Development of Efficient External Multi-Hazard Risk Quantification Methodology for Nuclear Facilities
Abstract
1. Introduction
2. Existing Methodology and Proposed Algorithm
2.1. Existing Single-Hazard EE-PSA Methodology
2.2. Multi-Hazard PSA Quantification Methodology
2.3. Improvement in Sampling-Based Multi-Hazard PSA Quantification Code
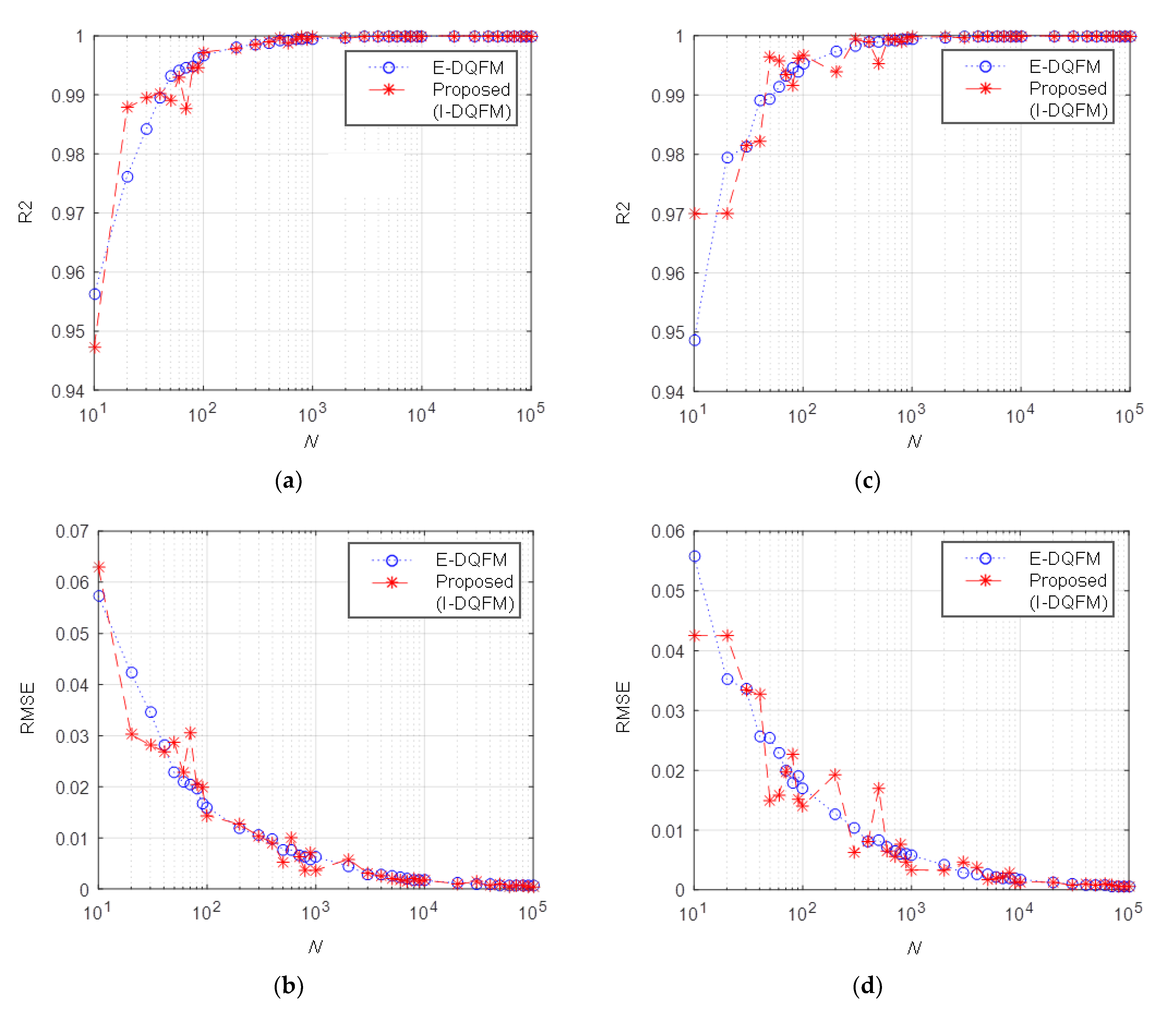
3. Results and Discussions: Simple Examples
3.1. Example 1: C1 ∩ C2
3.2. Example 2: (C1 ∪ C2) ∩ C3
4. Results and Discussions: Application of Proposed Methodology to an Actual Nuclear Power Plant
4.1. Single-Hazard PSA Results and Validation
4.2. Multi-Hazard PSA Results and Validation
5. Summary and Conclusions
Author Contributions
Funding
Conflicts of Interest
Nomenclature
| Acronyms and Symbols | Description |
| DQFM | Direct quantification of fault tree using the Monte Carlo simulation |
| E-DQFM | Extended DQFM |
| EE-PSA | External event probabilistic safety assessment |
| EPRI | Electric Power Research Institute |
| EPRI SOV method | EPRI separation-of-variable method |
| HCLPF | High-confidence-low-probability-of-failure |
| I-DQFM | Improved DQFM (proposed) |
| JAERI | Japan Atomic Energy Research Institute |
| LGS | Limerick generating station |
| NPP | Nuclear power plant |
| PGA | Peak ground acceleration |
| PSA | Probabilistic safety assessment |
| R2 | Coefficient of determination |
| RMSE | Root mean squared error |
| Am, βr, βu (or Am, βc) | EPRI SOV method fragility input variables |
| CM | Reactor core damage accident |
| Rm, Cm, βRr, βCr, βRu, βCu | JAERI fragility input variables |
| TsEsUX, TsRb, TsRpv, TsEsCmC2, TsRbCm, TsEbWm | Six dominant sequences that lead to the core damage |
| ρs, ρt | Correlation coefficients |
References
- Basco, A.; Salzano, E. The vulnerability of industrial equipment to tsunami. J. Loss Prev. Process Ind. 2017, 50, 301–307. [Google Scholar] [CrossRef]
- Salzano, E.; Agreda, A.G.; Di Carluccio, A.; Fabbrocino, G. Risk assessment and early warning systems for industrial facilities in seismic zones. Reliab. Eng. Syst. Saf. 2009, 94, 1577–1584. [Google Scholar] [CrossRef]
- Fabbrocino, G.; Iervolino, I.; Orlando, F.; Salzano, E. Quantitative risk analysis of oil storage facilities in seismic areas. J. Hazard. Mater. 2005, 123, 61–69. [Google Scholar] [CrossRef] [PubMed]
- Prabhu, S.; Javanbarg, M.; Lehmann, M.; Atamturktur, S. Multi-peril risk assessment for business downtime of industrial facilities. Nat. Hazards 2019, 97, 1327–1356. [Google Scholar] [CrossRef]
- Gallina, V.; Torresan, S.; Critto, A.; Sperotto, A.; Glade, T.; Marcomini, A. A review of multi-risk methodologies for natural hazards: Consequences and challenges for a climate change impact assessment. J. Environ. Manag. 2016, 168, 123–132. [Google Scholar] [CrossRef] [PubMed]
- EPRI. Seismic Probabilistic Risk Assessment Implementation Guide; TR-1002989; Electric Power Research Institute: Palo Alto, CA, USA, 2003. [Google Scholar]
- ASME/ANS. Addenda to ASME/ANS RA-S-2008—Standard for Level 1/Large Early Release Frequency Probabilistic Risk Assessment for Nuclear Power Plant Applications; ASME/ANS RA-Sa-2009; The American Society of Mechanical Engineers: New York, NY, USA, 2009. [Google Scholar]
- ASCE. Seismic Analysis of Safety-Related Nuclear Structures and Commentary; ASCE/SEI 4-16; American Society of Civil Engineers: Reston, VA, USA, 2017. [Google Scholar]
- Kwag, S.; Hahm, D. Development of an Earthquake-induced Landslide Risk Assessment Approach for Nuclear Power Plants. Nucl. Eng. Technol. 2018, 50, 1372–1386. [Google Scholar] [CrossRef]
- Ellingwood, B. Validation studies of seismic PRAs. Nucl. Eng. Des. 1990, 123, 189–196. [Google Scholar] [CrossRef]
- Kim, J.H.; Choi, I.-K.; Park, J.-H. Uncertainty analysis of system fragility for seismic safety evaluation of NPP. Nucl. Eng. Des. 2011, 241, 2570–2579. [Google Scholar] [CrossRef]
- Kwag, S.; Oh, J.; Lee, J.M.; Ryu, J.S. Bayesian based seismic margin assessment approach: Application to research reactor system. Earthq. Struct 2017, 12, 653–663. [Google Scholar]
- EPRI. Methodology for Developing Seismic Fragilities; TR-103959; Electric Power Research Institute: Palo Alto, CA, USA, 1994. [Google Scholar]
- USNRC. Correlation of Seismic Performance in Similar SSCs (Structures, Systems, and Components); NUREG/CR-7237; United States Nuclear Regulatory Commission, Office of Nuclear Regulatory Research: Washington, DC, USA, 2017.
- Kwag, S.; Gupta, A. Probabilistic risk assessment framework for structural systems under multiple hazards using Bayesian statistics. Nucl. Eng. Des. 2017, 315, 20–34. [Google Scholar] [CrossRef]
- Tolo, S.; Patelli, E.; Beer, M. Robust vulnerability analysis of nuclear facilities subject to external hazards. Stoch. Environ. Res. Risk Assess. 2017, 31, 2733–2756. [Google Scholar] [CrossRef]
- Kwag, S.; Oh, J.; Lee, J.M. Application of Bayesian statistics to seismic probabilistic safety assessment for research reactor. Nucl. Eng. Des. 2018, 328, 166–181. [Google Scholar] [CrossRef]
- Watanabe, Y.; Oikawa, T.; Muramatsu, K. Development of the DQFM method to consider the effect of correlation of component failures in seismic PSA of nuclear power plant. Reliab. Eng. Syst. Saf. 2003, 79, 265–279. [Google Scholar] [CrossRef]
- Ebisawa, K.; Abe, K.; Muramatsu, K.; Itoh, M.; Kohno, K.; Tanaka, T. Evaluation of response factors for seismic probabilistic safety assessment of nuclear power plants. Nucl. Eng. Des. 1994, 147, 197–210. [Google Scholar] [CrossRef]
- Kawaguchi, K.; Uchiyama, T.; Muramatsu, K. Efficiency of analytical methodologies in uncertainty analysis of seismic core damage frequency. J. Power Energy Syst. 2012, 6, 378–393. [Google Scholar] [CrossRef]
- Muta, H.; Uchiyama, K.M.T.; Nishida, A.; Furuya, O.; Takada, T. Reliability Enhancement of Seismic Risk Assessment of NPP as Risk Management Fundamentals-Development of a New Mathematical Framework for Uncertainty Analysis. In Proceedings of the 13th International Conference on Probabilistic Safety Assessment and Management (PSAM 13), Seoul, Korea, 2–7 October 2016. [Google Scholar]
- Prinja, N.K.; Ogunbadejo, A.; Sadeghi, J.; Patelli, E. Structural reliability of pre-stressed concrete containments. Nucl. Eng. Des. 2017, 323, 235–244. [Google Scholar] [CrossRef]
- Kennedy, R.P.; Cornell, C.A.; Campbell, R.D.; Kaplan, S.; Perla, H.F. Probabilistic seismic safety study of an existing nuclear power plant. Nucl. Eng. Des. 1980, 59, 315–338. [Google Scholar] [CrossRef]
- Kwag, S.; Gupta, A. Computationally efficient fragility assessment using equivalent elastic limit state and Bayesian updating. Comput. Struct. 2018, 197, 1–11. [Google Scholar] [CrossRef]
- Wells, J.W.; George, L.L.; Cummings, G.E. Seismic Safety Margins Research Program, Phase 1 Final Report: Systems Analysis (Project VII); NUREG/CR-2015; Lawrence Livermore National Laboratory: Livermore, CA, USA, 1984; Volume 8.
- Kim, M.K.; Choi, I.-K. A tsunami PSA methodology and application for NPP site in Korea. Nucl. Eng. Des. 2012, 244, 92–99. [Google Scholar] [CrossRef]
- KAERI. Development of Site Risk Assessment & Management Technology including Extreme External Events; KAERI/RR-4225/2016; Korea Atomic Energy Research Institute: Daejeon, Korea, 2017. [Google Scholar]


















| Component | Seismic Event (PGA, g) | Tsunami Event (Height, m) | |||
|---|---|---|---|---|---|
| Ams | βcs | Amt | βct | ||
| C1 | Offsite Power | 0.3 g | 0.3 | 10 m | 0.2 |
| C2 | Essential Service Water | 0.3 g | 0.3 | 10 m | 0.5 |
| C3 | CST | 0.3 g | 0.3 | 10 m | 0.3 |
| Correlation Coefficients | Values and # of Samples | E-DQFM | Proposed (I-DQFM) | ||
|---|---|---|---|---|---|
| R2 | RMSE | R2 | RMSE | ||
| ρ = 0 (Independent) | Values | 0.999963 | 0.001655 | 0.999933 | 0.002248 |
| #of Samples | 1 × 104 (N) × 4 × 21(PGA) × 41(H) | 1 × 104 (N) × 4 | |||
| ρ = 1 (Fully Correlated) | Values | 0.999951 | 0.001717 | 0.999984 | 0.000982 |
| #of Samples | 1 × 104 (N) × 4 × 21(PGA) × 41(H) | 1 × 104 (N) × 4 | |||
| Correlation Coefficients | Values and # of Samples | E-DQFM | Proposed (I-DQFM) | ||
|---|---|---|---|---|---|
| R2 | RMSE | R2 | RMSE | ||
| ρ = 0 (Independent) | Values | 0.999963 | 0.001570 | 0.999991 | 0.000781 |
| #of Samples | 1 × 104 (N) × 4 × 21(PGA) × 41(H) | 1 × 104 (N) × 4 | |||
| ρ = 1 (Fully Correlated) | Values | 0.999963 | 0.001444 | 0.999940 | 0.001841 |
| #of Samples | 1 × 104 (N) × 4 × 21(PGA) × 41(H) | 1 × 104 (N) × 4 | |||
| Sequence | Ellingwood (1990) [10] | Kim et al. (2011) [11] | Boolean Expression (Exact) | E-DQFM (1E4(N) × 2 × 196) | Proposed(I-DQFM) (1E4(N) × 2) | ||||
|---|---|---|---|---|---|---|---|---|---|
| Risk | HCLPF | Risk | HCLPF | Risk | HCLPF | Risk | HCLPF | Risk | |
| TsEsUX | 3.40 × 10−6 | 0.295 | 3.83 × 10−6 | 0.29 | 3.84 × 10−6 | 0.30 | 3.54 × 10−6 | 0.31 | 3.62 × 10−6 |
| TsRb | 1.10 × 10−6 | 0.416 | 1.16 × 10−6 | 0.41 | 1.14 × 10−6 | 0.40 | 1.15 × 10−6 | 0.41 | 1.10 × 10−6 |
| TsRpv | 4.70 × 10−7 | 0.546 | 4.65 × 10−7 | 0.54 | 4.67 × 10−7 | 0.53 | 4.63 × 10−7 | 0.54 | 4.60 × 10−7 |
| TsEsCmC2 | 1.50 × 10−6 | 0.421 | 1.47 × 10−6 | 0.42 | 1.47 × 10−6 | 0.41 | 1.47 × 10−6 | 0.42 | 1.49 × 10−6 |
| TsRbCm | 6.00 × 10−7 | 0.516 | 6.42 × 10−7 | 0.51 | 6.40 × 10−7 | 0.51 | 6.42 × 10−7 | 0.52 | 6.27 × 10−7 |
| TsEbWm | 1.20 × 10−7 | - | 1.29 × 10−7 | - | 1.24 × 10−7 | - | 1.70 × 10−7 | - | 9.59 × 10−8 |
| CM | 5.00 × 10−6 | 0.281 | 5.40 × 10−6 | 0.28 | 5.44 × 10−6 | 0.29 | 5.18 × 10−6 | 0.29 | 5.16 × 10−6 |
| Sequence | Boolean Expression (Exact) | E-DQFM (1 E 4(N) × 2 × 196) | Proposed (I-DQFM) (1E4(N) × 2) | |||
|---|---|---|---|---|---|---|
| HCLPF | Risk | HCLPF | Risk | HCLPF | Risk | |
| TsEsUX | 0.35 | 1.76 × 10−6 | 0.34 | 1.46 × 10−6 | 0.36 | 1.45 × 10−6 |
| TsRb | 0.41 | 1.14 × 10−6 | 0.41 | 1.13 × 10−6 | 0.4 | 1.20 × 10−6 |
| TsRpv | 0.54 | 4.67 × 10−7 | 0.54 | 4.65 × 10−7 | 0.54 | 4.71 × 10−7 |
| TsEsCm2C | 0.47 | 8.27 × 10−7 | 0.48 | 8.27 × 10−7 | 0.48 | 7.98 × 10−7 |
| TsRbCm | 0.51 | 6.40 × 10−7 | 0.52 | 6.38 × 10−7 | 0.51 | 6.52 × 10−7 |
| TsEbWm | - | 1.27 × 10−7 | - | 6.49 × 10−8 | - | 1.14 × 10−7 |
| CM | 0.31 | 3.84 × 10−6 | 0.31 | 3.47 × 10−6 | 0.31 | 3.57 × 10−6 |
| Components | Seismic Event | Tsunami Event | ||||||
|---|---|---|---|---|---|---|---|---|
| Ams (g) | βrs | βus | Amt (m) | βrt | βut | Mean Failure Rate (per yr) | ||
| S1 | Offsite power | 0.2 | 0.2 | 0.25 | 10 | 0.354 | 0.354 | - |
| S2 | Condensate storage tank | 0.24 | 0.23 | 0.31 | 10 | 0.212 | 0.212 | - |
| S3 | Reactor internals | 0.67 | 0.28 | 0.32 | - | - | - | - |
| S4 | Reactor enclosure structure | 1.05 | 0.31 | 0.25 | - | - | - | - |
| S6 | Reactor pressure vessel | 1.25 | 0.28 | 0.22 | - | - | - | - |
| S10 | SLC tank | 1.33 | 0.27 | 0.19 | - | - | - | - |
| S11 | 440-V bus/SG breakers | 1.46 | 0.38 | 0.44 | 11 | 0.212 | 0.212 | - |
| S12 | 440-V bus transformer breaker | 1.49 | 0.36 | 0.43 | 11 | 0.212 | 0.212 | - |
| S13 | 125/250-V DC bus | 1.49 | 0.36 | 0.43 | 11 | 0.212 | 0.212 | - |
| S14 | 4-kV bus/SG | 1.49 | 0.36 | 0.43 | 11 | 0.212 | 0.212 | - |
| S15 | Diesel generator circuit | 1.56 | 0.32 | 0.41 | 11 | 0.212 | 0.212 | - |
| S16 | Diesel generator heat and vent | 1.55 | 0.28 | 0.43 | - | - | - | - |
| S17 | RHR heat exchangers | 1.09 | 0.32 | 0.34 | 10 | 0.212 | 0.212 | - |
| DGR | Diesel generator common mode | - | - | - | - | - | - | 0.00125 |
| WR | Containment heat removal | - | - | - | - | - | - | 0.00026 |
| CR | Scram system mechanical failure | - | - | - | - | - | - | 10−5 |
| SLCR | Standby liquid control | - | - | - | - | - | - | 0.01 |
| Sequence | Risk (/yr) | ||
|---|---|---|---|
| Boolean Expression (Exact) | E-DQFM (1E4 × 4 × 21 × 41) | Proposed (I-DQFM) (1E4 × 4) | |
| TsEsUX | 7.40 × 10−6 | 7.38 × 10−6 | 7.29 × 10−6 |
| TsRb | 1.04 × 10−6 | 1.05 × 10−6 | 1.02 × 10−6 |
| TsRpv | 4.10 × 10−7 | 4.11 × 10−7 | 4.11 × 10−7 |
| TsEsCmC2 | 1.41 × 10−6 | 1.41 × 10−6 | 1.35 × 10−6 |
| TsRbCm | 5.83 × 10−7 | 5.85 × 10−7 | 5.72 × 10−7 |
| TsEbWm | 7.14 × 10−7 | 7.47 × 10−7 | 7.31 × 10−7 |
| CM | 9.62 × 10−6 | 9.65 × 10−6 | 9.59 × 10−6 |
| Sequence | Risk (/yr) | ||
|---|---|---|---|
| Boolean Expression (Exact) | E-DQFM (1E4 × 4 × 21 × 41) | Proposed (I-DQFM) (1E4 × 4) | |
| TsEsUX | 3.66 × 10−6 | 3.60 × 10−6 | 3.58 × 10−6 |
| TsRb | 1.04 × 10−6 | 1.04 × 10−6 | 1.02 × 10−6 |
| TsRpv | 4.10 × 10−7 | 4.09 × 10−7 | 4.28 × 10−7 |
| TsEsCmC2 | 7.59 × 10−7 | 7.49 × 10−7 | 8.01 × 10−7 |
| TsRbCm | 5.83 × 10−7 | 5.84 × 10−7 | 5.81 × 10−7 |
| TsEbWm | 9.80 × 10−7 | 1.03 × 10−6 | 1.02 × 10−6 |
| CM | 6.79 × 10−6 | 6.77 × 10−6 | 6.77 × 10−6 |
| Sequence | Risk (/yr) | |
|---|---|---|
| E-DQFM (1E4 × 4 × 21 × 41) | Proposed (I-DQFM) (1E4 × 4) | |
| TsEsUX | 5.53 × 10−6 | 5.47 × 10−6 |
| TsRb | 1.04 × 10−6 | 1.04 × 10−6 |
| TsRpv | 4.07 × 10−7 | 3.96 × 10−7 |
| TsEsCmC2 | 1.11 × 10−6 | 1.08 × 10−6 |
| TsRbCm | 5.79 × 10−7 | 5.81 × 10−7 |
| TsEbWm | 7.96 × 10−7 | 8.21 × 10−7 |
| CM | 8.14 × 10−6 | 8.11 × 10−6 |
© 2019 by the authors. Licensee MDPI, Basel, Switzerland. This article is an open access article distributed under the terms and conditions of the Creative Commons Attribution (CC BY) license (http://creativecommons.org/licenses/by/4.0/).
Share and Cite
Kwag, S.; Ha, J.G.; Kim, M.K.; Kim, J.H. Development of Efficient External Multi-Hazard Risk Quantification Methodology for Nuclear Facilities. Energies 2019, 12, 3925. https://doi.org/10.3390/en12203925
Kwag S, Ha JG, Kim MK, Kim JH. Development of Efficient External Multi-Hazard Risk Quantification Methodology for Nuclear Facilities. Energies. 2019; 12(20):3925. https://doi.org/10.3390/en12203925
Chicago/Turabian StyleKwag, Shinyoung, Jeong Gon Ha, Min Kyu Kim, and Jung Han Kim. 2019. "Development of Efficient External Multi-Hazard Risk Quantification Methodology for Nuclear Facilities" Energies 12, no. 20: 3925. https://doi.org/10.3390/en12203925
APA StyleKwag, S., Ha, J. G., Kim, M. K., & Kim, J. H. (2019). Development of Efficient External Multi-Hazard Risk Quantification Methodology for Nuclear Facilities. Energies, 12(20), 3925. https://doi.org/10.3390/en12203925

