Abstract
This paper explores the mechanism of convective heat transfer enhancement in a new perspective. In this paper, a new parameter called heat convection velocity is proposed based on the field synergy principle. It is defined as the velocity projection on the temperature gradient vector and reflects the magnitude of the velocity component that contributes to heat convection. Three typical cases are taken into consideration to investigate the influence factors of Nusselt number theoretically. The results indicate that the Nusselt number can be enhanced by increasing the mean heat convection velocity and the dimensionless mean temperature difference. Through theoretical analysis, three suggestions are found for designing heat transfer enhancement components: (a) the overall synergetic effect should be improved; (b) the fluid with lower temperature gradient should be guided to the region where the temperature gradient is higher; (c) temperature distribution should be an interphase distribution of hot and cold fluid. Besides, the heat convection velocity is used to investigate the mechanism of convective heat transfer in the smooth tube. It is found that the increase of Nusselt number is due to the increase of heat convection velocity. In addition, according to design suggestions, a new insert is invented and inserted in the circular tube. With heat convection velocity analysis, it is found that there is much potential of increasing heat convection velocity for enhancing the convective heat transfer in the circular tube.
1. Introduction
Convective heat transfer process exists widely in industrial applications ranging from thermal energy conversion to waste heat recovery, including steam generation, chemical industry, metallurgy industry, agricultural products drying, and etc. [1]. Enhancing convective heat transfer will make sense for energy saving so as to alleviate the pressure of tremendous energy exhausting rate [2,3]. In general, theoretical principles in terms of convective heat transfer enhancement techniques can be simply classified into four major categories: increasing the heat transfer area, destroying and thinning boundary layers, generating swirling and secondary flow, and raising the turbulence intensity [4,5,6]. On the other hand, passive heat transfer enhancement techniques are popular in practical applications due to the essential advantage of no other direct external energy sources required [7]. In recent years, researchers around the world have proposed kinds of passive heat transfer enhancement techniques, such as treated surfaces, rough surfaces [8], fins [9], inserts [10,11,12,13,14,15], coiled tubes [16], corrugated tubes [17], and etc. [4].
As is known, all enhancement techniques bring about the increase of heat transfer, as well as flow resistance [18]. Due to the demand of high overall thermal hydraulic performance, the heat transfer coefficient should be enhanced as high as possible. Hence, the enhancement technique that causes extra pump power consumption should be applied properly to the local area where the heat transfer enhancement is urgently needed. At present, with the advance of numerical analysis and field measurement techniques, it has been possible to access the local temperature and velocity at a specific point in the domain. The remained key problem is how to enhance the convective heat transfer intensity in the local area. Thus, it is necessary to study the unified mechanism of convective heat transfer enhancement.
In order to reveal the unified mechanism of convective heat transfer enhancement, Guo et al. [19] proposed a new look at the energy equation of convective heat transfer in 1998. They subsequently suggested a heat transfer enhancement concept that the synergetic effect between temperature gradient and velocity vector should be increased. This concept is the well-known field synergy principle that is a general theory for convective heat transfer enhancement. The field synergy principle and the heat line concept [20] both make independent contributions to the development of heat transfer theory. The heat line is similar to streamline and its major function is to visualize the heat transfer path, while the field synergy principle is aimed at enhancing convective heat transfer by improving the synergy between velocity and temperature gradient [6]. In 2002, Tao et al. [21] extended field synergy principle to elliptic flow and verified this principle with numerical simulation. In 2005, Guo et al. [22] defined a dimensionless parameter named field synergy number that indicates the synergy performance of the entire domain. Moreover, Liu et al. [23,24] proposed the physical quantity synergy between the velocity and pressure gradient in the consideration of reducing power consumption and extended field synergy principle to turbulent flow. Afterwards, He and Tao [5] carried out a comprehensive review of field synergy principle in convective heat transfer, involving mechanisms, techniques, and performance evaluation. Recently, Liu et al. [25] revealed the multi-field synergy relations for analyzing physical characteristics of convective heat and mass transfer enhancement based on the conservations of energy, momentum and mass concentration.
With continuous theoretical advances in field synergy principle, this principle was also applied to analyze various practical engineering problems. Kuo et al. [26] evaluated the enhanced convective heat transfer performance of a wave-like channel in Proton Exchange Membrane Fuel Cells. The results showed that the intersection synergy angle in the straight channel is larger than that in the enhanced flow channel. Wu et al. [27] numerically investigated the gas side heat transfer enhancement mechanism of longitudinal swirl flow in fin-and-tube exchangers in the view of field synergy principle. Jin et al. [9] carried out a numerical parametric analysis of H-type finned tube and verified the field synergy principle. Tiwari et al. [28,29] applied field synergy principle to effectively evaluate the heat transfer performance of channels in which secondary flow was generated. Hamid et al. [30] analyzed the field synergy of turbulent heat transfer for ribs roughened solar air heater. In the viewpoint of field synergy principle, Li et al. [31] explained the reduction mechanism of heat loss caused by natural convection in the solar parabolic dish-engine system. Yao et al. [32] explored the ultrasound-enhanced silica gel regeneration mechanism with the field synergy analysis of convective heat and mass transfer. In this work, the synergy degrees between the temperature and velocity field can be enlarged due to the ultrasonic mechanical effect. Cao et al. [33] conducted an investigation on flow and sound fields synergy to reveal the noise propagation mechanism in shell-and-tube heat exchangers. With numerical simulation and theoretical analysis, they found that noise can be reduced by increasing the synergetic effect between flow and sound fields. Wang et al. [34] conducted a heat transfer performance study of supercritical pressure CO2 in a vertical tube and extended field synergy principle to turbulent convective heat transfer in supercritical pressure fluid flows [35,36]. Zhang et al. [37] enhanced the microwave assisted regeneration of the porous diesel particulate filter with field synergy analyses. It can be also seen some other typical research works related to field synergy principle [38,39,40,41]. Overall, field synergy principle makes positive contributions to the development of convective heat transfer theory and the structural design of enhancement techniques.
Field synergy angle is an indicator of the synergetic effect between velocity vector and temperature gradient. In addition, it has been used to explain the mechanism of convective heat transfer enhancement successfully. However, analyzing the field synergy angle is not enough for the case where the Reynolds number is varied. From various previous works, it is found that both the mean synergy angle and the Nusselt number usually increase with the increase of Reynolds number [5]. Besides, in the fully developed laminar circular tube flow with constant wall heat flux, as the Reynolds number increases, the mean synergetic effect is deteriorated while the Nusselt number keeps constant. That is to say, the decrease of field synergy angle may not indicate a high Nusselt number when the velocity magnitude is varied. In addition, although the inlet mean velocity is specified as a constant, the local velocity magnitude may be different at different local point. Hence, analyzing the local synergy angle is not enough for describing the convective heat transfer intensity in the local area. Thus, it is necessary to continue an in-depth study on the mechanism of convective heat transfer enhancement and extend the field synergy principle.
In practical engineering, thermal boundary conditions are specified. The role of an enhancement technique is to change the magnitude and direction of the velocity so as to enhance the heat transfer between working fluid and heat transfer surface. Considering the significant effect of the velocity magnitude on convective heat transfer, it inspires the authors to combine local velocity magnitude and field synergy angle so as to describe the convective heat transfer intensity at a local point. Thus, a novel parameter called heat convection velocity is introduced in this paper and the heat convection velocity is defined as the projection of velocity vector on temperature gradient.
The following discussion is divided into five parts. The field synergy principle is firstly reviewed. Then, the heat convection velocity is introduced based on field synergy principle and the mechanism of convective heat transfer enhancement is studied theoretically. Next, the heat convection velocity is applied to explore the mechanism of convective heat transfer in a smooth circular tube. Subsequently, for enhancing the heat transfer in the smooth circular tube, an insert is invented and the heat convection velocity analysis is carried out to study the mechanism of convective heat transfer in the enhanced tube. In the last part, it gives some conclusions of this paper.
2. Field Synergy Principle
For a two-dimensional steady laminar boundary layer flow in Figure 1 [22], the energy equation is shown as
Figure 1.
The schematic of boundary flow over a plate.
With integrating the above energy equation along the thermal boundary thickness direction, it yields
where is the thermal boundary layer thickness.
Besides, some common dimensionless variables are defined as
Thus, with the non-dimensional treatment to Equation (2), it yields
where the local synergy angle of velocity and temperature gradient is defined as
It is shown in Equation (4) that convective heat transfer performance could be greatly enhanced with the increase of cosine value of synergy angle when the velocity magnitude and temperature gradient magnitude are specified. The synergy angle is an indicator of synergetic effect. The better synergy will lead to the larger Nusselt number. Field synergy principle emphasizes the synergy of two field quantities in the domain. Furthermore, field synergy principle implies three aspects of convective heat transfer enhancement [5,22]: (a) a small intersection angle between the velocity and temperature gradient; (b) simultaneously large local values of velocity and temperature gradient; (c) and uniform velocity and temperature profiles at the cross section.
The local synergy angle can be used to find the weak synergy region where an enhancement technique is needed. In addition, in the view point of the entire domain, the suggested integration mean synergy angle is defined as [5]
The mean synergy angle can be used to evaluate the overall synergetic effect. Meanwhile, with transforming Equation (4), another quantity named field synergy number, which also reflects synergetic effect of the entire domain, is defined as
Moreover, field synergy principle has been also extended and verified in complex elliptic flows recently [5]. In past works, most of the discussions about field synergy principle were around field synergy angle and synergetic effect. The analysis of field synergy angle is always under the condition of identical Reynolds number, due to the reason that it is not appropriate to compare convective heat transfer performance by field synergy angle when the Reynolds number is varied. However, as a matter of fact, for a heat transfer problem where the thermal boundary is specified, convective heat transfer performance is also dependent on velocity magnitude significantly and the Reynolds number may be varied. More importantly, the local velocity magnitude is varied at different local points in a domain. Thus, field synergy angle analysis is not enough and the velocity magnitude should be considered. Hence, it is necessary to carry out an in-depth study on the mechanism of convective heat transfer enhancement and extend field synergy principle.
3. Heat Convection Velocity
3.1. Definitions
As for convective heat transfer enhancement, there are two direct aspects. On the one hand, the velocity direction can be adjusted so as to improve the synergetic effect. On the other hand, the velocity magnitude can be increased to increase the intensity of synergetic effect. Considering that both the velocity magnitude and synergy angle are important, the authors propose a novel parameter that is the projection of velocity vector on the temperature gradient direction as depicted in Figure 2. This parameter is called heat convection velocity and reflects the magnitude of the velocity component that contributes to heat convection. It is mathematically defined as
Figure 2.
The definition of heat convection velocity.
Besides, the mean heat convection velocity of the whole domain can be defined as
The method of increasing the mean heat convection velocity is to increase the velocity and to decrease the synergy angle in the region where the temperature gradient module is high.
On account of that the increase of heat convection velocity directly leads to a larger heat convection term in the energy equation, the heat convection velocity is related to the heat convection intensity. Thus, based on the heat convection velocity, another parameter named heat convection intensity is defined as
In order to describe the overall heat convection intensity, the mean heat convection intensity is defined as
It is worth noting that the unit of heat convection intensity is the same as that of heat transfer coefficient. Both of them can be used as indicators to describe convective heat transfer performance. However, the heat convection intensity is different from the heat transfer coefficient. The heat convection intensity only represents the contribution of fluid flow to heat transfer. And the mathematical relationship between the two parameters is derived with analyzing typical cases in Section 3.2.
In addition, referring to the definition of Stanton number, this paper proposes a new parameter named heat convection intensity factor that measures the ratio of the mean heat convection intensity to the heat capacity of the fluid. As is known, the heat capacity of the fluid is given as , where is the mean inlet velocity that is also used to calculate the Reynolds number. Thus, the expression of heat convection intensity factor (HCIF) can be written as
When heat transfer enhancement technique is used, fluid disturbance is generated. The heat convection intensity factor can be used to evaluate whether the disturbance is conducive to convective heat transfer or not. When the heat convection intensity factor increases more, the heat transfer is enhanced more, which indicates that the imposed disturbance is more efficient. Moreover, the heat convection intensity factor can be regarded as a criterion for the evaluation of convective heat transfer degree. When the heat convection intensity factor is large, the convective heat transfer degree is high, which means that the potential of heat transfer enhancement is less.
3.2. Theoretical Analyses with Heat Convection Velocity
In order to research the mechanism of convective heat transfer enhancement, this paper takes three typical cases of convective heat transfer into consideration. These cases are boundary layer flow, duct flow, and closed cavity flow, respectively. The relationship between Nusselt number and heat convection velocity will be derived in the following.
3.2.1. Case 1: Boundary Layer Flow
The boundary layer flow is depicted in Figure 1. Substituting the equation into Equation (4), it yields
Now, with substituting the definition expression of heat convection velocity in Equation (8) into Equation (13), it yields
According to the definition of mean heat convection velocity in Equation (9), Equation (14) can be transformed as
With dimensional analysis, it can be known that the gradient can be neglected compared with the gradient in the boundary layer. Thus, it yields
Substituting Equation (16) into Equation (15), the relationship between the heat convection velocity and Nusselt number becomes
In addition, comparing Equation (17) with Equation (11), it can be obtained as
It is shown in Equation (17) that the Nusselt number is proportional to the mean heat convection velocity in the boundary layer flow. That is to say, the method that improves the local heat convection velocity is conducive to convective heat transfer enhancement. Therefore, improving the heat convection velocity is an effective means to enhance convective heat transfer.
On the other hand, the Nusselt number is defined as
Thus, the relationship between heat transfer coefficient and mean heat convection velocity can be expressed as
It indicates that the units of heat convection intensity and heat transfer coefficient are consistent. In particular, in boundary layer flows, the mean heat convection intensity is equal to the heat transfer coefficient.
3.2.2. Case 2: Duct Flow
The schematic of duct flow with heat transfer is depicted in Figure 3. The duct is consisted of an inlet, an outlet, and a heat transfer surface. After passing through the duct from the inlet to the outlet, the cold fluid turns to be hot fluid. Neglecting the viscous dissipation, the energy equation without source term can be written as
Figure 3.
The schematic of duct flow.
With integrating Equation (21) in the domain, it yields
Neglecting the sum of inlet and outlet heat conduction, it yields
On the other hand, the Newton cooling formula is expressed as
where is the area of the heat transfer surface.
Thus, according to Equation (23) and Equation (24), the heat transfer coefficient can be expressed as
Substituting the expression of mean heat convection velocity in Equation (9) into Equation (25), it is obtained as
Besides, Equation (26) can be also written as
In Equation (27), for a given duct with irregular cross section, the hydraulic diameter is defined as
where and are the area and perimeter of a given cross section, respectively.
The dimensionless temperature gradient can be defined as
Thus, the heat transfer coefficient can be expressed as
In the duct flow, the Nusselt number is defined as . Thus, the Nusselt number can be expressed as
As is shown in Equation (31), in order to increase the Nusselt number, there are two methods that are increasing the heat convection velocity and increasing the dimensionless temperature gradient. Due to the fact that the temperature boundary is specified, the integration of dimensionless temperature gradient will not change much. Thus, the most direct and efficient way to enhance convective heat transfer in the duct is to increase the mean heat convection velocity. That is to say, increasing the heat convection velocity is conducive to convective heat transfer in duct flow.
3.2.3. Case 3: Closed Cavity Flow
As depicted in Figure 4, the fluid absorbs heat from the hot wall and then releases an equal amount of heat on the cold wall. The transferred heat can be expressed as
Figure 4.
The schematic of closed cavity flow.
Integrating the energy equation in the domain , it yields
Substituting the expression of heat convection velocity into Equation (33), it yields
Now, comparing Equation (34) with Equation (32), it is obtained as
When the heat convection is intense enough at the , the heat conduction can be neglected. Thus, the heat transfer coefficient can be expressed as
The dimensionless temperature gradient is defined as
Thus, the Nusselt number can be expressed as
Similar to the analysis in the duct flow, it is known from Equation (38) that the increase of heat convection velocity is conducive to the heat transfer enhancement.
3.3. The Meaning of Heat Convection Velocity
Firstly, heat convection velocity is an extension of the field synergy principle. It is defined as the projection of the velocity vector on the temperature gradient vector, which is the effective velocity that is conducive to heat convection. A larger heat convection velocity demands a smaller synergy angle and a larger velocity magnitude. In this way, field synergy analysis is extended to the study of heat convection intensity, not just that of field synergy angle. Thus, field synergy analysis is also applicable when the velocity magnitude is varied.
Secondly, the heat convection intensity is proportional to the heat convection velocity. When the heat convection velocity is reduced to zero, the convection term of energy equation becomes zero, indicating that there is no heat convection. The heat convection velocity can be used to find the local areas where the heat convection intensity is weak. And heat transfer enhancement techniques can be designed to amplify the heat convection velocity so as to enhance the heat transfer in these areas, which is helpful to improve the design efficiency.
Thirdly, as shown in Equation (17), Equation (31), and Equation (38), the Nusselt number can be enhanced by increasing the mean heat convection velocity and the dimensionless mean temperature difference. Thus, the mechanism of convective heat transfer enhancement is to increase the mean heat convection velocity and the dimensionless mean temperature difference. Besides, increasing the mean heat convection velocity can be regarded as an efficient method for convective heat transfer enhancement. That is to say, the overall synergetic effect should be improved. In addition, the heat convection velocity can be also amplified by increasing the local velocity in the boundary region where the temperature gradient is always large. In other words, the fluid with lower temperature gradient should be guided to the region where the temperature gradient is higher. Moreover, when the temperature gradient is always larger than zero or less than zero, the term will reach minimum, which is not benefit for heat transfer enhancement. In order to increase the dimensionless mean temperature difference, the term should be amplified. Obviously, an effective method is to adjust the temperature gradient to be sometimes larger than zero and sometimes less than zero in the cross section. In other words, the temperature distribution should be an interphase distribution of hot and cold fluid.
Fourthly, the heat convection intensity factor can be used to describe the enhancement degree of the current heat transfer enhancement technique. If the heat transfer intensity factor is small, there is much potential of heat transfer enhancement. It is necessary to invent other more efficient heat transfer enhancement techniques for this case.
4. Application in Smooth Circular Tube
In this part, this paper concentrates on the study of the relationship between the Nusselt number and heat convection intensity in the smooth tube. The heat convection velocity is used to explore and explain the mechanism of the variation of Nusselt number in the smooth tube. In addition, with mathematical analysis, the heat convection intensity factor is also investigated in the smooth tube.
The circular tube is one of the commonly used heat transfer units in the industry. The schematic of the simulation model is depicted in Figure 5. In the circular tube, the Reynolds number is expressed as
where is the mass flow rate of a given cross section.
Figure 5.
The schematic of the smooth circular tube.
The Nusselt number is expressed as
where is the mean temperature difference between wall and fluid.
The friction factor is defined as
Besides, the thermal physical parameters of working fluids are listed in Table 1.
Table 1.
Thermal physical parameters of working fluid.
The Reynolds number ranges from 300 to 1800, and the tube flow is laminar flow. Besides, the constant wall temperature boundary and constant wall heat flux boundary are imposed on the tube wall, respectively. On this basis, both the entrance region and the fully developed region are discussed respectively. The overall simulation is carried out based on the commercial software FLUENT 16.0. The grid of the computational domain is generated by the commercial software Gambit 2.4.6. And the grid is dense and independent. The finite volume formulation is used to discretize the governing conservation equations with second order discretization scheme for pressure and second order upwind discretization scheme for energy and momentum. The SIMPLE algorithm [42,43,44] is used to solve the puzzle of pressure-velocity coupling. When the relative energy residual value is less than 10-8 as well as others are less than 10−6 or all relative residual values keep constant, the calculation is considered to be converged at the proper results.
4.1. Results Verification
It is necessary to verify the simulation results accuracy before results discussion. The verification method is to compare the numerical results with the corresponding theoretical values in the fully developed laminar flow. In this paper, Nusselt number and friction factor are selected as verification indicators. The working fluid is chosen as water, and the numerical results are taken from the fully developed region of a 20 mm diameter circular tube. The theoretical Nusselt number and friction factor are given in Reference [45]. As is depicted in Figure 6, the computational results agree well with the theoretical formulas. It demonstrates that the present computational solution is accurate enough.
Figure 6.
The results verification for the smooth circular tube.
4.2. Fully Developed Tube Flow
The numerical results are taken from the fully developed region of a 20 mm diameter circular tube with choosing working fluid as water. As is shown in Figure 7, the Nusselt number keeps almost unchanged with the increase of Reynolds number in the fully developed laminar flow, no matter with imposing constant heat flux boundary or constant wall temperature boundary. It means that the heat transfer performance is not improved with increasing the Reynolds number. In order to explore the original reason, the variation of mean heat convection intensity is also displayed in Figure 7. The heat convection intensity also keeps unchanged as the Reynolds number increases, which indicates that the heat convection velocity is not increased as the inlet mean velocity increases. In other words, the increased velocity has no contribution to convective heat transfer due to the unchanged heat convection velocity. Thus, the Nusselt number remains unchanged in the fully developed laminar flow even though the Reynolds number increases. In addition, the heat convection intensity under the constant heat flux boundary is more intense than that under the constant wall temperature, which leads to a larger Nusselt number under the constant heat flux boundary.
Figure 7.
The variation of Nusselt number and heat convection intensity of the fully developed tube flow.
4.3. Developing Entrance Flow
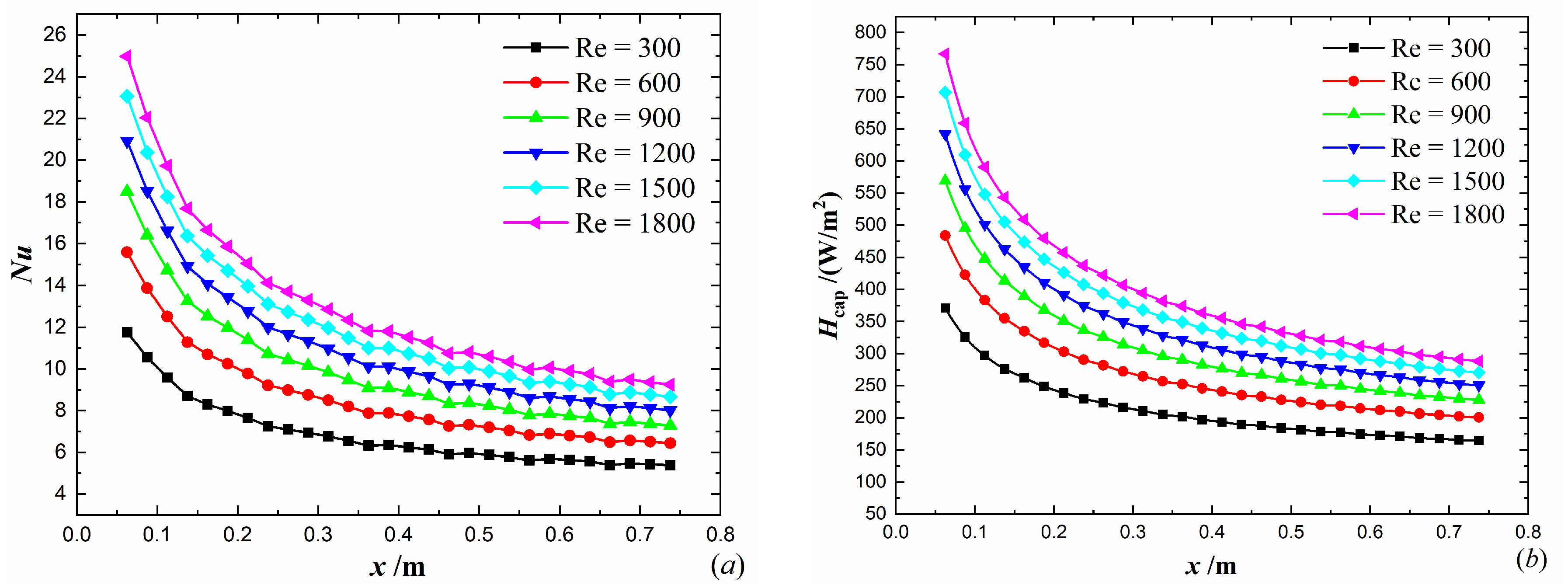
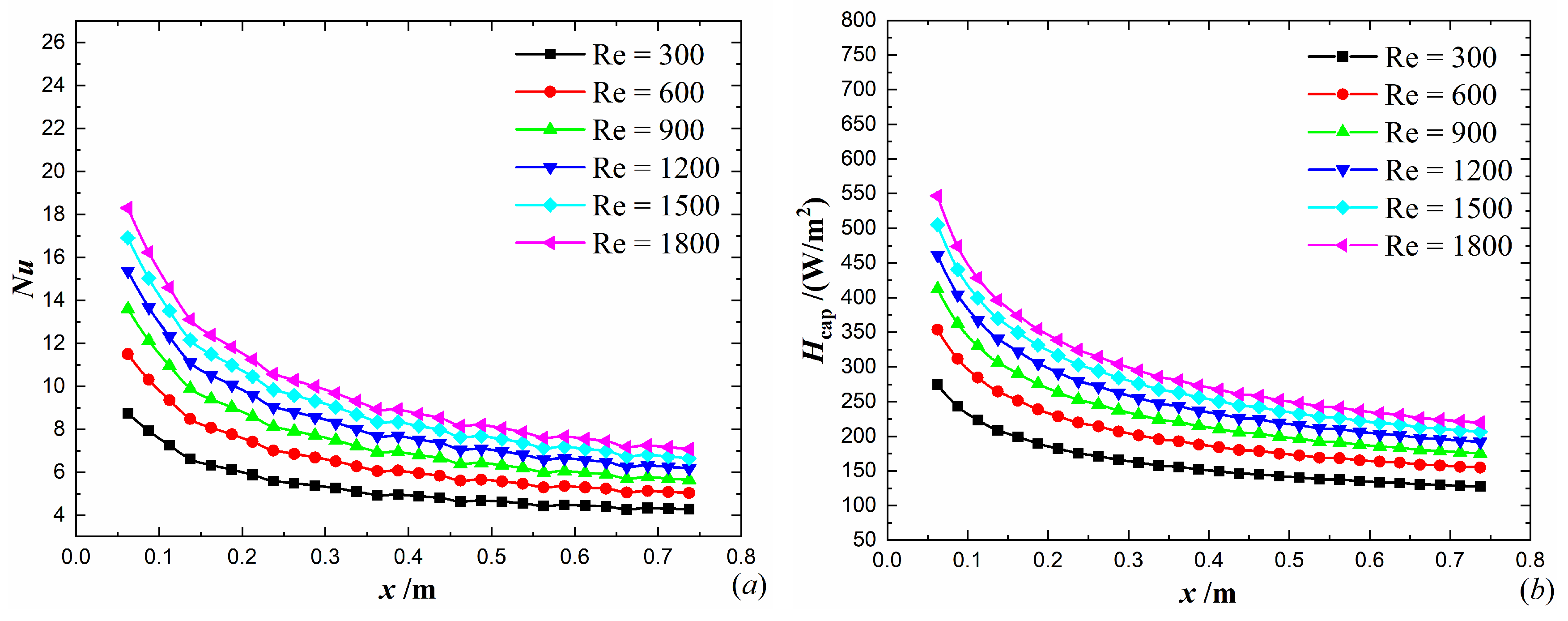
The numerical results of the developing entrance flow are taken from an 800 mm long circular tube where the uniform velocity and temperature are specified at the inlet. The diameter is 20 mm, and water is selected as the working fluid. As is shown in Figure 8a and Figure 9a, the Nusselt number decreases along the flow direction of the circular tube at an identical Reynolds number. The reason is attributed to the variation of heat convection velocity. At the inlet, the temperature and velocity are both specified as uniform value, which leads to a better synergetic effect and a larger heat convection velocity. Along the flow direction, the synergetic effect is deteriorated so that the heat convection velocity is decreased, which causes the decrease of Nusselt number. Besides, as the Reynolds number increases, the inlet mean velocity is increased so that the heat convection velocity is increased in the developing entrance flow region, which leads to a larger Nusselt number. In addition, the variation of Nusselt number is similar to that of heat convection intensity. It demonstrates that the increase of heat convection velocity is conducive to the increase of Nusselt number.
Figure 8.
The variation of Nusselt number (a) and heat convection intensity (b) along the tube under the constant heat flux boundary.
Figure 9.
The variation of Nusselt number (a) and heat convection intensity (b) along the tube under the constant wall temperature boundary.
4.4. Heat Convection Intensity Factor
A smaller heat convention intensity factor indicates that the heat transfer enhancement technique is more urgently needed for the present heat transfer unit. It is a meaningful work to study the heat convection intensity factor and search for the corresponding influence factors in the smooth tube. For the sake of convenience, the fully developed laminar circular tube is taken into consideration, and the constant heat flux thermal boundary is imposed on the tube wall.
Neglecting the sum of inlet and outlet heat conduction, it yields
where is the heat flux imposed on the tube wall.
Besides, the denominator of the mean heat convection velocity can be expressed as
where , , and are temperature gradients. Referring to Refs. [45,46,47], their expressions are given as
Thus, it yields
With introducing dimensionless parameter , it yields
When is large, it yields
Hence, the Equation (48) can be simplified as
The mean heat convection velocity is expressed as
Thus, the heat convection intensity factor of the fully developed laminar circular tube with imposing constant heat flux on the wall can be expressed as
The similar result can be obtained when the constant wall temperature thermal boundary is imposed on the tube wall. And when the Prandtl number and Reynolds number are specified, the heat convection intensity factor is less than that under the constant heat flux boundary. As a result, the heat convection intensity factor of the smooth tube is at least related to the boundary condition, Prandtl number, and Reynolds number. With the increase of Reynolds number and Prandtl number, the heat convection intensity factor may be decreased. It means that the heat transfer enhancement technique could be more necessary when Reynolds number and Prandtl number increase.
5. Application in Heat Transfer Enhancement Tube
It is still a big challenge till now to invent an efficient heat transfer enhancement structure that can harvest high heat transfer performance with moderate flow resistance. In this part, the heat convection velocity is applied to guide the design of the heat transfer enhancement technique in the circular tube. Then, the thermal hydraulic performance is investigated. Furthermore, the enhancement mechanism will be also explored with heat convection velocity analysis.
In addition, the evaluation criterion R3 [48] is an indicator of overall thermal hydraulic performance at an identical pump power consumption, which is defined as
where is the Nusselt number of the smooth tube at the equivalent Reynolds number . Given a constant pump power consumption, the equivalent Reynolds number can be calculated with
The relationship between and is given as
In order to evaluate the resistance reduction performance, the criterion EEC is adopted and defined as
The following numerical results are taken from the stable region of a long tube. The inlet velocity and temperature profiles are taken from the results of the corresponding periodic simulation. In addition, the numerical method is verified in the above section.
5.1. Structure Design
According to the theoretical analysis of heat convection velocity, the heat transfer enhancement technique should satisfy three points: (a) the overall synergetic effect should be improved so as to enlarge the mean heat convection velocity; (b) the fluid with low temperature gradient in the core flow region should be guided to the boundary region where the temperature gradient is high so that the mean heat convection velocity can be improved; (c) temperature distribution should be an interphase distribution of hot and cold fluid so as to increase the dimensionless temperature difference.
According to the previous works [10,11,12,13], it is gratifying that the longitudinal swirl flow can be generated and bring in moderate flow resistance when the incoming fluid passes by an inclined rod or plate. Thus, a new insert is proposed as depicted in Figure 10. The inserts are wedge shaped plates and mounted on a long rod. This structure can be easily manufactured by 3D printing technology. The longitudinal swirl flow can be generated to improve the overall synergetic effect so as to enlarge the mean heat convection velocity in the circular tube. Besides, the core flow can be guided to scour the wall, which increases the velocity magnitude in the boundary region and enlarges the mean heat convection velocity. In addition, the dimensionless temperature difference may be increased due to the exchange of cold and hot fluid.
Figure 10.
The schematic of the inserts in the circular tube.
5.2. Thermal Hydraulic Performance Evaluation
The thermal hydraulic performance of the enhanced tube is investigated when different boundary condition and different working fluid are chosen. In Figure 11, with selecting water as the working fluid, it is depicted the variation of thermal hydraulic performance with the increase of Reynolds number when two typical kinds of thermal boundaries are respectively specified at the tube wall. It is found that the enhanced thermal performance is better with the thermal boundary condition of constant wall temperature at an identical Reynolds number. It is depicted in Figure 12 that the thermal hydraulic performance is varied with selecting different working fluid. In order to investigate the effect of working fluid on the enhanced performance, the thermal boundary condition at the tube wall is specified as constant wall temperature, and the working fluid is selected as water, oil, and air, respectively. As seen in Figure 12, the thermal hydraulic performance is the best when selecting oil as working fluid, and the thermal hydraulic performance is the worst when selecting air as working fluid. It is also shown in Figure 11 and Figure 12 that both R3 and EEC are higher and larger than 1 in most cases, which indicates that the design of the present inserts is effective. The mechanism analysis of heat transfer enhancement will be carried out in the following.
Figure 11.
Thermal hydraulic performance with different boundary condition: (a) The enhanced ratios and ; (b) The evaluation criteria R3 and EEC.
Figure 12.
Thermal hydraulic performance with different working fluid: (a) The enhanced ratios and ; (b) The evaluation criteria R3 and EEC.
5.3. Heat Convection Velocity Analysis
According to Equation (31), the Nusselt number of the circular tube can be expressed as
where is the dimensionless mean temperature difference in the circular tube.
Thus, the enhanced ratio of Nusselt number is expressed as
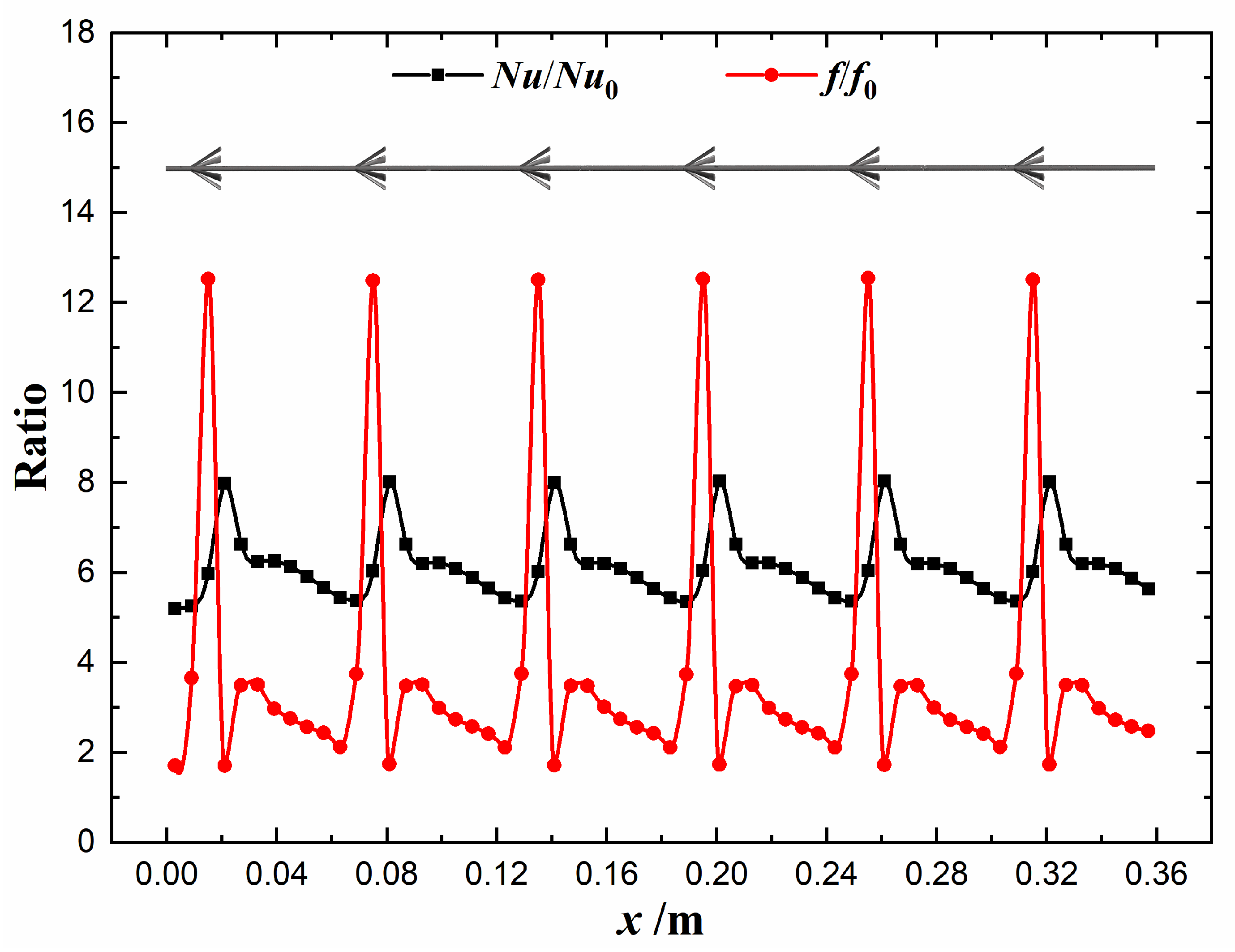
As is shown in Equation (59), there are two aspects for enhancing the Nusselt number. One is to increase the mean heat convection intensity, the other is to form suitable temperature distribution so as to increase the dimensionless mean temperature difference. The enhanced ratios of , , and at Re = 600 are depicted in Figure 13, Figure 14, and Figure 15, respectively. Water is selected as the working fluid, and the constant wall temperature thermal boundary condition is specified at the tube wall. As is shown, the mean heat convection intensity is enhanced much more than the dimensionless mean temperature difference, which indicates that the improvement of Nusselt number is mainly due to the enhancement of the mean heat convection intensity. Besides, the tangential velocity distributions at four cross sections are displayed in Figure 14. It indicates that the longitudinal swirl flow is generated in the circular tube, which leads to the increase of heat convection intensity. In addition, the temperature distributions at the corresponding cross sections are displayed in Figure 15. It indicates that the interphase arrangement of hot and cold fluids is conducive to the enhancement of dimensionless mean temperature difference.
Figure 13.
The variation of − and along the tube at Re = 600.
Figure 14.
The variation of along the tube at Re = 600.
Figure 15.
The variation of along the tube at Re = 600.
In short, the enhanced Nusselt number is owing to two reasons. On the one hand, the longitudinal swirl flow increases the heat convection intensity. On the other hand, the temperature distribution leads to the increase of dimensionless mean temperature difference.
The heat convection intensity factors are depicted in Figure 16. Obviously, the heat convection intensity factor of the enhanced tube is larger than that of smooth tube at an identical Reynolds number. The main reason is that the heat convection velocity in the enhanced tube is increased because of efficient disturbance. Under the condition of applying the same heat transfer enhancement techniques, when the heat convection intensity factor of smooth tube is smaller, the ratio of heat convection intensity factor of the enhanced tube to that of the smooth tube may be larger, which indicates that the heat transfer may be enhanced more significantly. On the other hand, when the heat convection intensity factor of the smooth tube is small, the convective heat transfer degree is low, which means that the potential of heat transfer enhancement is large. As depicted in Figure 16a, when specifying constant wall temperature thermal boundary at the tube wall, the heat convection intensity of the smooth tube is smaller compared with specifying constant heat flux boundary at the tube wall, which reveals the reason that the enhanced times of heat transfer performance is higher under constant wall temperature boundary condition. Similarly, in Figure 16b, when the working fluid is selected as oil, the heat convection intensity factor of the smooth tube is the smallest so that the corresponding enhanced heat transfer performance is the best. In addition, though the heat transfer enhancement technique is used, the heat convection intensity factor is still small. It means that there is still much potential of enhancing convective heat transfer by increasing the heat convection velocity. Thus, the key point of heat transfer enhancement should be placed on increasing the mean heat convection velocity.
Figure 16.
The comparison of heat convection intensity factor (a) in different boundary conditions and (b) with different working fluids between enhanced tube and smooth tube.
6. Conclusions
A new parameter called heat convection velocity is proposed based on field synergy principle in this paper. It is the velocity projection on the temperature gradient. Thus, the mechanism of convective heat transfer enhancement is explored in a new perspective. With the analysis of heat convection velocity, some conclusions are given as follows:
- The mechanism of convective heat transfer enhancement is to increase the mean heat convection intensity and the dimensionless mean temperature difference. The key point of heat transfer enhancement should be placed on increasing the mean heat convection intensity. The heat convection intensity is proportional to heat convection velocity. The heat convection velocity can be increased by reducing the synergy angle and increasing the velocity magnitude. The heat convection intensity factor can be regarded as a criterion for the evaluation of convective heat transfer enhancement degree.
- The heat transfer enhancement technique should satisfy three points: (a) the overall synergetic effect should be improved so as to enlarge the mean heat convection velocity; (b) the fluid with lower temperature gradient in the core flow region should be guided to the boundary region where the temperature gradient is higher so that the mean heat convection velocity can be improved; (c) the temperature field should be an interphase distribution of cold and hot fluid so as to increase the dimensionless temperature difference.
- No matter whether constant wall temperature or constant heat flux is specified at the circular tube wall, the variation of mean heat transfer intensity is similar to that of Nusselt number in the laminar flow. As for the laminar flow in the smooth circular tube, the heat convection intensity factor is smaller under the conditions of constant wall temperature, high Prandtl number and high Reynolds number.
Author Contributions
This work is completed by H.X. and Z.D. under the supervision of R.L., K.Y., and F.Y.
Funding
This research received no external funding.
Acknowledgments
In this section you can acknowledge any support given which is not covered by the author contribution or funding sections.
Conflicts of Interest
The authors declare no conflict of interest.
References
- Sheikholeslami, M.; Gorji-Bandpy, M.; Ganji, D.D. Review of heat transfer enhancement methods: Focus on passive methods using swirl flow devices. Renew. Sustain. Energy Rev. 2015, 49, 444–469. [Google Scholar] [CrossRef]
- Zhou, M.; Alexandersen, J.; Sigmund, O.; Pedersen, C.B. Industrial application of topology optimization for combined conductive and convective heat transfer problems. Struct. Multidiscip. Optim. 2016, 54, 1045–1060. [Google Scholar] [CrossRef]
- Kassai, M.; Simonson, C.J. Performance investigation of liquid-to-air membrane energy exchanger under low solution/air heat capacity rates ratio conditions. Build. Serv. Eng. Res. Technol. 2014, 36, 535–545. [Google Scholar] [CrossRef]
- Bergles, A.E.; Manglik, R.M. Current progress and new developments in enhanced heat and mass transfer. J. Enhanc. Heat Transf. 2013, 20, 1–15. [Google Scholar] [CrossRef]
- He, Y.L.; Tao, W.Q. Chapter Three—Convective Heat Transfer Enhancement: Mechanisms, Techniques, and Performance Evaluation. In Advances in Heat Transfer; Sparrow, E.M., Abraham, J., Gorman, J., Cho, Y., Eds.; Elsevier: Amsterdam, The Netherlands, 2014; Volume 46, pp. 87–186. [Google Scholar]
- Tao, W.-Q.; He, Y.-L.; Chen, L. A comprehensive review and comparison on heatline concept and field synergy principle. Int. J. Heat Mass Transf. 2019, 135, 436–459. [Google Scholar] [CrossRef]
- Liu, S.; Sakr, M. A comprehensive review on passive heat transfer enhancements in pipe exchangers. Renew. Sustain. Energy Rev. 2013, 19, 64–81. [Google Scholar] [CrossRef]
- Promvonge, P.; Changcharoen, W.; Kwankaomeng, S.; Thianpong, C. Numerical heat transfer study of turbulent square-duct flow through inline V-shaped discrete ribs. Int. Commun. Heat Mass Transf. 2011, 38, 1392–1399. [Google Scholar] [CrossRef]
- Jin, Y.; Tang, G.-H.; He, Y.-L.; Tao, W.-Q. Parametric study and field synergy principle analysis of H-type finned tube bank with 10 rows. Int. J. Heat Mass Transf. 2013, 60, 241–251. [Google Scholar] [CrossRef]
- Liu, W.; Liu, P.; Wang, J.B.; Zheng, N.B.; Liu, Z.C. Exergy destruction minimization: A principle to convective heat transfer enhancement. Int. J. Heat Mass Transf. 2018, 122, 11–21. [Google Scholar] [CrossRef]
- Liu, P.; Zheng, N.; Liu, Z.; Liu, W. Thermal-hydraulic performance and entropy generation analysis of a parabolic trough receiver with conical strip inserts. Energy Convers. Manag. 2019, 179, 30–45. [Google Scholar] [CrossRef]
- Tu, W.; Wang, Y.; Tang, Y. A numerical study on thermal-hydraulic characteristics of turbulent flow through a circular tube fitted with pipe inserts. Appl. Therm. Eng. 2016, 101, 413–421. [Google Scholar] [CrossRef]
- Zheng, N.; Liu, P.; Shan, F.; Liu, J.; Liu, Z.; Liu, W. Numerical studies on thermo-hydraulic characteristics of laminar flow in a heat exchanger tube fitted with vortex rods. Int. J. Therm. Sci. 2016, 100, 448–456. [Google Scholar] [CrossRef]
- Huang, Z.F.; Nakayama, A.; Yang, K.; Yang, C.; Liu, W. Enhancing heat transfer in the core flow by using porous medium insert in a tube. Int. J. Heat Mass Transf. 2010, 53, 1164–1174. [Google Scholar] [CrossRef]
- Yu, B.; Liu, W. Fractal analysis of permeabilities for porous media. AIChE J. 2004, 50, 46–57. [Google Scholar] [CrossRef]
- Ghorbani, N.; Taherian, H.; Gorji, M.; Mirgolbabaei, H. Experimental study of mixed convection heat transfer in vertical helically coiled tube heat exchangers. Exp. Therm. Fluid Sci. 2010, 34, 900–905. [Google Scholar] [CrossRef]
- Khairul, M.A.; Hossain, A.; Saidur, R.; Alim, M.A. Prediction of heat transfer performance of CuO/water nanofluids flow in spirally corrugated helically coiled heat exchanger using fuzzy logic technique. Comput. Fluids 2014, 100, 123–129. [Google Scholar] [CrossRef]
- Liu, W.; Liu, Z.C.; Jia, H.; Fan, A.W.; Nakayama, A. Entransy expression of the second law of thermodynamics and its application to optimization in heat transfer process. Int. J. Heat Mass Transf. 2011, 54, 3049–3059. [Google Scholar] [CrossRef]
- Guo, Z.Y.; Li, D.Y.; Wang, B.X. A novel concept for convective heat transfer enhancement. Int. J. Heat Mass Transf. 1998, 41, 2221–2225. [Google Scholar] [CrossRef]
- Kimura, S.; Bejan, A. The “Heatline” Visualization of Convective Heat Transfer. J. Heat Transf. 1983, 105, 916–919. [Google Scholar] [CrossRef]
- Tao, W.-Q.; Guo, Z.-Y.; Wang, B.-X. Field synergy principle for enhancing convective heat transfer––Its extension and numerical verifications. Int. J. Heat Mass Transf. 2002, 45, 3849–3856. [Google Scholar] [CrossRef]
- Guo, Z.Y.; Tao, W.Q.; Shah, R.K. The field synergy (coordination) principle and its applications in enhancing single phase convective heat transfer. Int. J. Heat Mass Transf. 2005, 48, 1797–1807. [Google Scholar] [CrossRef]
- Liu, W.; Liu, Z.; Ming, T.; Guo, Z. Physical quantity synergy in laminar flow field and its application in heat transfer enhancement. Int. J. Heat Mass Transf. 2009, 52, 4669–4672. [Google Scholar] [CrossRef]
- Liu, W.; Liu, Z.; Huang, S. Physical quantity synergy in the field of turbulent heat transfer and its analysis for heat transfer enhancement. Chin. Sci. Bull. 2010, 55, 2589–2597. [Google Scholar] [CrossRef]
- Liu, W.; Liu, P.; Dong, Z.M.; Yang, K.; Liu, Z.C. A study on the multi-field synergy principle of convective heat and mass transfer enhancement. Int. J. Heat Mass Transf. 2019, 134, 722–734. [Google Scholar] [CrossRef]
- Kuo, J.-K.; Chen, C.o.-K. Evaluating the enhanced performance of a novel wave-like form gas flow channel in the PEMFC using the field synergy principle. J. Power Sources 2006, 162, 1122–1129. [Google Scholar] [CrossRef]
- Wu, J.M.; Tao, W.Q. Investigation on laminar convection heat transfer in fin-and-tube heat exchanger in aligned arrangement with longitudinal vortex generator from the viewpoint of field synergy principle. Appl. Therm. Eng. 2007, 27, 2609–2617. [Google Scholar] [CrossRef]
- Naik, H.; Harikrishnan, S.; Tiwari, S. Numerical investigations on heat transfer characteristics of curved rectangular winglet placed in a channel. Int. J. Therm. Sci. 2018, 129, 489–503. [Google Scholar] [CrossRef]
- Harikrishnan, S.; Tiwari, S. Heat transfer characteristics of sinusoidal wavy channel with secondary corrugations. Int. J. Therm. Sci. 2019, 145, 105973. [Google Scholar] [CrossRef]
- Hamid, M.O.A.; Zhang, B. Field synergy analysis for turbulent heat transfer on ribs roughened solar air heater. Renew. Energy 2015, 83, 1007–1019. [Google Scholar] [CrossRef]
- Li, Y.; Liu, G.; Rao, Z.; Liao, S. Field synergy principle analysis for reducing natural convection heat loss of a solar cavity receiver. Renew. Energy 2015, 75, 257–265. [Google Scholar] [CrossRef]
- Yao, Y.; Wang, W.; Yang, K. Mechanism study on the enhancement of silica gel regeneration by power ultrasound with field synergy principle and mass diffusion theory. Int. J. Heat Mass Transf. 2015, 90, 769–780. [Google Scholar] [CrossRef]
- Cao, Y.; Ke, H.; Lin, Y.; Zeng, M.; Wang, Q. Investigation on the flow noise propagation mechanism in pipelines of shell-and-tube heat exchangers based on synergy principle of flow and sound fields. Appl. Therm. Eng. 2017, 122, 339–349. [Google Scholar] [CrossRef]
- Wang, Z.-C.; Jiang, P.-X.; Xu, R.-N. Turbulent Convection Heat Transfer Analysis of Supercritical Pressure CO2 Flow in a Vertical Tube Based on the Field Synergy Principle. Heat Transf. Eng. 2019, 40, 476–486. [Google Scholar] [CrossRef]
- Kassai, M. Experimental investigation of carbon dioxide cross-contamination in sorption energy recovery wheel in ventilation system. Build. Serv. Eng. Res. Technol. 2017, 39, 463–474. [Google Scholar] [CrossRef]
- Cai, C.; Wang, X.; Mao, S.; Kang, Y.; Lu, Y.; Han, X.; Liu, W. Heat Transfer Characteristics and Prediction Model of Supercritical Carbon Dioxide (SC-CO2) in a Vertical Tube. Energies 2017, 10, 1870. [Google Scholar] [CrossRef]
- Jiaqiang, E.; Zhao, X.; Xie, L.; Zhang, B.; Chen, J.; Zuo, Q.; Han, D.; Hu, W.; Zhang, Z. Performance enhancement of microwave assisted regeneration in a wall-flow diesel particulate filter based on field synergy theory. Energy 2019, 169, 719–729. [Google Scholar] [CrossRef]
- Tian, L.-T.; He, Y.-L.; Lei, Y.-G.; Tao, W.-Q. Numerical study of fluid flow and heat transfer in a flat-plate channel with longitudinal vortex generators by applying field synergy principle analysis. Int. Commun. Heat Mass Transf. 2009, 36, 111–120. [Google Scholar] [CrossRef]
- Xiao, H.; Wang, J.; Liu, Z.; Liu, W. Turbulent heat transfer optimization for solar air heater with variation method based on exergy destruction minimization principle. Int. J. Heat Mass Transf. 2019, 136, 1096–1105. [Google Scholar] [CrossRef]
- Guo, J.; Fan, A.; Zhang, X.; Liu, W. A numerical study on heat transfer and friction factor characteristics of laminar flow in a circular tube fitted with center-cleared twisted tape. Int. J. Therm. Sci. 2011, 50, 1263–1270. [Google Scholar] [CrossRef]
- Zhang, X.; Liu, Z.; Liu, W. Numerical studies on heat transfer and flow characteristics for laminar flow in a tube with multiple regularly spaced twisted tapes. Int. J. Therm. Sci. 2012, 58, 157–167. [Google Scholar] [CrossRef]
- Patankar, S.V. Numerical Heat Transfer and Fluid Flow; Phillips, M.A., Millman, E.M., Eds.; Hemisphere: Washington, DC, USA, 1980. [Google Scholar]
- Van Doormaal, J.P.; Raithby, G.D. Enhancements Of the Simple Method for Predicting Incompressible Fluid Flows. Numer. Heat Transf. 1984, 7, 147–163. [Google Scholar] [CrossRef]
- Xiao, H.; Wang, J.; Liu, Z.; Liu, W. A consistent SIMPLE algorithm with extra explicit prediction—SIMPLEPC. Int. J. Heat Mass Transf. 2018, 120, 1255–1265. [Google Scholar] [CrossRef]
- Holman, J. Heat Transfer, 10th ed.; McGraw-Hill: Boston, MA, USA, 2010. [Google Scholar]
- Ghiaasiaan, S.M. Convective Heat and Mass Transfer; Cambridge University Press: Cambridge, UK, 2011. [Google Scholar]
- Bejan, A. Convection Heat Transfer; John Wiley & Sons: Hiboken, NJ, USA, 2013. [Google Scholar]
- Deshmukh, P.W.; Prabhu, S.V.; Vedula, R.P. Heat transfer enhancement for laminar flow in tubes using curved delta wing vortex generator inserts. Appl. Therm. Eng. 2016, 106, 1415–1426. [Google Scholar] [CrossRef]
© 2019 by the authors. Licensee MDPI, Basel, Switzerland. This article is an open access article distributed under the terms and conditions of the Creative Commons Attribution (CC BY) license (http://creativecommons.org/licenses/by/4.0/).















