A Pore-Scale Investigation of Residual Oil Distributions and Enhanced Oil Recovery Methods
Abstract
1. Introduction
2. Mathematical Model
2.1. Governing Equations
2.2. Phase Field Method
2.3. Numerical Solution
3. Results and Discussion
3.1. Validation of Numerical Model
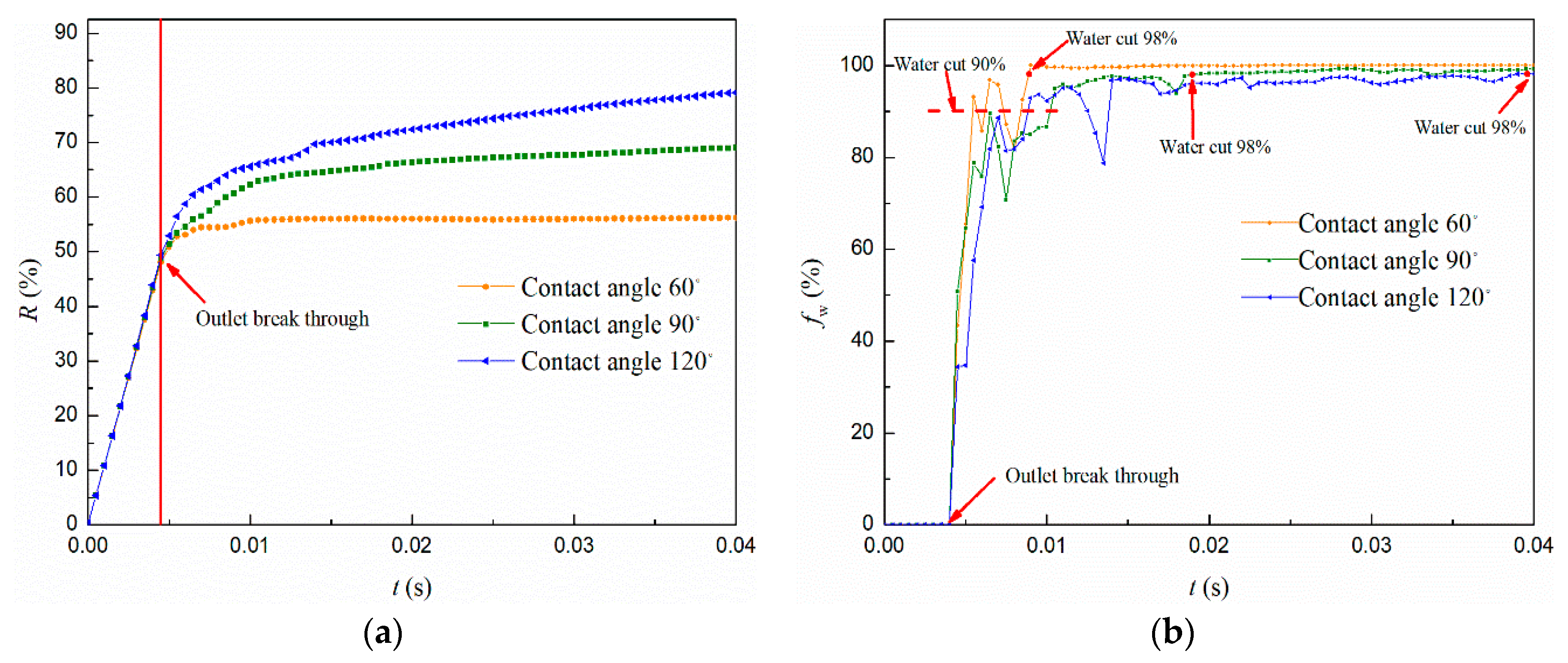
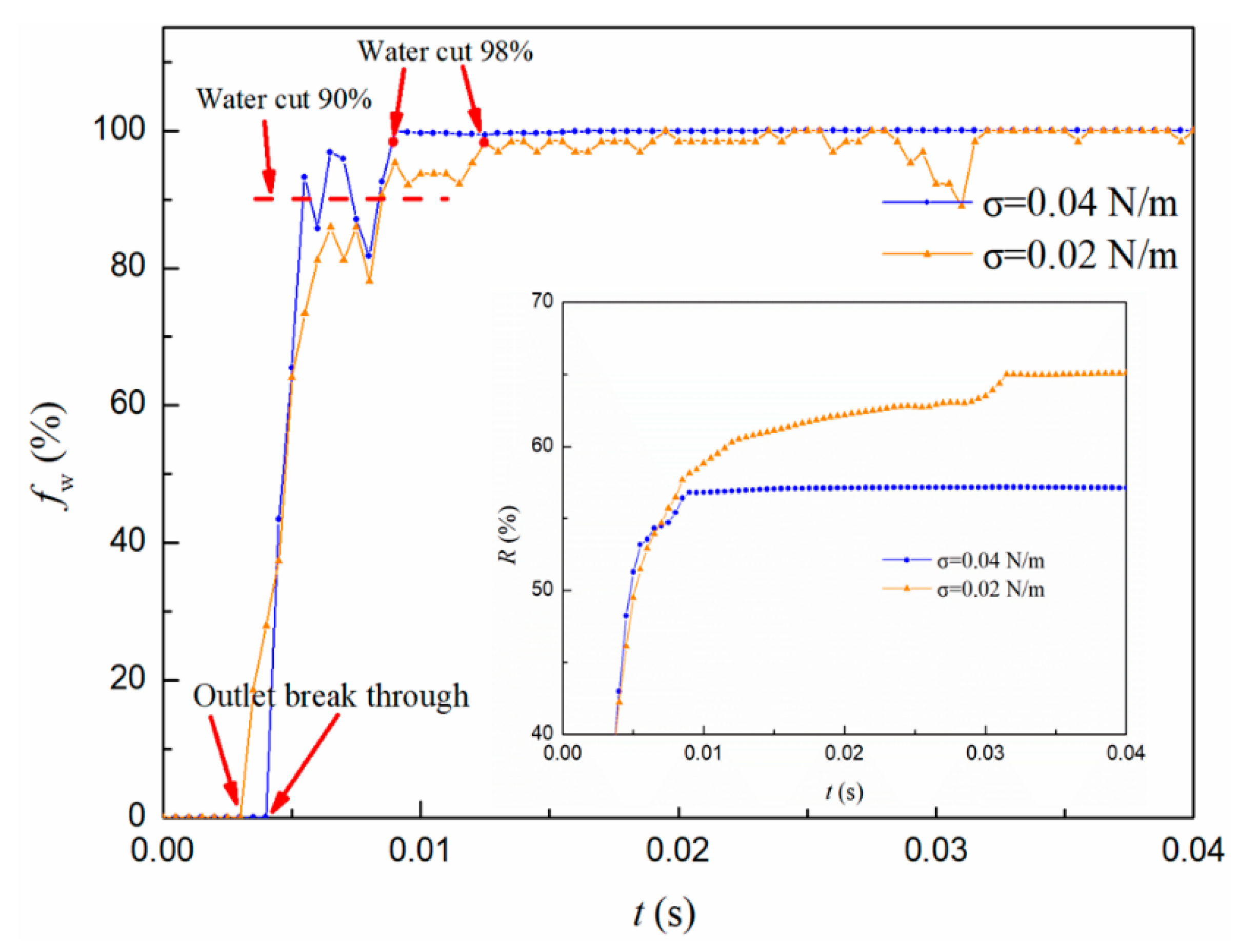
3.2. The Residual Oil Distribution under Different Wetting Conditions
3.3. Pore-Scale Investigation of Enhancing Oil Recovery Methods
3.3.1. Investigation of Surfactant Flooding
3.3.2. Investigation of Polymer Flooding
4. Conclusions
- The distributions of residual oil in porous media are significantly different under different wetting conditions. Rock structure, wettability, and capillary pressure dominate the formation of residual oil.
- The wettability of porous media exerts significant influence on the water-oil production period. The raising rate of water cut slows down when the wettability changes from oil-wet to water-wet, and the economic lifetime of porous media is extended.
- The surfactant flooding not only improves oil displacement efficiency, but also increases microscale sweep efficiency by reducing the entry pressure of micropores. The injection time of the surfactant solution exerts an important influence on the ultimate oil recovery because of the formation of predominant pathway. Implementing surfactant flooding at the low water cut stage is a suitable case to obtain higher ultimate oil recovery.
- Polymer flooding improves oil sweep efficiency by reducing the difference of RMRs in divergent throats and weakening the effect of capillary force. The displacement front is spatially more uniform with a later breakthrough as compared with water flooding. There is no significant correlation between ultimate recovery of polymer flooding and its injection time.
Supplementary Materials
Author Contributions
Funding
Acknowledgments
Conflicts of Interest
References
- Hajirezaie, S.; Wu, X.; Peters, C.A. Scale formation in porous media and its impact on reservoir performance during water flooding. J. Nat. Gas Sci. Eng. 2017, 39, 188–202. [Google Scholar] [CrossRef]
- Shedid, S.A. Influences of fracture orientation on oil recovery by water and polymer flooding processes: An experimental approach. J. Pet. Sci. Eng. 2006, 50, 285–292. [Google Scholar] [CrossRef]
- Cheng, J.; Wu, J.; Hu, J. Key theories and technologies for enhanced oil recovery of alkaline/surfactant/polymer flooding. Acta Pet. Sin. 2014, 35, 310–318. [Google Scholar]
- Mojarad, R.; Settari, A. Velocity-based formation damage characterization method for produced water re-injection: Application on masila block core flood tests. Pet. Sci. Technol. 2008, 26, 937–954. [Google Scholar] [CrossRef]
- Jaramillo, O.J.; Romero, R.; Lucuara, G.; Ortega, A.; Milne, A.W.; Lastre Buelvas, M. Combining stimulation and water control in high-water-cut wells. In Proceedings of the SPE International Symposium and Exhibition on Formation Damage Control, Lafayette, LA, USA, 10–12 February 2010; pp. 1–10. [Google Scholar]
- Song, Z.; Li, Z.; Lai, F.; Liu, G.; Gan, H. Derivation of water flooding characteristic curve for high water-cut oilfields. Pet. Explor. Dev. 2013, 40, 216–223. [Google Scholar] [CrossRef]
- Zhang, L.; Jing, W.; Yang, Y.; Yang, H.; Guo, Y.; Sun, H.; Zhao, J.; Yao, J. Investigation of Permeability Calculation Using Digital Core Simulation Technology. Energies 2019, 12, 3273. [Google Scholar] [CrossRef]
- Sheng, J. Enhanced oil recovery in shale reservoirs by gas injection. J. Nat. Gas Sci. Eng. 2015, 22, 252–259. [Google Scholar] [CrossRef]
- Cai, J.; Zhang, Z.; Kang, Q.; Harpteet, S. Recent Advances in Flow and Transport Properties of Unconventional Reservoirs. Energies 2019, 12, 1865. [Google Scholar] [CrossRef]
- Alvarado, V.; Manrique, E. Enhanced Oil Recovery: An Update Review. Energies 2010, 3, 1529–1575. [Google Scholar] [CrossRef]
- Gan, L.; Dai, X.; Zhang, X.; Li, L.; Du, W.; Liu, X.; Gao, Y.; Liu, M.; Ma, S.; Huang, Z. Key technologies for seismic reservoir characterization of high water-cut oilfields. Pet. Explor. Dev. 2012, 39, 391–404. [Google Scholar] [CrossRef]
- Yang, Y.; Yang, H.; Tao, L.; Yao, J.; Wang, W.; Zhang, K.; Luquot, L. Microscopic determination of remaining oil distribution in sandstones with different permeability scales using CT-scanning. J. Energy Resour. Technol.-Trans. ASME 2019, 141, 092903. [Google Scholar] [CrossRef]
- Iglauer, S.; Fernø, M.; Shearing, P.; Blunt, M. Comparison of residual oil cluster size distribution, morphology and saturation in oil-wet and water-wet sandstone. J. Colloid Interface Sci. 2012, 375, 187–192. [Google Scholar] [CrossRef] [PubMed]
- Yan, X.; Huang, Z.; Yao, J.; Li, Y.; Fan, D. An efficient embedded discrete fracture model based on mimetic finite difference method. J. Pet. Sci. Eng. 2016, 145, 11–21. [Google Scholar] [CrossRef]
- Cai, J.; Yu, B. A Discussion of the Effect of Tortuosity on the Capillary Imbibition in Porous Media. Transp. Porous Media 2011, 89, 251–263. [Google Scholar] [CrossRef]
- Chen, Y.; Fang, S.; Wu, D.; Hu, R. Visualizing and quantifying the crossover from capillary fingering to viscous fingering in a rough fracture. Water Resour. Res. 2017, 53, 7756–7772. [Google Scholar] [CrossRef]
- Meng, Q.; Xu, S.; Cai, J. Microscopic studies of immiscible displacement behavior in interconnected fractures and cavities. J. Energy Resour. Technol. Trans. ASME 2019, 141, 092901. [Google Scholar] [CrossRef]
- Wu, K.; Van Dijke, M.I.; Couples, G.D.; Jiang, Z.; Ma, J.; Sorbie, K.S.; Crawford, J.; Young, I.; Zhang, X. 3D stochastic modelling of heterogeneous porous media–applications to reservoir rocks. Transp. Porous Media 2006, 65, 443–467. [Google Scholar] [CrossRef]
- Yang, Y.; Liu, Z.; Yao, J.; Zhang, L.; Ma, J.; Hejazi, S.; Luquot, L.; Ngarta, T. Flow simulation of artificially induced microfractures using digital rock and lattice Boltzmann methods. Energies 2018, 11, 2145. [Google Scholar] [CrossRef]
- Kumar, M.; Knackstedt, M.A.; Senden, T.J.; Sheppard, A.P.; Middleton, J.P. Visualizing and quantifying the residual phase distribution in core material. Petrophysics 2010, 51, 323–332. [Google Scholar]
- Gao, H.; Liu, Y.; Zhang, Z.; Niu, B.; Li, H. Impact of secondary and tertiary floods on microscopic residual oil distribution in medium-to-high permeability cores with NMR technique. Energy Fuels 2015, 29, 4721–4729. [Google Scholar] [CrossRef]
- Jamaloei, B.Y.; Kharrat, R. Analysis of microscopic displacement mechanisms of dilute surfactant flooding in oil-wet and water-wet porous media. Transp. Porous Media 2010, 81, 1–19. [Google Scholar] [CrossRef]
- Ahmadi, M.A.; Shadizadeh, S.R. Implementation of a high-performance surfactant for enhanced oil recovery from carbonate reservoirs. J. Pet. Sci. Eng. 2013, 110, 66–73. [Google Scholar] [CrossRef]
- Souza, F.M.; Nandenha, J.; Batista, B.L.; Oliveira, V.H.A.; Pinheiro, V.S.; Parreira, L.S.; Neto, A.O.; Santos, M.C. Pd x Nb y electrocatalysts for DEFC in alkaline medium: Stability, selectivity and mechanism for EOR. Int. J. Hydrogen Energy 2018, 43, 4505–4516. [Google Scholar] [CrossRef]
- Lu, C.; Zhao, W.; Liu, Y.; Dong, X. Pore-scale transport mechanisms and macroscopic displacement effects of in-situ Oil-in-Water emulsions in porous media. J. Energy Resour. Technol.-Trans. ASME 2018, 140, 102904. [Google Scholar] [CrossRef]
- Buchgraber, M.; Clemens, T.; Castanier, L.M.; Kovscek, A. A microvisual study of the displacement of viscous oil by polymer solutions. SPE Reserv. Eval. Eng. 2011, 14, 269–280. [Google Scholar] [CrossRef]
- Dong, M.; Ma, S.; Liu, Q. Enhanced heavy oil recovery through interfacial instability: A study of chemical flooding for Brintnell heavy oil. Fuel 2009, 88, 1049–1056. [Google Scholar] [CrossRef]
- Rodríguez, D.C.A.; Oostrom, M.; Shokri, N. Effects of shear-thinning fluids on residual oil formation in microfluidic pore networks. J. Colloid Interface Sci. 2016, 472, 34–43. [Google Scholar] [CrossRef]
- Bera, A.; Mandal, A.; Guha, B. Synergistic effect of surfactant and salt mixture on interfacial tension reduction between crude oil and water in enhanced oil recovery. J. Chem. Eng. Data 2013, 59, 89–96. [Google Scholar] [CrossRef]
- Maghzi, A.; Kharrat, R.; Mohebbi, A.; Ghazanfari, M.H. The impact of silica nanoparticles on the performance of polymer solution in presence of salts in polymer flooding for heavy oil recovery. Fuel 2014, 123, 123–132. [Google Scholar] [CrossRef]
- Wang, S.; Feng, Q.; Dong, Y.; Han, X.; Wang, S. A dynamic pore-scale network model for two-phase imbibition. J. Nat. Gas Sci. Eng. 2015, 26, 118–129. [Google Scholar] [CrossRef]
- Peszynska, M.; Trykozko, A. Pore-to-core simulations of flow with large velocities using continuum models and imaging data. Comput. Geosci. 2013, 17, 623–645. [Google Scholar] [CrossRef]
- Tryggvason, G.; Bunner, B.; Esmaeeli, A.; Juric, D.; Al-Rawahi, N.; Tauber, W.; Han, J.; Nas, S.; Jan, Y. A front-tracking method for the computations of multiphase flow. J. Comput. Phys. 2001, 169, 708–759. [Google Scholar] [CrossRef]
- Guo, Y.; Zhang, L.; Yao, J.; Sun, H.; Yang, Y.; Huang, T. Mechanisms of water flooding characteristic curve upwarping at high water-cut stage and influencing factors. Chin. Sci. Bull. 2019, 64. [Google Scholar] [CrossRef]
- Graveleau, M.; Soulaine, C.; Tchelepi, H.A. Pore-scale simulation of interphase multicomponent mass transfer for subsurface flow. Transp. Porous Media 2017, 120, 287–308. [Google Scholar] [CrossRef]
- Enright, D.; Fedkiw, R.; Ferziger, J.; Mitchell, I. A hybrid particle level set method for improved interface capturing. J. Comput. Phys. 2002, 183, 83–116. [Google Scholar] [CrossRef]
- Villanueva, W.; Amberg, G. Some generic capillary-driven flows. Int. J. Multiph. Flow 2006, 32, 1072–1086. [Google Scholar] [CrossRef]
- Gunde, A.C.; Bera, B.; Mitra, S.K. Investigation of water and CO2 (carbon dioxide) flooding using micro-CT (micro-computed tomography) images of Berea sandstone core using finite element simulations. Energy 2010, 35, 5209–5216. [Google Scholar] [CrossRef]
- Boyer, F.; Lapuerta, C.; Minjeaud, S.; Piar, B.; Quintard, M. Cahn–Hilliard/Navier–Stokes model for the simulation of three-phase flows. Transp. Porous Media 2010, 82, 463–483. [Google Scholar] [CrossRef]
- Zhou, C.; Yue, P.; Feng, J.; Ollivier-Gooch, C.F.; Hu, H. 3D phase-field simulations of interfacial dynamics in Newtonian and viscoelastic fluids. J. Comput. Phys. 2010, 229, 498–511. [Google Scholar] [CrossRef]
- Zhu, G.; Chen, H.; Yao, J.; Sun, S. Efficient energy-stable schemes for the hydrodynamics coupled phase-field model. Appl. Math. Model. 2019, 70, 82–108. [Google Scholar] [CrossRef]
- Liu, H.; Valocchi, A.J.; Werth, C.; Kang, Q.; Oostrom, M. Pore-scale simulation of liquid CO2 displacement of water using a two-phase lattice Boltzmann model. Adv. Water Resour. 2014, 73, 144–158. [Google Scholar] [CrossRef]
- Zhu, G.; Yao, J.; Zhang, L.; Sun, H.; Li, A.; Zhang, K. Pore-scale investigation of residual oil distributions and formation mechanisms at the extra-high water-cut stage. Chin. Sci. Bull. 2017, 62, 2553–2563. [Google Scholar] [CrossRef]
- Abidin, A.Z.; Puspasari, T.; Nugroho, W.A. Polymers for enhanced oil recovery technology. Procedia Chem. 2012, 4, 11–16. [Google Scholar] [CrossRef]
- Wang, Z.; Yu, T.; Lin, X.; Wang, X.; Su, L. Chemicals loss and the effect on formation damage in reservoirs with ASP flooding enhanced oil recovery. J. Nat. Gas Sci. Eng. 2016, 33, 1381–1389. [Google Scholar] [CrossRef]















| Wettability of Porous Media | Oil-Wet Porous Media | Water-Wet Porous Media | 
|---|---|---|
| Rate of motive powers to resistances (RMR) | ||
| Difference of RMRs in divergent throats | Reduction | Reduction | 
© 2019 by the authors. Licensee MDPI, Basel, Switzerland. This article is an open access article distributed under the terms and conditions of the Creative Commons Attribution (CC BY) license (http://creativecommons.org/licenses/by/4.0/).
Share and Cite
Guo, Y.; Zhang, L.; Zhu, G.; Yao, J.; Sun, H.; Song, W.; Yang, Y.; Zhao, J. A Pore-Scale Investigation of Residual Oil Distributions and Enhanced Oil Recovery Methods. Energies 2019, 12, 3732. https://doi.org/10.3390/en12193732
Guo Y, Zhang L, Zhu G, Yao J, Sun H, Song W, Yang Y, Zhao J. A Pore-Scale Investigation of Residual Oil Distributions and Enhanced Oil Recovery Methods. Energies. 2019; 12(19):3732. https://doi.org/10.3390/en12193732
Chicago/Turabian StyleGuo, Yaohao, Lei Zhang, Guangpu Zhu, Jun Yao, Hai Sun, Wenhui Song, Yongfei Yang, and Jianlin Zhao. 2019. "A Pore-Scale Investigation of Residual Oil Distributions and Enhanced Oil Recovery Methods" Energies 12, no. 19: 3732. https://doi.org/10.3390/en12193732
APA StyleGuo, Y., Zhang, L., Zhu, G., Yao, J., Sun, H., Song, W., Yang, Y., & Zhao, J. (2019). A Pore-Scale Investigation of Residual Oil Distributions and Enhanced Oil Recovery Methods. Energies, 12(19), 3732. https://doi.org/10.3390/en12193732
 
        



 
       