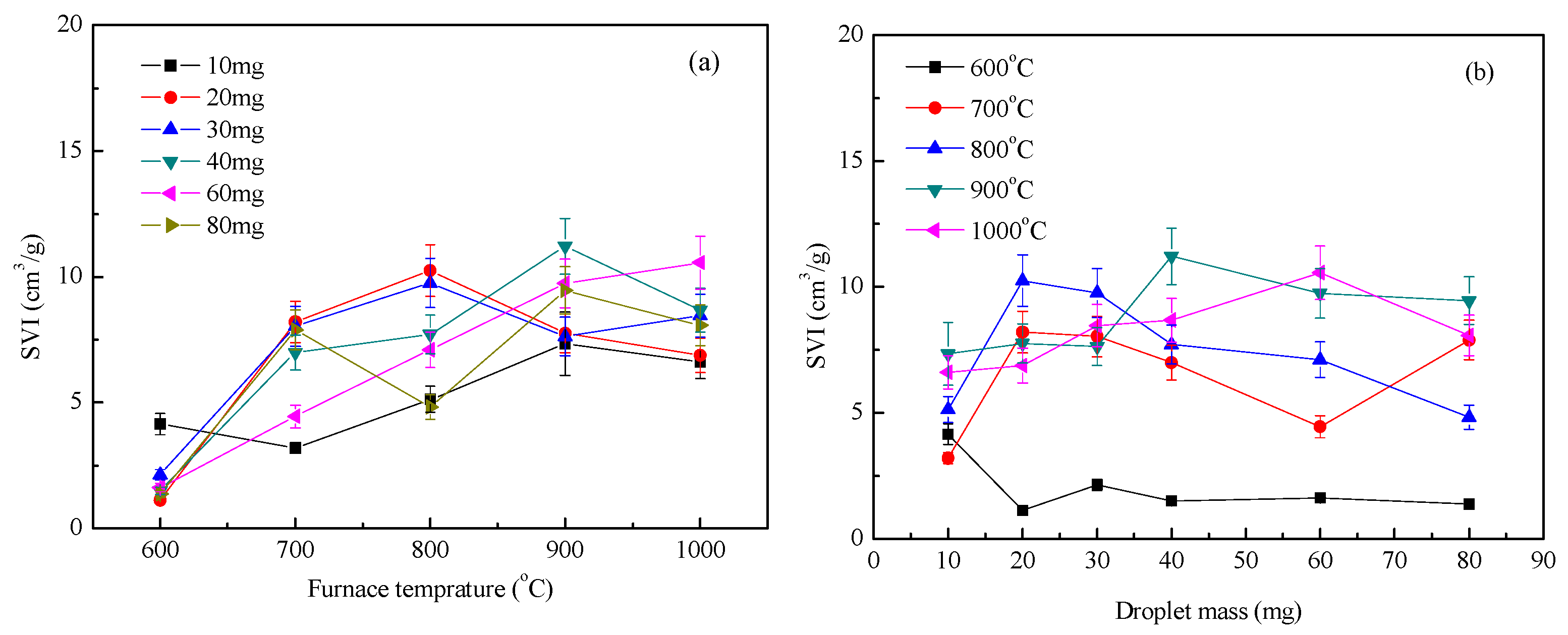
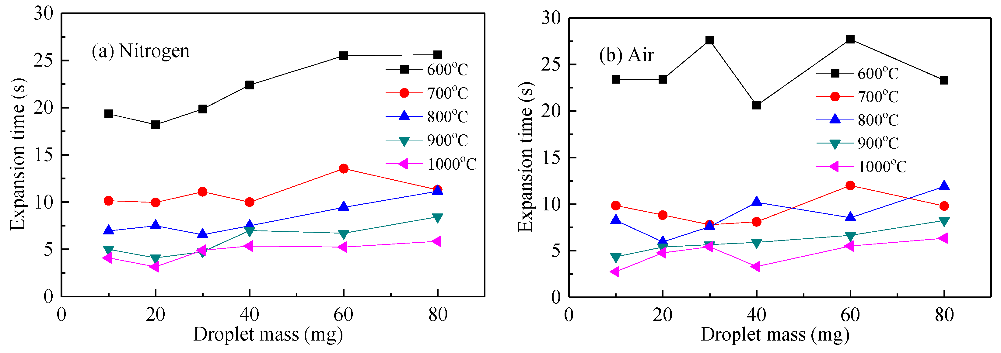
3. Results and Discussion
4. Conclusions
- The swelling properties of plant chemical alcohol waste liquid droplet in the vertical tube furnace under air atmosphere were more complex than those under an N2 atmosphere. Except for the 10 mg sample, the maximum SVI in N2 was bigger than that in air.
 - With the same temperature in the vertical tube furnace, the swelling time slowly increased with an increase in the particle mass. At the same particle mass, the higher the temperature, the lower was the swelling time. When the temperature was higher than 700 °C, the swelling time in air was less than that in N2.
 - The SVImax was >>1/ρ of plant alcohol chemical waste. A bigger SVI of the waste liquor meant that more pores were produced during the heating or combustion of the waste liquor. A suitable particle size, higher furnace temperature, and adequate residence time were beneficial to the swelling of the waste liquor, thereby playing an important role in improving the performance of waste combustion.
 
Author Contributions
Funding
Acknowledgments
Conflicts of Interest
References
- Basu, P.; Basu, P. Biomass gasification and pyrolysis: Practical design and theory. Compr. Renew. Energy 2010, 25, 133–153. [Google Scholar]
 - Kamm, B.; Gruber, P.R.; Kamm, M. Biorefineries–Industrial Processes and Products. In Ullmann’s Encyclopedia of Industrial Chemistry; Wiley-VCH: Weinheim, Germany, 2007. [Google Scholar] [CrossRef]
 - Feng, D.; Zhao, Y.; Zhang, Y.; Xu, H.; Zhang, L.; Sun, S. Catalytic mechanism of ion-exchanging alkali and alkaline earth metallic species on biochar reactivity during CO2/H2O gasification. Fuel 2018, 212, 523–532. [Google Scholar] [CrossRef]
 - Feng, D.; Zhang, Y.; Zhao, Y.; Sun, S. Catalytic effects of ion-exchangeable K+ and Ca2+ on rice husk pyrolysis behavior and its gas–liquid–solid product properties. Energy 2018, 152, 166–177. [Google Scholar] [CrossRef]
 - Saxena, U.; Dwivedi, N.; Vidyarthi, S.R. Effect of Catalyst Constituents on (Ni, Mo, and Cu)/Kieselguhr-Catalyzed Sucrose Hydrogenolysis. Ind. Eng. Chem. Res. 2005, 44, 1466–1473. [Google Scholar] [CrossRef]
 - Zhu, Y.; Romain, C.; Williams, C.K. Sustainable polymers from renewable resources. Nature 2016, 540, 354–362. [Google Scholar] [CrossRef] [PubMed]
 - Cruz-Aldaco, K.; Flores-Loyola, E.; Aguilar-González, C.N.; Burgos, N.; Jiménez, A. Synthesis and thermal characterization of polyurethanes obtained from cottonseed and corn oil-based polyols. J. Renew. Mater. 2016, 4, 178–184. [Google Scholar] [CrossRef]
 - Wang, D.W.; Hu, C.W.; Tang, L.; Wang, B.H. Combustion Method of Biochemical Alcohol Boiler. CN Patent CN103486573A, 12 June 2012. [Google Scholar]
 - Zhao, Y.; Feng, D.; Zhang, Y.; Huang, Y.; Sun, S. Effect of pyrolysis temperature on char structure and chemical speciation of alkali and alkaline earth metallic species in biochar. Fuel Process. Technol. 2016, 141, 54–60. [Google Scholar] [CrossRef]
 - Saw, W.L.; Nathan, G.J.; Ashman, P.J.; Alwahabi, Z.T.; Hupa, M. Simultaneous measurement of the surface temperature and the release of atomic sodium from a burning black liquor droplet. Combust. Flame 2010, 157, 769–777. [Google Scholar] [CrossRef]
 - Ip, L.T.; Baxter, L.L.; Mackrory, A.J.; Tree, D.R. Surface temperature and time-dependent measurements of black liquor droplet combustion. AlChe J. 2010, 54, 1926–1931. [Google Scholar] [CrossRef]
 - Kevin, W.; Rainer, B.; Mikko, H. Influence of pressure on pyrolysis of black liquor: 1. Swelling. Bioresour. Technol. 2008, 99, 663–670. [Google Scholar]
 - Chen, C. Combustion behavior of black liquors: Droplet swelling and influence of liquor composition. Jyväsk. Univ. Jyväsk. 2017, 206, 16–17. [Google Scholar]
 - Maček, A. Research on combustion of black-liquor drops. Prog. Energy Combust. Sci. 1999, 25, 275–304. [Google Scholar] [CrossRef]
 - Roberts, W.; Lu, H.; Ip, L.; Baxter, L.L. Black liquor particle and droplet reactions: Experimental and model results. In Proceedings of the 45th Anniversary International Recovery Boiler Conference, Lahti, Finland, 3–5 June 2009; pp. 57–100. [Google Scholar]
 - Järvinen, M.; Zevenhoven, R.; Vakkilainen, E.; Forssén, M. Black liquor devolatilization and swelling—A detailed droplet model and experimental validation. Biomass Bioenergy 2003, 24, 495–509. [Google Scholar] [CrossRef]
 - Järvinen, M.P. Numerical Modeling of the Drying, Devolatilization and Char Conversion Processes of Black Liquor Droplets; Helsinki University of Technology: Helsinki, Finland, 2002. [Google Scholar]
 - Järvinen, M.; Zevenhoven, R.; Vakkilainen, E.; Forssen, M. Effective thermal conductivity and internal thermal radiation in burning black liquor particles. Combust. Sci. Technol. 2003, 175, 873–900. [Google Scholar] [CrossRef]
 - Fredrick, W. Combustion Processes in Black Liquor Recovery: Analysis and Interpretation of Combustion Rate Data and an Engineering Design Model; Institute of Paper Science and Technology, Aabo Akademi: Atlanta, GA, USA, 1990. [Google Scholar]
 - Kulas, K.A. An Overall Model of the Combustion of a Single Droplet of Kraft Black Liquor; Georgia Institute of Technology: Atlanta, GA, USA, 1990. [Google Scholar]
 - Kevin, W.; Mika, K.; Vesa, S.; Rainer, B.; Mikko, H. Influence of pressure on pyrolysis of black liquor: 2. Char yields and component release. Bioresour. Technol. 2008, 99, 671–679. [Google Scholar]
 - Miller, P.; Clay, D.; Lonsky, W. The influence of composition on the swelling of kraft black liquor during pyrolysis. Chem. Eng. Commun. 1989, 75, 101–120. [Google Scholar] [CrossRef]
 - Gea, G.; Murillo, M.B.; Arauzo, J. Thermal Degradation of Alkaline Black Liquor from Straw. Thermogravimetric Study. Ind. Eng. Chem. Res. 2002, 41, 4714–4721. [Google Scholar] [CrossRef]
 - Gea, G.; Murillo, M.; Arauzo, J.; Frederick, W. Swelling behavior of black liquor from soda pulping of wheat straw. Energy Fuels 2003, 17, 46–53. [Google Scholar] [CrossRef]
 - Frederick, W.; Hupa, M. The effects of temperature and gas composition on swelling of black liquor droplets during devolatilization. J. Pulp Pap. Sci. 1994, 20, J274–J280. [Google Scholar]
 - Demirbaş, A. Pyrolysis and steam gasification processes of black liquor. Energy Convers. Manag. 2002, 43, 877–884. [Google Scholar] [CrossRef]
 










| Method | Chemical Reaction to Produce CO2 | CO2 Produced by Energy Consumption | Total | 
|---|---|---|---|
| Biorefinery | 0.15 t | 2.40 t | 2.55 t | 
| Petroleum refining | 2.60 t | 2.68 t | 5.28 t | 
| Cd (%) | Hd (%) | Od (%) | Nd (%) | Sd (%) | Ad (%) | Mar (%) | HHV (MJ/kg) | 
|---|---|---|---|---|---|---|---|
| 23.726 | 9.718 | 25.412 | 0.552 | 1.403 | 5.30 | 13.05 | 15.518 | 
| Temperature (°C) | 35 | 40 | 45 | 50 | 55 | 60 | 70 | 80 | 90 | 100 | 110 | 
|---|---|---|---|---|---|---|---|---|---|---|---|
| Viscosity (CP) | 5891 | 5887 | 5869 | 3183 | 2312 | 2058 | 1037 | 580 | 316 | 210 | 133 | 
| Item | Parameter | 
|---|---|
| Resolution (hor × ver) | 1280 H × 1024 V pixels | 
| Pixel size (hor × ver) | 12 × 12 μm2 | 
| Peak quantum efficiency | 25%, 520 nm typical | 
| Spectral range | 290–1100 nm | 
| Full well capacity | 63000 e− | 
| Exposure time | 1 μs–1 s | 
| Dynamic range | 59.6 dB | 
| Test Condition Combination | ||||
|---|---|---|---|---|
| 10 mg–600 °C | 10 mg–700 °C | 10 mg–800 °C | 10 mg–900 °C | 10 mg–1000 °C | 
| 20 mg–600 °C | 20 mg–700 °C | 20 mg–800 °C | 20 mg–900 °C | 20 mg–1000 °C | 
| 30 mg–600 °C | 30 mg–700 °C | 30 mg–800 °C | 30 mg–900 °C | 30 mg–1000 °C | 
| 40 mg–600 °C | 40 mg–700 °C | 40 mg–800 °C | 40 mg–900 °C | 40 mg–1000 °C | 
| 60 mg–600 °C | 60 mg–700 °C | 60 mg–800 °C | 60 mg–900 °C | 60 mg–1000 °C | 
| 80 mg–600 °C | 80 mg–700 °C | 80 mg–800 °C | 80 mg–900 °C | 80 mg–1000 °C | 
© 2019 by the authors. Licensee MDPI, Basel, Switzerland. This article is an open access article distributed under the terms and conditions of the Creative Commons Attribution (CC BY) license (http://creativecommons.org/licenses/by/4.0/).
Share and Cite
Wang, D.; Du, C.; Feng, D.; Li, Y.; Zhang, Y.; Zhao, Y.; Zhao, G. The Thermal Swelling Properties of Plant Chemical Alcohol Waste Liquid. Energies 2019, 12, 4184. https://doi.org/10.3390/en12214184
Wang D, Du C, Feng D, Li Y, Zhang Y, Zhao Y, Zhao G. The Thermal Swelling Properties of Plant Chemical Alcohol Waste Liquid. Energies. 2019; 12(21):4184. https://doi.org/10.3390/en12214184
Chicago/Turabian StyleWang, Dawei, Chuanming Du, Dongdong Feng, Yuting Li, Yu Zhang, Yijun Zhao, and Guangbo Zhao. 2019. "The Thermal Swelling Properties of Plant Chemical Alcohol Waste Liquid" Energies 12, no. 21: 4184. https://doi.org/10.3390/en12214184
APA StyleWang, D., Du, C., Feng, D., Li, Y., Zhang, Y., Zhao, Y., & Zhao, G. (2019). The Thermal Swelling Properties of Plant Chemical Alcohol Waste Liquid. Energies, 12(21), 4184. https://doi.org/10.3390/en12214184
        
