The Effect of Trailing Edge Clearance in Suppressing Hub-Corner Stall
Abstract
:1. Introduction
2. Cascade Configuration and Validation
2.1. Cascade Configuration
2.2. Numerical Method and Validation
3. Numerical Results
3.1. Vortex Topology in Flow Field
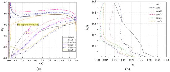
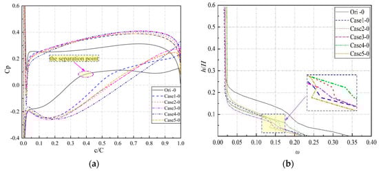
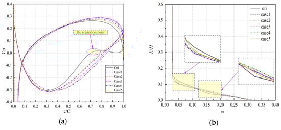
3.2. The Trailing Clearances
4. Discussion and Conclusions
- Hub-corner stall comprises three main vortices: SSV, TRV, and CRV. They are generated due to effect of backflow and radial movement of hub-surface boundary layer. Therefore, hub-corner stall can be eliminated by controlling the separation of the hub-boundary layer. The trailing edge clearance can restrain the boundary layer separation on the suction surface and acquire the ability of re-diffusion at the hub corner.
- By comparing the trailing edge clearance with the full clearance, it was observed that both types of clearance can eliminate the radial vortex and inhibit the occurrence and development of hub-corner stall. However, the trailing edge clearances not only can inhibit the separation in the hub corner but also have the minimum leakage loss at design point. The trailing clearances are lower cost and more effective than the traditional full clearances.
Author Contributions
Funding
Conflicts of Interest
Abbreviations
| CSV | Central Shedding Vortex |
| TRV | Trailing Radial Vortex |
| SSV | Suction Separation Vortex |
| Cp | Pressure coefficient |
| CSL | Corner separation line |
References
- Liesner, K.; Meyer, R. Evaluation of passive and active secondary flow control in a high speed compressor Cascade with Different Measurement Techniques. In New Results in Numerical and Experimental Fluid Mechanics VIII; Springer: Berlin/Heidelberg, Germany, 2013. [Google Scholar]
- Kang, S.; Hirsch, C. Three dimensional flow in a linear compressor cascade at design conditions. In Proceedings of the ASME 1991 International Gas Turbine and Aeroengine Congress and Exposition, Orlando, FL, USA, 3–6 June 1991. ASME Paper No. 91-GT-114. [Google Scholar]
- Hah, C.; Loellbach, J. Development of hub corner stall and its influence on the performance of axial compressor Blade Rows. J. Turbomach. 1999, 121, 67–77. [Google Scholar] [CrossRef]
- Lei, V.M.; Spakovszky, Z.S.; Greitzer, E.M. A criterion for axial compressor Hub-Corner Stall. J. Turbomach. 2008, 130, 031006. [Google Scholar] [CrossRef]
- Schulz, H.D.; Gallus, H.E. Experimental investigations of the three-dimensional flow in an annular compressor cascade. J. Turbomach. 1988, 110, 467–478. [Google Scholar] [CrossRef]
- Williamson, C.; Weierman, J.; Jacob, J. Flow control in an axial compressor using plasma actuators. In Proceedings of the 39th AIAA Fluid Dynamics Conference, Fluid Dynamics and Co-located Conferences, San Antonio, TX, USA, 22–25 June 2009. [Google Scholar]
- Qiushi, L.I.; Simin, L.I.; Pan, T. Effects of the radial blade loading distribution and B, parameter on the type of flow instability in a low-speed axial compressor. Chin. J. Aeronaut. 2018, 31, 1470–1479. [Google Scholar]
- Antonia, R.A.; Zhu, Y.; Sokolov, M. Effect of concentrated wall suction on a turbulent boundary layer. Phys. Fluids 1995, 7, 2465–2474. [Google Scholar] [CrossRef]
- Schobeiri, M.T.; Attia, M. Active control of compressor instability and surge by stator blades adjustment. J. Propul. Power 2015, 19, 312–317. [Google Scholar] [CrossRef]
- Larosiliere, L.M.; Wood, J.R.; Hathaway, M.D.; Medd, A.J.; Dang, T.Q. Aerodynamic Design Study of Advanced Multistage Axial Compressor; NASA-TP 2002-211568, ARL-TR-2859; NASA Glenn Research Center: Cleveland, OH, USA, 2002.
- Linder, C.G. Single-Stage Experimental Evaluation of Variable Geometry Guide Vanes and Stators. Part II Annular Cascade Investigations of Candidate Variable Geometry Designs; US NASA CR-54555; NASA: Washington, DC, USA, 1997.
- Serovy, G.K.; Kavanagh, P. Considerations in the Design of Variable-Geometry Blading for Axial-Flow Compressor Stages; NATO Advisory Group for Aerospace Research and Development, AGARD CP: Neuilly sur Seine, France, 1968; Volume 34. [Google Scholar]
- Johnson, M.C.; Greitzer, E.M. Effect of slotted hub and casing treatment on compressor endwall flow field. J. Turbomach. 1987, 109, 380–387. [Google Scholar] [CrossRef]
- Smith, G.D.J.; Cumpsty, N.A. Flow phenomena in compressor casing treatment. J. Eng. Gas Turbines Power 1984, 106, 532–541. [Google Scholar] [CrossRef]
- Brookfield, J.M.; Waitz, I.A. Trailing edge blowing for reduction of turbomachinery Fan Noise. In Proceedings of the 4th AIAA/CEAS Aeroacoustics Conference, Toulouse, France, 2–4 June 1998. AIAA Paper 98-2321. [Google Scholar]
- Xu, W.; Du, X.; Wang, S. Correlation of solidity and curved blade in compressor cascade design. Appl. Therm. Eng. 2018, 131, 244–259. [Google Scholar] [CrossRef]
- Zhao, G.; Chen, F.; Song, Y. Optimization design of compressor cascade with swept and curved blades. In Proceedings of the 43rd AIAA Aerospace Sciences Meeting and Exhibit, Reno, NV, USA, 10–13 January 2005. [Google Scholar]
- Li, Y.; Zhou, S.Q.; Wang, J.; Li, H.; Fu, G.J.; Foshan, C.N. Analysis of Aerodynamic Noise of a Swept-Curved Axial Flow Fan With Different Rotate Speed. J. Eng. Thermophys. 2014, 35, 51–55. [Google Scholar]
- Lin, A.; Sun, Y.; Zhang, H.; Lin, X.; Yang, L.; Zheng, Q. Fluctuating characteristics of air-mist mixture flow with conjugate wall-film motion in a compressor of gas turbine. Appl. Therm. Eng. 2018, 142, 779–792. [Google Scholar] [CrossRef]
- Chen, G.T.; Greitzer, E.M.; Tan, C.S.; Marble, F.E. Similarity Analysis of Compressor Tip Clearance Flow Structure. J. Turbomach. 1991, 113, 260–271. [Google Scholar] [CrossRef]
- Hah, C. A numerical modeling of endwall and tip-clearance flow of an isolated compressor rotor. J. Eng. Gas Turbines Power 1986, 108, 15–21. [Google Scholar] [CrossRef]
- Zhong, J.J.; Wu, W.-Y.; Wang, H.S. Effect of blade tip winglet on aerodynamic performance of high subsonic compressor cascade at different tip clearances. J. Eng. Thermophys. 2018, 39, 757–766. [Google Scholar]
- Lee, C.; Song, J.; Lee, S.; Hong, D. Effect of a clearance between Inner casing and stator blade on axial compressor performance. In Proceedings of the ASME Turbo Expo 2010: Power for Land, Sea, and Air, Glasgow, UK, 14–18 June 2010. [Google Scholar]
- Gbadebo, S.A.; Cumpsty, N.A. Interaction of tip clearance flow and three-dimensional separations in axial compressors. J. Turbomach. 2007, 129, 679–685. [Google Scholar] [CrossRef]
- Zuo, Z.T.; Zhu, Y.L.; Zhang, D.Y.; Tan, C.Q. Numerical investigation of the stator hub clearance effects on aerodynamic performance of a high-pressure compressor. J. Propul. Technol. 2011, 32, 329–333. [Google Scholar]
- Ribi, B.; Meyer, M.P. Influence of a Clearance between Casing and Variable Stator Blade on Axial Compressor Performance; ASME Paper GT-2008-50301; ASME: New York, NY, USA, 2008. [Google Scholar]
- Xu, W.-F.; Peng, S.; Zhong, J.J.; Huang, L.S. Numerical study for the influence of stator tip clearance height on compressor performance. J. Dalian Marit. Univ. 2017, 43, 63–70. [Google Scholar]
- Zhao, W.; Jiang, B.; Zheng, Q. Control of the corner separation in a linear cascade by trailing clearances. In Proceedings of the ASME Turbo Expo 2017: Turbomachinery Technical Conference and Exposition, Charlotte, NC, USA, 26–30 June 2017; p. V02AT39A043. [Google Scholar]
- Guo, S. Investigation on Aerodynamic Performance of High-Camber-Angle Compressor Cascades with Boundary Layer Suction. Ph.D Thesis, Harbin Institute of Technology, Harbin, China, 2011. [Google Scholar]
- Le, C. Investigation on Separation Structure and Its Steady & Unsteady Control in Super Highly Loaded Compressor Cascade. Ph.D Thesis, Harbin Institute of Technology, Harbin, China, 2015. [Google Scholar]
- Kan, X. Research of Three-Dimensional Vortex Structure in a Transonic Compressor Stator. Ph.D Thesis, Dalian Maritime University, Dalian, China, 2016. [Google Scholar]

















| Parameter | Variable | Value | Unit |
|---|---|---|---|
| Chord length | C | 70 | mm |
| Blade span | H | 160 | mm |
| Blade pitch | t | 54.59 | mm |
| Solidity | C/t | 1.283 | - |
| Turn angle | θ | 20 | ° |
| Incident angle | i | 0, ±2, ±4, ±6 | ° |
| Inlet Mach number | Ma | 0.3 | - |
| Diffusion factor | D | 0.5 | - |
| Parameter | Ori | Case 1 | Case 2 | Case 3 | Case 4 | Case 5 |
|---|---|---|---|---|---|---|
| Length (l/C) | 0 | 0.5 | 0.7 | 0.5 | 1 | 1 |
| Height (h/H) | 0 | 0.3 | 0.3 | 0.4 | 0.4 | 0.15 |
| Incident | Case 1 | Case 2 | Case 3 | Case 4 | Case 5 |
|---|---|---|---|---|---|
| −6 | −0.13% | +1.01% | −0.03% | −0.09% | −0.84% |
| 0 | −13.7% | −11.7% | −19.6% | −3.8% | −5.5% |
| +6 | −0.2% | −24.2% | −27.0% | +3.2% | −22.0% |
© 2019 by the authors. Licensee MDPI, Basel, Switzerland. This article is an open access article distributed under the terms and conditions of the Creative Commons Attribution (CC BY) license (http://creativecommons.org/licenses/by/4.0/).
Share and Cite
Zhao, W.; Zheng, Q.; Malik, A.; Jiang, B. The Effect of Trailing Edge Clearance in Suppressing Hub-Corner Stall. Energies 2019, 12, 256. https://doi.org/10.3390/en12020256
Zhao W, Zheng Q, Malik A, Jiang B. The Effect of Trailing Edge Clearance in Suppressing Hub-Corner Stall. Energies. 2019; 12(2):256. https://doi.org/10.3390/en12020256
Chicago/Turabian StyleZhao, Wenfeng, Qun Zheng, Adil Malik, and Bin Jiang. 2019. "The Effect of Trailing Edge Clearance in Suppressing Hub-Corner Stall" Energies 12, no. 2: 256. https://doi.org/10.3390/en12020256
APA StyleZhao, W., Zheng, Q., Malik, A., & Jiang, B. (2019). The Effect of Trailing Edge Clearance in Suppressing Hub-Corner Stall. Energies, 12(2), 256. https://doi.org/10.3390/en12020256
