Evaluation of Photovoltaic Power Generation by Using Deep Learning in Solar Panels Installed in Buildings
Abstract
:1. Introduction
2. Methodology
3. Selection of Solar Panels
3.1. Deriving Ideal PV Power Generation
3.2. Equation for Irradiance Received by Inclined Solar Panels
3.3. Estimating the Power Output of the Inclined Solar Panels
4. Hourly Solar Radiation Prediction
4.1. Experimental Data
4.2. DNNs and Modeling
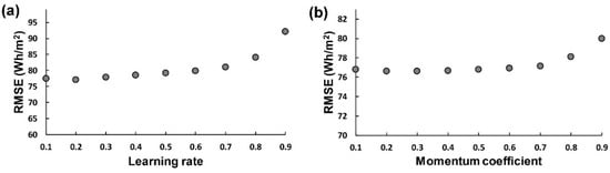
4.3. Modeling and Parameter Calibration
4.4. Forecast of Solar Radiation Prediction
5. Simulation of PV Power Generation
6. Usage and Limitations of the Methodology
7. Conclusions
Author Contributions
Funding
Acknowledgments
Conflicts of Interest
References
- Zahedi, A. Solar photovoltaic (PV) energy; latest developments in the building integrated and hybrid PV systems. Renew. Energy 2006, 31, 711–718. [Google Scholar] [CrossRef]
- Messenger, R.; Ventre, J. Photovoltaic Systems Engineering; CRC Press: Boca Raton, FL, USA, 2000; pp. 11–12, 41–51. [Google Scholar]
- Chen, F.C. A Meteorology Assessment for Photovoltaic Generation. Master’s Thesis, Southern Taiwan University of Science and Technology, Tainan, China, 2006. (In Chinese). [Google Scholar]
- Sopian, K.; Cheow, S.L.; Zaidi, S.H. An overview of crystalline silicon solar cell technology: Past, present, and future. AIP Conf. Proc. 2017, 1877, 020004. [Google Scholar]
- Muzathik, A.M. Photovoltaic modules operating temperature estimation using a simple correlation. Int. J. Energy Eng. 2014, 4, 151–158. [Google Scholar]
- Kim, B.C.; Kim, J.; Kim, K. Evaluation model for investment in solar photovoltaic power generation using fuzzy analytic hierarchy process. Sustainability 2019, 11, 2905. [Google Scholar] [CrossRef]
- Kovač, M.; Stegnar, G.; Al-Mansour, F.; Merše, S.; Pečjak, A. Assessing solar potential and battery instalment for self-sufficient buildings with simplified model. Energy 2019, 173, 1182–1195. [Google Scholar] [CrossRef]
- Le, N.T.; Benjapolakul, W. Evaluation of contribution of PV array and inverter configurations to rooftop PV system energy yield using machine learning techniques. Energies 2019, 12, 3158. [Google Scholar] [CrossRef]
- Jeong, K.; Hong, T.; Koo, C.; Oh, J.; Lee, M.; Kim, J. A prototype design and development of the smart photovoltaic system blind considering the photovoltaic panel, tracking system, and monitoring system. Appl. Sci. 2017, 7, 1077. [Google Scholar] [CrossRef]
- Mahmud, M.A.P.; Huda, N.; Farjana, S.H.; Lang, C. Environmental impacts of solar-photovoltaic and solar-thermal systems with life-cycle assessment. Energies 2018, 11, 2346. [Google Scholar] [CrossRef]
- Kouhestani, F.M.; Byrne, J.; Johnson, D.; Spencer, L.; Hazendonk, P.; Brown, B. Evaluating solar energy technical and economic potential on rooftops in an urban setting: The city of Lethbridge, Canada. Int. J. Energy Environ. Eng. 2019, 10, 13–32. [Google Scholar] [CrossRef]
- Balo, F.; Şağbanşua, L. The selection of the best solar panel for the photovoltaic system design by using AHP. Energy Procedia 2016, 100, 50–53. [Google Scholar] [CrossRef]
- Nfaoui, M.; El-Hami, K. Extracting the maximum energy from solar panels. Energy Rep. 2018, 4, 536–545. [Google Scholar] [CrossRef]
- Wang, T.C.; Tsai, S.Y. Solar panel supplier selection for the photovoltaic system design by using fuzzy multi-criteria decision making (MCDM) approaches. Energies 2018, 11, 1989. [Google Scholar] [CrossRef]
- Guechi, A.; Chegaar, M. Effects of diffuse spectral illumination on microcrystalline solar cells. J. Electron Devices Soc. 2007, 5, 116–121. [Google Scholar]
- Notton, G.; Cristofari, C.; Muselli, M.; Poggi, P. Calculation on an hourly basis of solar diffuse irradiations from global data for horizontal surfaces in Ajaccio. Energy Convers. Manag. 2004, 45, 2849–2866. [Google Scholar] [CrossRef]
- Gopinathan, K.K. Solar radiation on variously oriented sloping surfaces. Sol. Energy 1991, 47, 173–179. [Google Scholar] [CrossRef]
- Kambezidis, H.D.; Psiloglou, B.E.; Synodinou, B.M. Comparison between measurements and models for daily solar irradiation on tilted surfaces in Athens, Greece. Renew. Energy 1997, 10, 505–518. [Google Scholar] [CrossRef]
- Robledo, L.; Soler, A. Modelling daylight on inclined surfaces for applications to daylight conscious architecture. Renew. Energy 1997, 11, 149–152. [Google Scholar] [CrossRef]
- Nijmeh, S.; Mamlook, R. Testing of two models for computing global solar radiation on tilted surfaces. Renew. Energy 2000, 20, 75–81. [Google Scholar] [CrossRef]
- Maleki, S.A.M.; Hizam, H.; Gomes, C. Estimation of hourly, daily and monthly global solar radiation on inclined surfaces: Models re-visited. Energies 2017, 10, 134. [Google Scholar] [CrossRef]
- Chen, S.X.; Gooi, H.B.; Wang, M.Q. Solar radiation forecast based on fuzzy logic and neural networks. Renew. Energy 2013, 60, 195–201. [Google Scholar] [CrossRef]
- Ding, M.; Wang, L.; Bi, R. An ANN-based approach for forecasting the power output of photovoltaic system. Procedia Environ. Sci. 2011, 11 Pt C, 1308–1315. [Google Scholar] [CrossRef]
- Dorvlo, A.S.S.; Jervaseb, J.; Al-Lawatib, A. Solar radiation estimation using artificial neural networks. Appl. Energy 2015, 71, 307–319. [Google Scholar] [CrossRef]
- Inman, R.H.; Pedro, H.T.C.; Coimbra, C.F.M. Solar forecasting methods for renewable energy integration. Prog. Energy Combust. Sci. 2013, 39, 535–576. [Google Scholar] [CrossRef]
- Khandakar, A.; Chowdhury, M.E.H.; Kazi, M.K.; Benhmed, K.; Touati, F.; Al-Hitmi, M.; Gonzales, S.P., Jr. Machine learning based photovoltaics (PV) power prediction using different environmental parameters of Qatar. Energies 2019, 12, 2782. [Google Scholar] [CrossRef]
- Li, Z.; Rahman, S.M.; Vega, R.; Dong, B. A hierarchical approach using machine learning methods in solar photovoltaic energy production forecasting. Energies 2016, 9, 55. [Google Scholar] [CrossRef]
- Monteiro, C.; Santos, T.; Fernandez-Jimenez, L.A.; Ramirez-Rosado, I.J.; Terreros-Olarte, M.S. Short-term power forecasting model for photovoltaic plants based on historical similarity. Energies 2013, 6, 2624–2643. [Google Scholar] [CrossRef]
- Notton, G.; Paoli, C.; Diaf, S. Estimation of tilted solar irradiation using Artificial Neural Networks. Energy Procedia 2013, 42, 33–42. [Google Scholar] [CrossRef]
- Persson, C.; Bacher, P.; Shiga, T.; Madsen, H. Multi-site solar power forecasting using gradient boosted regression trees. Sol. Energy 2017, 150, 423–436. [Google Scholar] [CrossRef]
- Reda, I.; Andreas, A. Solar position algorithm for solar radiation applications. Sol. Energy 2004, 76, 577–589. [Google Scholar] [CrossRef]
- Shen, C.; He, Y.L.; Liu, Y.W.; Tao, W.Q. Modelling and simulation of solar radiation data processing with Simulink. Simul. Model. Pract. Theory 2008, 16, 721–735. [Google Scholar] [CrossRef]
- Yang, D.; Gu, C.; Dong, Z.; Jirutitijaroen, P.; Chen, N.; Walsh, W.M. Solar irradiance forecasting using spatial-temporal covariance structures and time-forward kriging. Renew. Energy 2013, 60, 235–245. [Google Scholar] [CrossRef]
- Yeom, J.M.; Han, K.S. Improved estimation of surface solar insolation using a neural network and MTSAT-1R data. Comput. Geosci. 2010, 36, 590–597. [Google Scholar] [CrossRef]
- Hocaoglu, F.O. Stochastic approach for daily solar radiation modeling. Sol. Energy 2011, 85, 278–287. [Google Scholar] [CrossRef]
- Pedro, H.T.C.; Coimbra, C.F.M. Nearest-neighbor methodology for prediction of intra-hour global horizontal and direct normal irradiances. Renew. Energy 2015, 80, 770–782. [Google Scholar] [CrossRef]
- Bosch, J.L.; Lopez, G.; Batlles, F.J. Daily solar irradiation estimation over a mountainous area using artificial neural network. Renew. Energy 2008, 33, 1622–1628. [Google Scholar] [CrossRef]
- Wang, F.; Mi, Z.; Su, S.; Zhao, H. Short-term solar irradiance forecasting model based on artificial neural network using statistical feature parameters. Energies 2012, 5, 1355–1370. [Google Scholar] [CrossRef]
- Wei, C.C. Predictions of surface solar radiation on tilted solar panels using machine learning models: Case study of Tainan City, Taiwan. Energies 2017, 10, 1660. [Google Scholar] [CrossRef]
- Zhu, H.; Li, X.; Sun, Q.; Nie, L.; Yao, J.; Zhao, G. A power prediction method for photovoltaic power plant based on wavelet decomposition and artificial neural networks. Energies 2016, 9, 11. [Google Scholar] [CrossRef]
- Cao, J.; Lin, X. Application of the diagonal recurrent wavelet neural network to solar irradiation forecast assisted with fuzzy technique. Eng. Appl. Artif. Intell. 2008, 21, 1255–1263. [Google Scholar] [CrossRef]
- Urraca, R.; Antonanzas, J.; Alia-Martinez, M.; Martinez-de-Pison, F.J.; Antonanzas-Torres, F. Smart baseline models for solar irradiation forecasting. Energy Convers. Manag. 2016, 108, 539–548. [Google Scholar] [CrossRef]
- Yousif, J.H.; Kazem, H.A.; Boland, J. Predictive models for photovoltaic electricity production in hot weather conditions. Energies 2017, 10, 971. [Google Scholar] [CrossRef]
- Hinton, G.E.; Osindero, S.; Teh, Y.W. A fast learning algorithm for deep belief nets. Neural Comput. 2014, 18, 1527–1554. [Google Scholar] [CrossRef] [PubMed]
- Ghimire, S.; Deo, R.C.; Raj, N.; Mi, J. Deep learning neural networks trained with MODIS satellite-derived predictors for long-term global solar radiation prediction. Energies 2019, 12, 2407. [Google Scholar] [CrossRef]
- Li, C.; Ding, Z.; Zhao, D.; Yi, J.; Zhang, G. Building energy consumption prediction: An extreme deep learning approach. Energies 2017, 10, 1525. [Google Scholar] [CrossRef]
- Ryu, S.; Noh, J.; Kim, H. Deep neural network based demand side short term load forecasting. Energies 2017, 10, 3. [Google Scholar] [CrossRef]
- Tsai, H.L. Insolation-oriented model of photovoltaic module using Matlab/Simulink. Sol. Energy 2010, 84, 1318–1326. [Google Scholar] [CrossRef]
- Tian, H.; Mancilla-David, F.; Ellis, K.; Muljadi, E.; Jenkins, P. A cell-to-module-to-array detailed model for photovoltaic panels. Sol. Energy 2012, 86, 2695–2706. [Google Scholar] [CrossRef]
- Angrist, S.W. Direct Energy Conversion, 4th ed.; Allyn and Bacon, Inc.: Boston, MA, USA, 1982; pp. 177–227. [Google Scholar]
- BP Official Website. Available online: https://www.bp.com/ (accessed on 10 July 2019).
- Shih, H. Cost and Benefit Analysis of Community-based Solar Power System. Master’s Thesis, National Chiao Tung University, Taiwan, China, 2009. (In Chinese). [Google Scholar]
- Piyatida, T.; Chumnong, S.; Dhirayut, C. Estimating operating cell temperature of BIPV modules in Thailand. Renew. Energy 2009, 4, 2515–2523. [Google Scholar]
- Rauschenbach, H.S. Solar Cell Array Design Handbook; Van Nostrand Reinhold: New York, NY, USA, 1980; pp. 390–391. [Google Scholar]
- Ross, R.G. Interface Design Considerations for Terrestrial Solar Cells Modules. In Proceedings of the 12th IEEE Photovoltaic Specialist’s Conference, Baton Rouge, LA, USA, 7–10 January 1976; pp. 801–806. [Google Scholar]
- Risser, V.V.; Fuentes, M.K. Linear Regression Analysis of Flat-plate Photovoltaic System Performance Data. In Proceedings of the 5th Photovoltaic Solar Energy Conference, Athens, Greece, 17–21 October 1983. [Google Scholar]
- Schott, T. Operation Temperatures of PV Modules: A Theoretical and Experimental Spproach. In Proceedings of the Sixth EC Photovoltaic Solar Energy Conference, London, UK, 15–19 April 1985. [Google Scholar]
- Koehl, M.; Heck, M.; Wiesmeier, S.; Wirth, J. Modeling of the nominal operating cell temperature based on outdoor weathering. Sol. Energy Mater. Sol. Cells 2011, 95, 1638–1646. [Google Scholar] [CrossRef]
- Jakhrani, A.Q.; Othman, A.K.; Rigit, A.R.H.; Samo, S.R. Comparison of solar photovoltaic module temperature models. World Appl. Sci. J. 2011, 14, 01–08. [Google Scholar]
- Kamuyu, W.C.L.; Lim, J.R.; Won, C.S.; Ahn, H.K. Prediction model of photovoltaic module temperature for power performance of floating PVs. Energies 2018, 11, 447. [Google Scholar] [CrossRef]
- Servant, J.M. Calculation of the Cell Temperature for Photovoltaic Modules from Climatic Data. In Proceedings of the 9th biennial congress of ISES- Intersol 85, Montreal, QC, Canada; 1985; p. 370. [Google Scholar]
- Exell, R.H.B. A mathematical model for solar radiation in South-East Asia (Thailand). Sol. Energy 1981, 26, 161–168. [Google Scholar] [CrossRef]
- Markvart, T. Solar Electricity; John Wiley & Sons Ltd.: New York, NY, USA, 1994. [Google Scholar]
- Lo, D.C.; Wei, C.C.; Tsai, N.P. Parameter automatic calibration approach for neural-network-based cyclonic precipitation forecast models. Water 2015, 7, 3963–3977. [Google Scholar] [CrossRef]
- Wei, C.C.; Hsieh, C.J. Using adjacent buoy information to predict wave heights of typhoons offshore of northeastern Taiwan. Water 2018, 10, 1800. [Google Scholar] [CrossRef]
- Nair, V.; Hinton, G. Rectified Linear Units Improve Restricted Boltzmann machines. In Proceedings of the 27th International Conference on Machine Learning, Haifa, Israel; 2010; pp. 807–814. [Google Scholar]
- Trenn, S. Multilayer perceptrons: Approximation order and necessary number of hidden units. IEEE Trans. Neural Netw. 2008, 19, 836–844. [Google Scholar] [CrossRef] [PubMed]
- Tsai, C.C.; Lu, M.C.; Wei, C.C. Decision tree-based classifier combined with neural-based predictor for water-stage forecasts in a river basin during typhoons: A case study in Taiwan. Environ. Eng. Sci. 2012, 29, 108–116. [Google Scholar] [CrossRef]
- Solomatine, D.P.; Ostfeld, A. Data-driven modelling: Some past experiences and new approaches. J. Hydroinform. 2008, 10, 3–22. [Google Scholar] [CrossRef]










| Module | Maximum Power (Pmax) | Voltage at Pmax | Current at Pmax | Temperature Coefficient of Power | Dimension of Module |
|---|---|---|---|---|---|
| BP350 | 50 W | 17.3 V | 2.89 A | −0.5%/°C | 839 mm × 537 mm |
| BP365 | 65 W | 17.6 V | 3.69 A | −0.5%/°C | 1111 mm × 502 mm |
| BP380 | 80 W | 17.6 V | 4.55 A | −0.5%/°C | 1204 mm × 537 mm |
| BP3125 | 125 W | 17.6 V | 7.1 A | −0.5%/°C | 1510 mm × 674 mm |
| Attribute | Air Pressure on the Ground | Ground Temperature | Relative Humidity | Surface Wind Velocity | Precipitation | Sunshine Duration | Surface Solar Radiation |
|---|---|---|---|---|---|---|---|
| Unit | hPa | °C | % | m/s | mm | h | Wh/m2 |
| Mean | 1009.8 | 24.60 | 74.38 | 2.97 | 0.21 | 0.23 | 188.87 |
| Std. dev. | 5.663 | 5.234 | 10.34 | 1.689 | 1.829 | 0.37 | 276.52 |
| Maximum | 1029.6 | 35.8 | 100 | 19.5 | 90.5 | 1 | 1161.1 |
| Minimum | 973.4 | 5.8 | 22 | 0 | 0 | 0 | 0 |
| Title Attribute | Declination Angle | Hour Angle | Zenith Angle | Elevation Angle | Azimuth Angle |
|---|---|---|---|---|---|
| Unit | Degree | Degree | degree | Degree | degree |
| Mean | −0.01 | 7.50 | 90 | 0 | 0 |
| Std. dev. | 16.58 | 103.83 | 43.84 | 43.84 | 65.10 |
| Maximum | 23.45 | 180 | 179.98 | 89.98 | 90.00 |
| Minimum | −23.45 | −165 | 0.02 | −89.98 | −90.00 |
© 2019 by the author. Licensee MDPI, Basel, Switzerland. This article is an open access article distributed under the terms and conditions of the Creative Commons Attribution (CC BY) license (http://creativecommons.org/licenses/by/4.0/).
Share and Cite
Wei, C.-C. Evaluation of Photovoltaic Power Generation by Using Deep Learning in Solar Panels Installed in Buildings. Energies 2019, 12, 3564. https://doi.org/10.3390/en12183564
Wei C-C. Evaluation of Photovoltaic Power Generation by Using Deep Learning in Solar Panels Installed in Buildings. Energies. 2019; 12(18):3564. https://doi.org/10.3390/en12183564
Chicago/Turabian StyleWei, Chih-Chiang. 2019. "Evaluation of Photovoltaic Power Generation by Using Deep Learning in Solar Panels Installed in Buildings" Energies 12, no. 18: 3564. https://doi.org/10.3390/en12183564
APA StyleWei, C.-C. (2019). Evaluation of Photovoltaic Power Generation by Using Deep Learning in Solar Panels Installed in Buildings. Energies, 12(18), 3564. https://doi.org/10.3390/en12183564
