Fracture Evaluation and Dynamic Stress Concentration of Granite Specimens Containing Elliptic Cavity under Dynamic Loading
Abstract
:1. Introduction
2. Experimental Process and Result Analysis
2.1. Material Identification and Experimental Program
2.2. Experimental Results and Analyses
3. Numerical Material Model and Validation
4. Numerical Simulation Results and Analyses
4.1. Stress Evaluation and Failure Characteristics around the Hole
4.2. Dynamic Stress Concentration Factor (DSCF) around the Hole
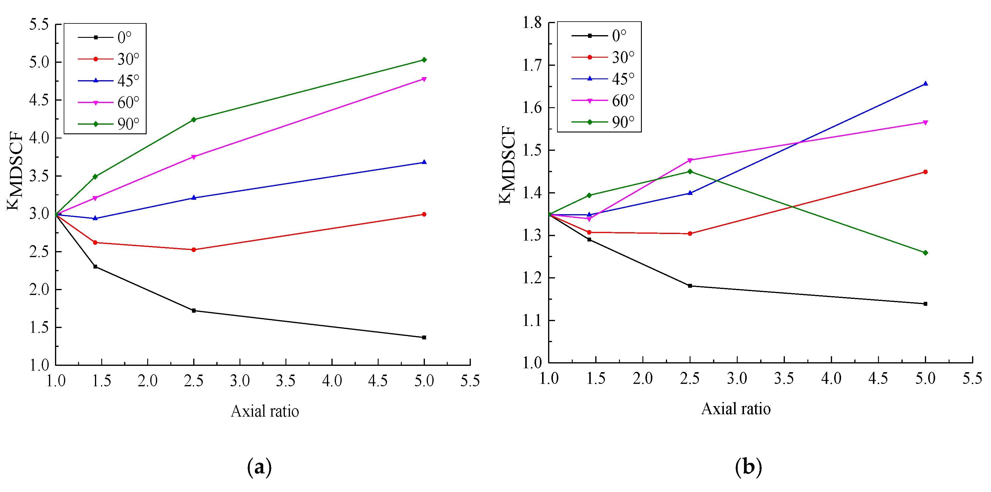
4.2.1. DSCF at the Same Dip Angle and Different Axial Ratios
4.2.2. DSCF at the Same Axial Ratio and Different Dip Angles
5. Conclusions
Author Contributions
Funding
Conflicts of Interest
References
- Xia, K.W.; Yao, W. Dynamic rock tests using split Hopkinson (Kolsky) bar system—A review. J. Rock Mech. Geotech. Eng. 2015, 7, 27–59. [Google Scholar] [CrossRef]
- Gu, H.L.; Tao, M.; Li, X.B.; Li, Q.Y.; Cao, W.Z.; Wang, F.; Zaretsky, E. , Dynamic response and failure mechanism of fractured coal under different soaking times. Theor Appl. Fract. Mech. 2018, 98, 112–122. [Google Scholar] [CrossRef]
- Zhu, J.B.; Liao, Z.Y.; Tang, C.A. Numerical SHPB tests of rocks under combined static and dynamic loading conditions with application to dynamic behavior of rocks under in situ stresses. Rock Mech. Rock Eng. 2016, 49, 3935–3946. [Google Scholar] [CrossRef]
- Liao, Z.Y.; Zhu, J.B.; Xia, K.W.; Tang, C.A. Determination of dynamic compressive and tensile behavior of rocks from numerical tests of split Hopkinson pressure and tension bars. Rock Mech. Rock Eng. 2016, 49, 3917–3934. [Google Scholar] [CrossRef]
- Li, D.Y.; Cheng, T.J.; Zhou, T.; Li, X.B. Experimental study of the dynamic strength and fracturing characteristics of marble specimens with a single hole under impact loading. Chin. J. Rock Mech. Eng. 2015, 34, 249–260. [Google Scholar]
- Tao, M.; Ma, A.; Cao, W.; Li, X.; Gong, F. Dynamic response of pre-stressed rock with a circular cavity subject to transient loading. Int. J. Rock Mech. Min. Sci. 2017, 99, 1–8. [Google Scholar] [CrossRef]
- Tao, M.; Zhao, H.; Li, X.; Li, X.; Du, K. Failure characteristics and stress distribution of pre-stressed rock specimen with circular cavity subjected to dynamic loading. Tunn. Undergr. Space Technol. 2018, 81, 1–15. [Google Scholar] [CrossRef]
- Pao, Y.H.; Mow, C.C.; Achenbach, J.D. Diffraction of Elastic Waves and Dynamic Stress Concentrations. J. Appl. Mech. 1973, 40, 872. [Google Scholar] [CrossRef]
- Liu, Q.J.; Zhang, C.; Todorovska, M.I. Scattering of SH waves by a shallow rectangular cavity in an elastic half space. Soil. Dynam. Earthq. Eng. 2016, 90, 147–157. [Google Scholar] [CrossRef]
- Yi, C.P.; Zhang, P.; Johansson, D.; Nyberg, U. Dynamic response of a circular lined tunnel with an imperfect interface subjected to cylindrical P-waves. Comput. Geotech. 2014, 55, 165–171. [Google Scholar] [CrossRef]
- Yi, C.P.; Lu, W.B.; Zhang, P.; Johansson, D.; Nyberg, U. Effect of imperfect interface on the dynamic response of a circular lined tunnel impacted by plane P-waves. Tunn. Undergr. Space. Technol. 2016, 51, 68–74. [Google Scholar] [CrossRef]
- Tao, M.; Li, Z.W.; Cao, W.Z.; Li, X.B.; Wu, C.Q. Stress redistribution of dynamic loading incident with arbitrary waveform through a circular cavity. Int. J. Numer. Anal. Methods Geomech. 2019, 43, 1279–1299. [Google Scholar] [CrossRef]
- Lin, G.; Li, Z.Y.; Li, J.B. A substructure replacement technique for the numerical solution of wave scattering problem. Soil. Dynam Earthq. Eng. 2018, 111, 87–97. [Google Scholar] [CrossRef]
- She, C.M.; Guo, W.L. Three-dimensional stress concentrations at elliptic holes in elastic isotropic plates subjected to tensile stress. Int. J. Fatigue 2007, 29, 330–335. [Google Scholar] [CrossRef]
- Zhou, X.L.; Wang, J.H.; Jiang, L.F. Dynamic response of a pair of elliptic tunnels embedded in a poroelastic medium. J. Sound Vib. 2009, 325, 816–834. [Google Scholar] [CrossRef]
- Deng, X.F.; Zhu, J.B.; Chen, S.G.; Zhao, Z.Y.; Zhou, Y.X.; Zhao, J. Numerical study on tunnel damage subject to blast-induced shock wave in jointed rock masses. Tunn. Undergr. Space Technol. 2014, 43, 88–100. [Google Scholar] [CrossRef]
- Du, K.; Su, R.; Tao, M.; Yang, C.Z.; Momeni, A.; Wang, S.F. Specimen shape and cross-section effects on the mechanical properties of rocks under uniaxial compressive stress. Bull Eng. Geol. Environ. 2019. [Google Scholar] [CrossRef]
- Fang, X.Q.; Jin, H.X. Dynamic response of a non-circular lined tunnel with visco-elastic imperfect interface in the saturated poroelastic medium. Comput. Geotech. 2017, 83, 98–105. [Google Scholar] [CrossRef]
- Kung, C.L.; Wang, T.T.; Chen, C.H.; Huang, T.H. Response of a Circular Tunnel Through Rock to a Harmonic Rayleigh Wave. Rock Mech. Rock Eng. 2018, 51, 547–559. [Google Scholar] [CrossRef]
- Li, X.B.; Li, C.J.; Cao, W.Z.; Tao, M. Dynamic stress concentration and energy evolution of deep-buried tunnels under blasting loads. Int. J. Rock Mech Min. Sci. 2018, 104, 131–146. [Google Scholar] [CrossRef]
- Wang, Y.B.; Yang, R.S.; Zhao, G.F. Influence of empty hole on crack running in PMMA plate under dynamic loading. Polym. Test. 2017, 58, 70–85. [Google Scholar] [CrossRef]
- Wang, P.F.; Li, Y.G.; Liu, R.H.; Shi, Y.J. Effect of forced-to-exhaust ratio of air volume on dust control of wall-attached swirling ventilation for mechanized excavation face. Tunn. Undergr. Space Technol. 2019, 90, 194–207. [Google Scholar] [CrossRef]
- Li, X.B.; Zhou, Z.L.; Lok, T.S.; Hong, L.; Yin, T.B. Innovative testing technique of rock subjected to coupled static and dynamic loads. Int. J. Rock Mech Min. Sci. 2008, 45, 739–748. [Google Scholar] [CrossRef]
- Liu, Z.H.; Du, C.L.; Jiang, H.X.; Liu, K. Analysis of Roadheader for Breaking Rock Containing Holes under Confining Pressures. Energies 2017, 10, 1154. [Google Scholar] [CrossRef]
- Peng, K.; Zhou, J.Q.; Zou, Q.L.; Zhang, J.; Wu, F. Effects of stress lower limit during cyclic loading and unloading on deformation characteristics of sandstones. Constr. Build. Mater. 2019, 217, 202–215. [Google Scholar] [CrossRef]
- Guo, J.S.; Ma, L.Q.; Wang, Y.; Wang, F.T. Hanging Wall Pressure Relief Mechanism of Horizontal Section Top-Coal Caving Face and Its Application—A Case Study of the Urumqi Coalfield, China. Energies 2017, 10, 1371. [Google Scholar] [CrossRef]
- Tao, M.; Li, X.B.; Li, D.Y. Rock failure induced by dynamic unloading under 3D stress state. Theor. Appl. Fract. Mech. 2013, 65, 47–54. [Google Scholar] [CrossRef]
- Tao, M.; Li, X.B.; Wu, C.Q. Characteristics of the unloading process of rocks under high initial stress. Comput. Geotech. 2012, 45, 83–92. [Google Scholar] [CrossRef]
- Peng, K.; Liu, Z.P.; Zou, Q.L.; Zhang, Z.Y.; Zhou, J.Q. Static and dynamic mechanical properties of granite from various burial depths. Rock Mech. Rock Eng. 2019, 1–22. [Google Scholar] [CrossRef]





















© 2019 by the authors. Licensee MDPI, Basel, Switzerland. This article is an open access article distributed under the terms and conditions of the Creative Commons Attribution (CC BY) license (http://creativecommons.org/licenses/by/4.0/).
Share and Cite
Tao, M.; Ma, A.; Peng, K.; Wang, Y.; Du, K. Fracture Evaluation and Dynamic Stress Concentration of Granite Specimens Containing Elliptic Cavity under Dynamic Loading. Energies 2019, 12, 3441. https://doi.org/10.3390/en12183441
Tao M, Ma A, Peng K, Wang Y, Du K. Fracture Evaluation and Dynamic Stress Concentration of Granite Specimens Containing Elliptic Cavity under Dynamic Loading. Energies. 2019; 12(18):3441. https://doi.org/10.3390/en12183441
Chicago/Turabian StyleTao, Ming, Ao Ma, Kang Peng, Yiqing Wang, and Kun Du. 2019. "Fracture Evaluation and Dynamic Stress Concentration of Granite Specimens Containing Elliptic Cavity under Dynamic Loading" Energies 12, no. 18: 3441. https://doi.org/10.3390/en12183441
APA StyleTao, M., Ma, A., Peng, K., Wang, Y., & Du, K. (2019). Fracture Evaluation and Dynamic Stress Concentration of Granite Specimens Containing Elliptic Cavity under Dynamic Loading. Energies, 12(18), 3441. https://doi.org/10.3390/en12183441

