Analytical and Numerical Analysis of the Dynamics of a Moonpool Platform–Wave Energy Buoy (MP–WEB)
Abstract
:1. Introduction
2. Analytical Solution of MP–WEB in the Frequency Domain
2.1. Boundary Condition
2.2. Wave Force
- Fluid subdomain , whose diffraction and radiation velocity potential are and respectively;
- Fluid subdomain , whose diffraction and radiation velocity potential are and respectively;
- Fluid subdomain , whose diffraction and radiation velocity potential are and respectively;
- Fluid subdomain , whose diffraction and radiation velocity potential are and respectively.
2.3. Added Mass and Damping Coefficients
2.4. Dynamic Characteristic in The Frequency Domain
2.5. Optimize Power Take Off (OPT)
3. Dynamic Characteristic Analyses of the MP–WEB in Frequency Domain Analysis
3.1. Verification for the Solution Method
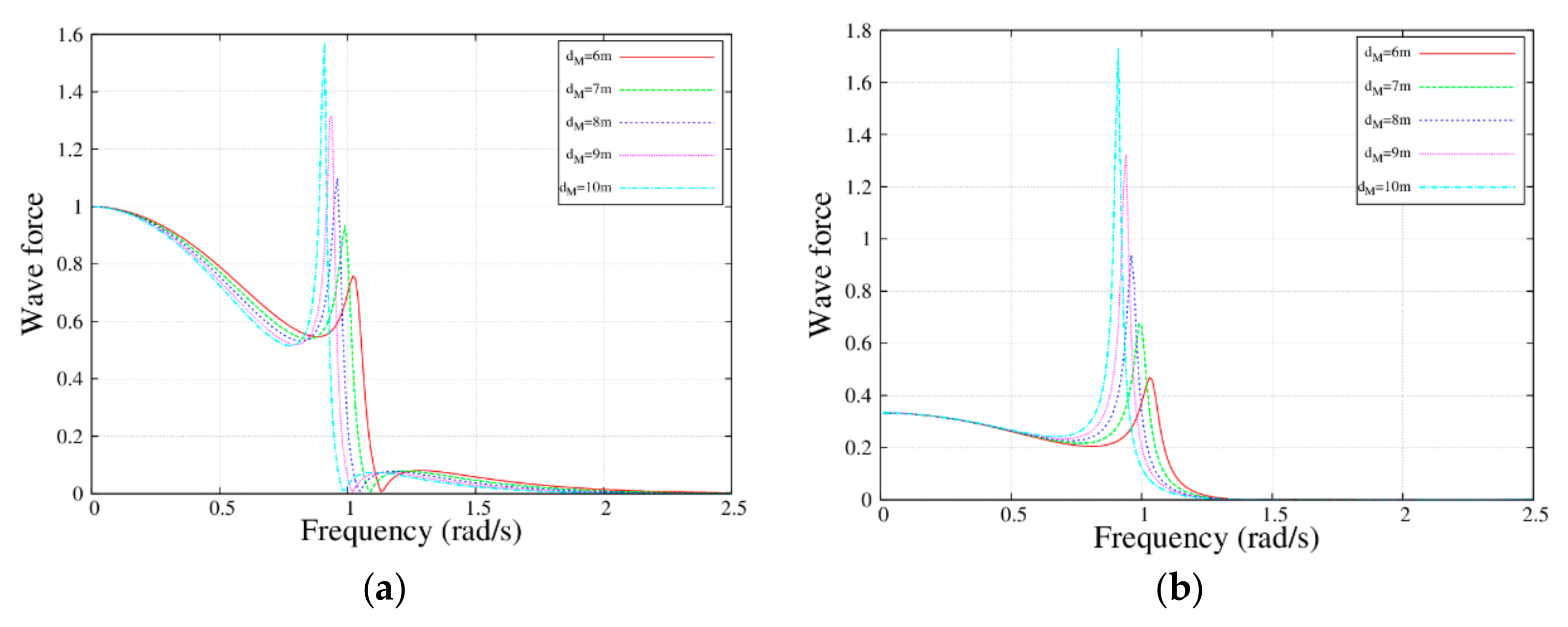
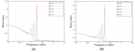
3.2. Wave Force
3.3. Added Mass and Damping Coefficients
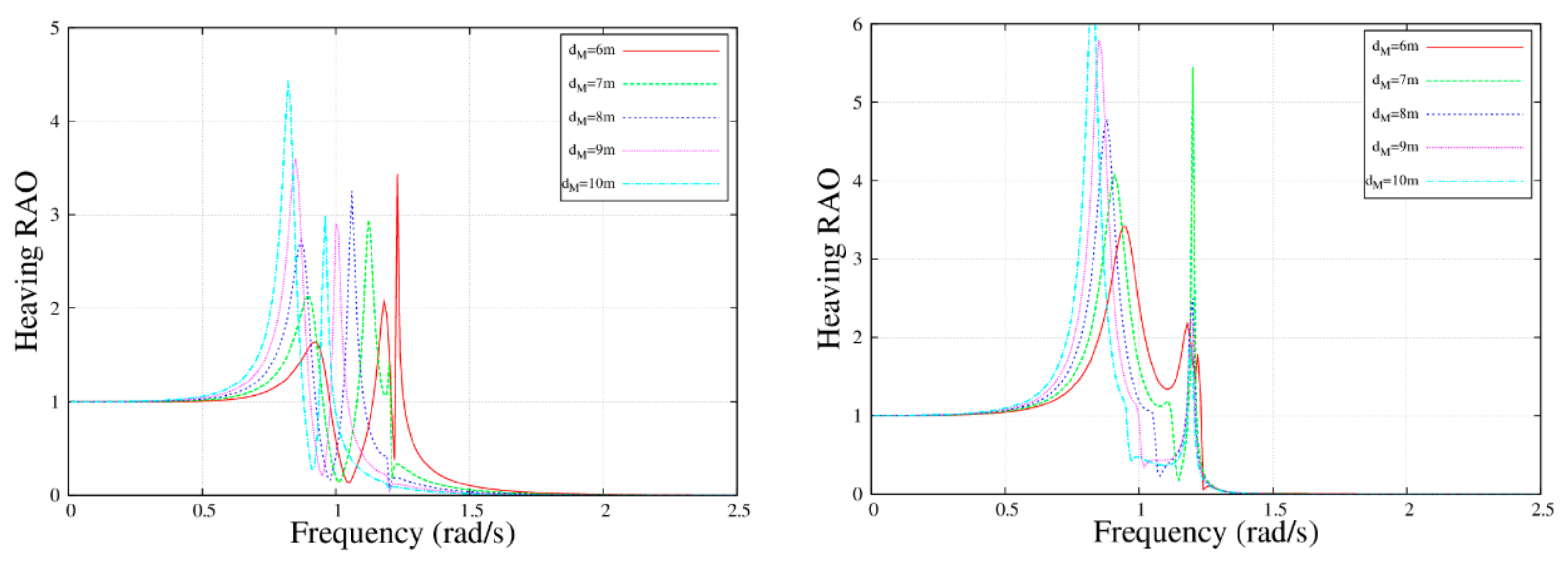
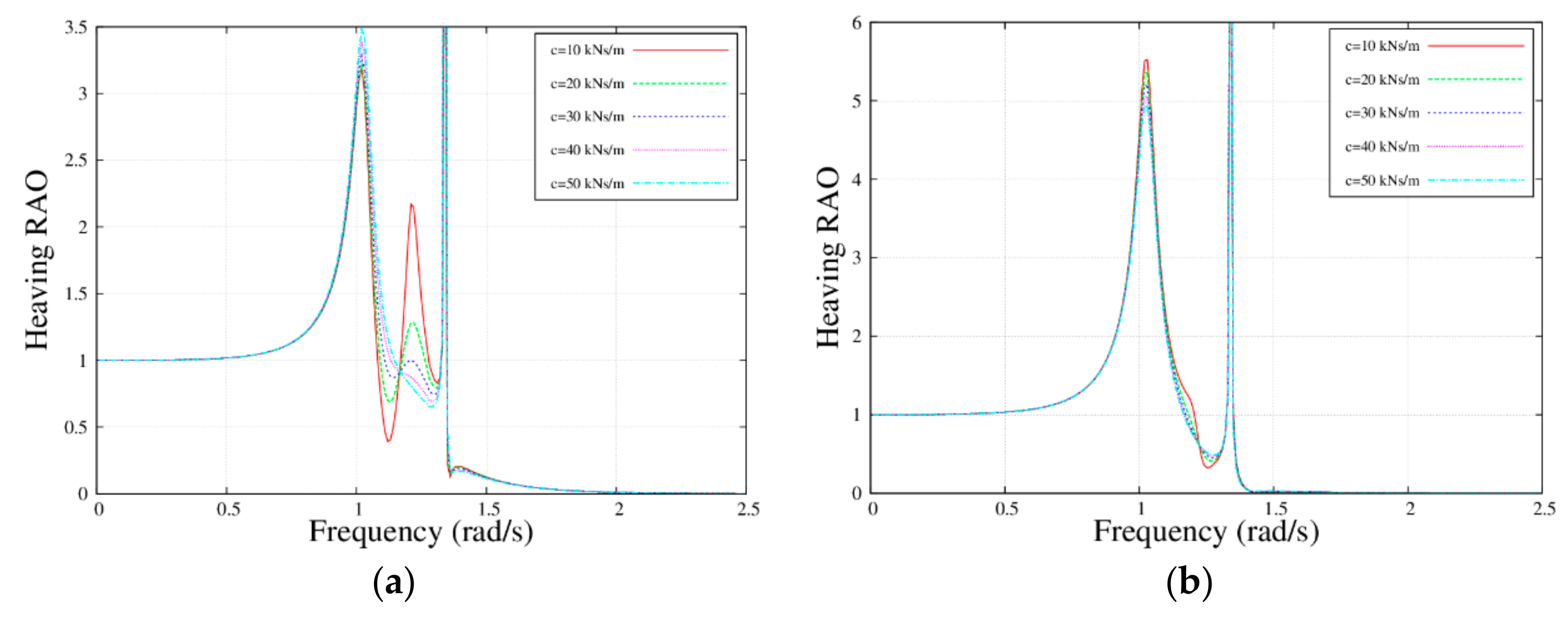
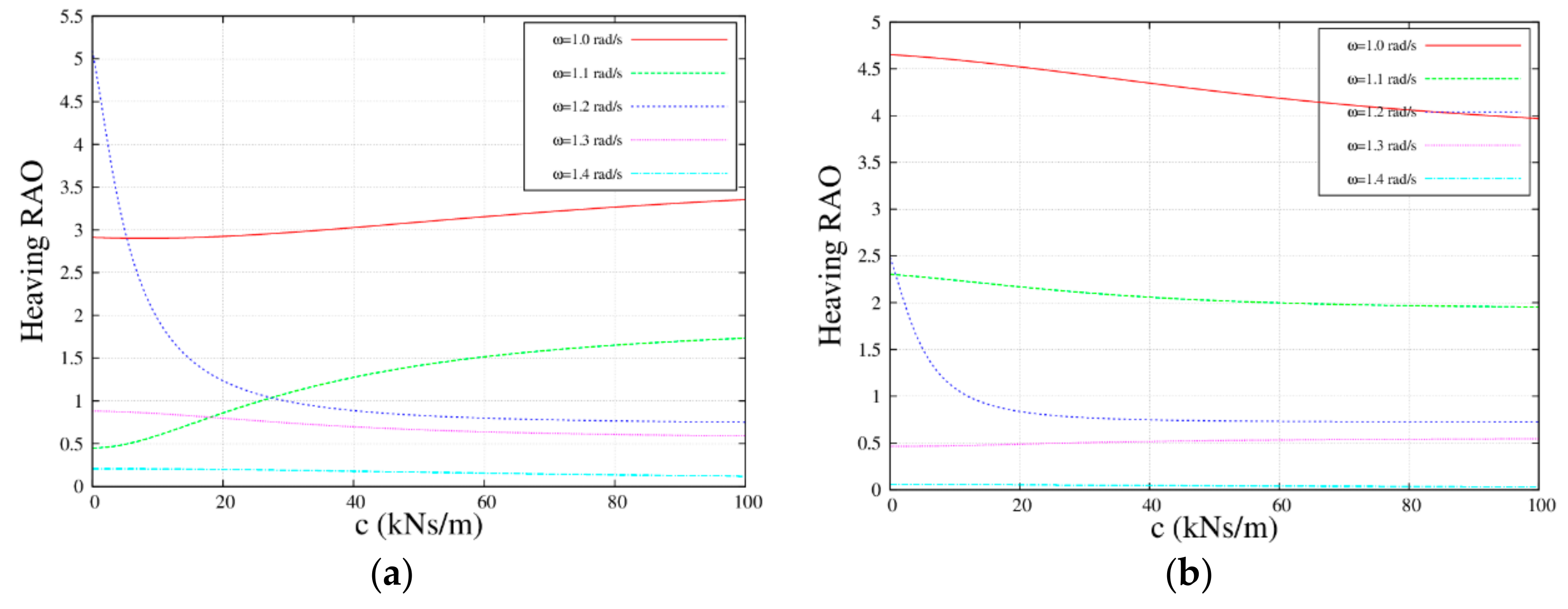
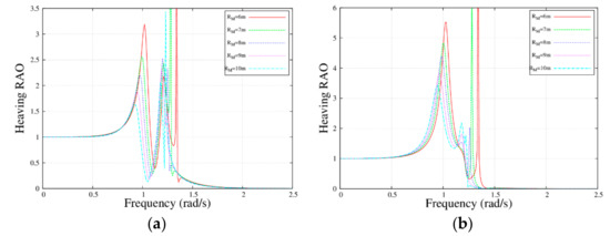
3.4. Response Amplitude Operator (RAO)
3.5. Capture Width Ratio
4. An Analytical-Numerical Solution of MP–WEB in Time Domain Analysis
4.1. Motion Response
4.2. Instantaneous Capture Width Ratio
4.3. Irregular Wave Simulation
5. Dynamics of the MP–WEB in Time Domain Analysis
5.1. Motion Response in Regular Waves
5.2. Instantaneous Capture Width Ratio in Regular Waves
5.3. Motion Response and Instantaneous Capture Width Ratio in Irregular Waves
6. Discussion
- (1)
- Based on the discussion of Reference [18], it could be seen from the comparison of axisymmetric buoy with and without the moonpool platform that the moonpool had an effect on the hydrodynamic coefficient of the central buoy. The hydrodynamic added mass and damping coefficients, as well as the wave force transfer functions, were substantially influenced by the geometry of the MP, and the identification of the trends allowed the derivation of the optimum dimensions according to the local environment conditions and energy requirements.
- (2)
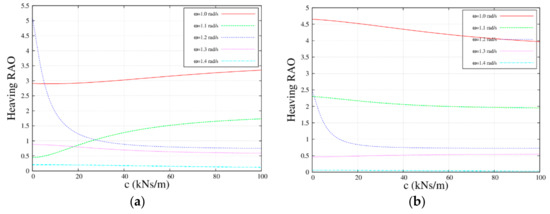
- Compared with the motion characteristics of the buoy in Reference [18] and the moonpool in Reference [19], it could be seen that the wave gathering effect of the moonpool intensified the motion of the buoy, and the motion of the buoy promoted the motion of the moonpool. Considering the relative motion (RAO) between the buoy and the moonpool, it presented a strong dependence on the draft and radius of the MP. For different radius, the peak at radius at was about twice that at , but the peak frequencies showed little difference. Additionally, for different drafts, the peak at was about twice that at , and the peak frequencies differed by 0.9 (rad/s). In terms of the PTO damping coefficient, the maximum RAO at was 9% larger than that at . The capture width ratio at was 2.7 times larger than that at .
Author Contributions
Funding
Conflicts of Interest
References
- Ibrahim, Y.; Kamel, S.; Rashad, A.; Nasrat, L.; Jurado, F. Performance Enhancement of Wind Farms Using Tuned SSSC Based on Artificial Neural Network. Int. J. Interact. Multimedia Artif. Intell. 2019, 1, 1–7. [Google Scholar] [CrossRef]
- Elkasem, A.H.; Kamel, S.; Rashad, A.; Jurado, F. Optimal Performance of Doubly Fed Induction Generator Wind Farm Using Multi-Objective Genetic Algorithm. Int. J. Interact. Multimedia Artif. Intell. 2019, 5, 48–53. [Google Scholar] [CrossRef]
- Ulvgård, L. Wave Energy Converters: An Experimental Approach to Onshore Testing, Deployments and Offshore Monitoring. Acta Universitatis Upsaliensis, 21 September 2017. [Google Scholar]
- Hasanien, H.M. Gravitational search algorithm-based optimal control of archimedes wave swing-based wave energy conversion system supplying a DC microgrid under uncertain dynamics. IET Renew. Power Gener. 2016, 11, 763–770. [Google Scholar] [CrossRef]
- Penesis, I.; Manasseh, R.; Nader, J.R.; de Chowdhury, S.; Fleming, A.; Macfarlane, G.; Hasan, M.K. Performance of ocean wave-energy arrays in Australia. In Proceedings of the 3rd Asian Wave and Tidal Energy Conference (AWTEC 2016), Singapore, 24–28 October 2016; Volume 1, pp. 246–253. [Google Scholar]
- Franzitta, V.; Colucci, A.; Curto, D.; Curto, D.; di Dio, V.; Trapanese, M. A linear generator for a waveroller power device. In OCEANS 2017-Aberdeen; IEEE: Piscataway, NJ, USA, 2017; pp. 1–5. [Google Scholar]
- Mavrakos, S.A.; Katsaounis, G.M. Effects of floaters’ hydrodynamics on the performance of tightly moored wave energy converters. IET Renew. Power Gener. 2009, 4, 531–544. [Google Scholar] [CrossRef]
- Zang, Z.; Zhang, Q.; Qi, Y.; Fu, X. Hydrodynamic responses and efficiency analyses of a heaving-buoy wave energy converter with PTO damping in regular and irregular waves. Renew. Energy 2018, 116, 527–542. [Google Scholar] [CrossRef]
- Li, Y.; Yu, Y.H. A synthesis of numerical methods for modeling wave energy converter-point absorbers. Renew. Sustain. Energy Rev. 2012, 16, 4352–4364. [Google Scholar] [CrossRef]
- Falcão, A.F.O.; Henriques, J.C.C. Effect of non-ideal power take-off efficiency on performance of single- and two-body reactively controlled wave energy converters. J. Ocean Eng. Mar. Energy 2015, 1, 1–14. [Google Scholar] [CrossRef]
- Milani, F.; Moghaddam, R.K. Power Maximization of a Point Absorber Wave Energy Converter Using Improved Model Predictive Control. China Ocean Eng. 2017, 31, 510–516. [Google Scholar] [CrossRef]
- Bachynski, E.E.; Etemaddar, M.; Kvittem, M.I.; Luan, C.; Moan, T. Dynamic Analysis of Floating Wind Turbines during Pitch Actuator Fault, Grid Loss, and Shutdown. Energy Procedia 2013, 35, 210–222. [Google Scholar] [CrossRef]
- Yeung, R.W.; Peiffer, A.; Tom, N.; Matlak, T. Design, Analysis, and Evaluation of the UC-Berkeley Wave-Energy Extractor. J. Offshore Mech. Arct. Eng. 2012, 134, 46–51. [Google Scholar] [CrossRef]
- Liang, C.; Zuo, L. On the dynamics and design of a two-body wave energy converter. Renew. Energy 2017, 101, 265–274. [Google Scholar] [CrossRef]
- Dai, Y.; Chen, Y.; Xie, L. A study on a novel two-body floating wave energy converter. Ocean Eng. 2017, 130, 407–416. [Google Scholar] [CrossRef]
- Cho, I.H.; Kim, M.H. Hydrodynamic performance evaluation of a wave energy converter with two concentric vertical cylinders by analytic solutions and model tests. Ocean Eng. 2017, 130, 498–509. [Google Scholar] [CrossRef]
- Chen, X.B.; Liu, H.X.; Duan, W.Y. Semi-analytical solutions to wave diffraction of cylindrical structures with a moonpool with a restricted entrance. J. Eng. Math. 2015, 90, 51–66. [Google Scholar] [CrossRef]
- Liu, H.; Ao, J.; Chen, H.; Liu, M.; Collu, M.; Liu, J. Performance Analysis of a Sea Javelin Wave Energy Converter in Irregular Wave. J. Coast. Res. 2018, 83, 932–940. [Google Scholar] [CrossRef]
- Yoo, S.O.; Kim, H.J.; Lee, D.Y. Experimental and Numerical Study on the Flow Reduction in the Moonpool of Floating Offshore Structure. J. Offshore Mech. Arct. Eng.-Trans. ASME 2019, 141, 011301. [Google Scholar] [CrossRef]

















| Frequency (rad/s) | 0.5 | 1.0 | 1.5 | |||
|---|---|---|---|---|---|---|
| Method | Present | Numerical | Present | Numerical | Present | Numerical |
| Wave force | 0.7724 | 0.7834 | 0.3963 | 0.3889 | 0.0219 | 0.0210 |
| Added mass | 0.8025 | 0.8122 | 0.7726 | 0.7633 | 0.0944 | 0.0967 |
| Damping coefficients | 0.0504 | 0.0503 | 0.0430 | 0.0445 | 0.0034 | 0.0056 |
| Frequency | Frequency Domain | Time Domain | Percentage Difference |
|---|---|---|---|
| 0.96 | 1.0 | 4.2% | |
| 3.7 | 3.9 | 5.4% | |
| 0.047 | 0.045 | 4.3% | |
| 0.0046 | 0.0042 | 8.7% |
| Frequency | Frequency Domain | Time Domain | Percentage Difference |
|---|---|---|---|
| 0.021 | 0.022 | 4.8% | |
| 0.057 | 0.056 | 1.8% | |
| 0.0014 | 0.0015 | 7.1% | |
| 0.00027 | 0.00027 | 0% |
© 2019 by the authors. Licensee MDPI, Basel, Switzerland. This article is an open access article distributed under the terms and conditions of the Creative Commons Attribution (CC BY) license (http://creativecommons.org/licenses/by/4.0/).
Share and Cite
Kong, F.; Liu, H.; Su, W.; Ao, J.; Chen, H.; Jing, F. Analytical and Numerical Analysis of the Dynamics of a Moonpool Platform–Wave Energy Buoy (MP–WEB). Energies 2019, 12, 4083. https://doi.org/10.3390/en12214083
Kong F, Liu H, Su W, Ao J, Chen H, Jing F. Analytical and Numerical Analysis of the Dynamics of a Moonpool Platform–Wave Energy Buoy (MP–WEB). Energies. 2019; 12(21):4083. https://doi.org/10.3390/en12214083
Chicago/Turabian StyleKong, Fankai, Hengxu Liu, Weiming Su, Jingtao Ao, Hailong Chen, and Fengmei Jing. 2019. "Analytical and Numerical Analysis of the Dynamics of a Moonpool Platform–Wave Energy Buoy (MP–WEB)" Energies 12, no. 21: 4083. https://doi.org/10.3390/en12214083
APA StyleKong, F., Liu, H., Su, W., Ao, J., Chen, H., & Jing, F. (2019). Analytical and Numerical Analysis of the Dynamics of a Moonpool Platform–Wave Energy Buoy (MP–WEB). Energies, 12(21), 4083. https://doi.org/10.3390/en12214083
