Volume-Based Assessment of Erosion Patterns around a Hydrodynamic Transparent Offshore Structure
Abstract
1. Introduction
- (1)
- The systematic study of global scour patterns in combined waves and current conditions around a jacket foundation.
- (2)
- Gaining further insights into the spatial scouring process around jacket structures with detailed 3D laser scan measurements.
- (3)
- The introduction and application of a novel method to analyze volume-based erosion processes with a spatial reference.
- (4)
- The improvement of prediction methods to account for local and global erosion volumes/scour depths and the extent of global and local scour around jacket type offshore structures.
- (5)
- The quantification of eroded sediment volume, and the determination of areas, which exhibit an increased erosion rate, and therefore, have an impact on the natural dynamics of the ocean floor.
2. Experimental Setup
Experimental Procedure and Test Conditions
- (1)
- Smoothing the sand level and carefully filling the basin to avoid disturbances of the adjusted sand level.
- (2)
- Running the desired test until the scour process has attained an (almost) equilibrium stage.
- (3)
- Emptying the wave basin and carefully draining the sand pit to avoid further influence on the scour pattern.
- (4)
- 3D scans of the global sediment surface around the structure.
3. Calculation of Erosion Volumes
4. Results
4.1. Changes in Bed Topography
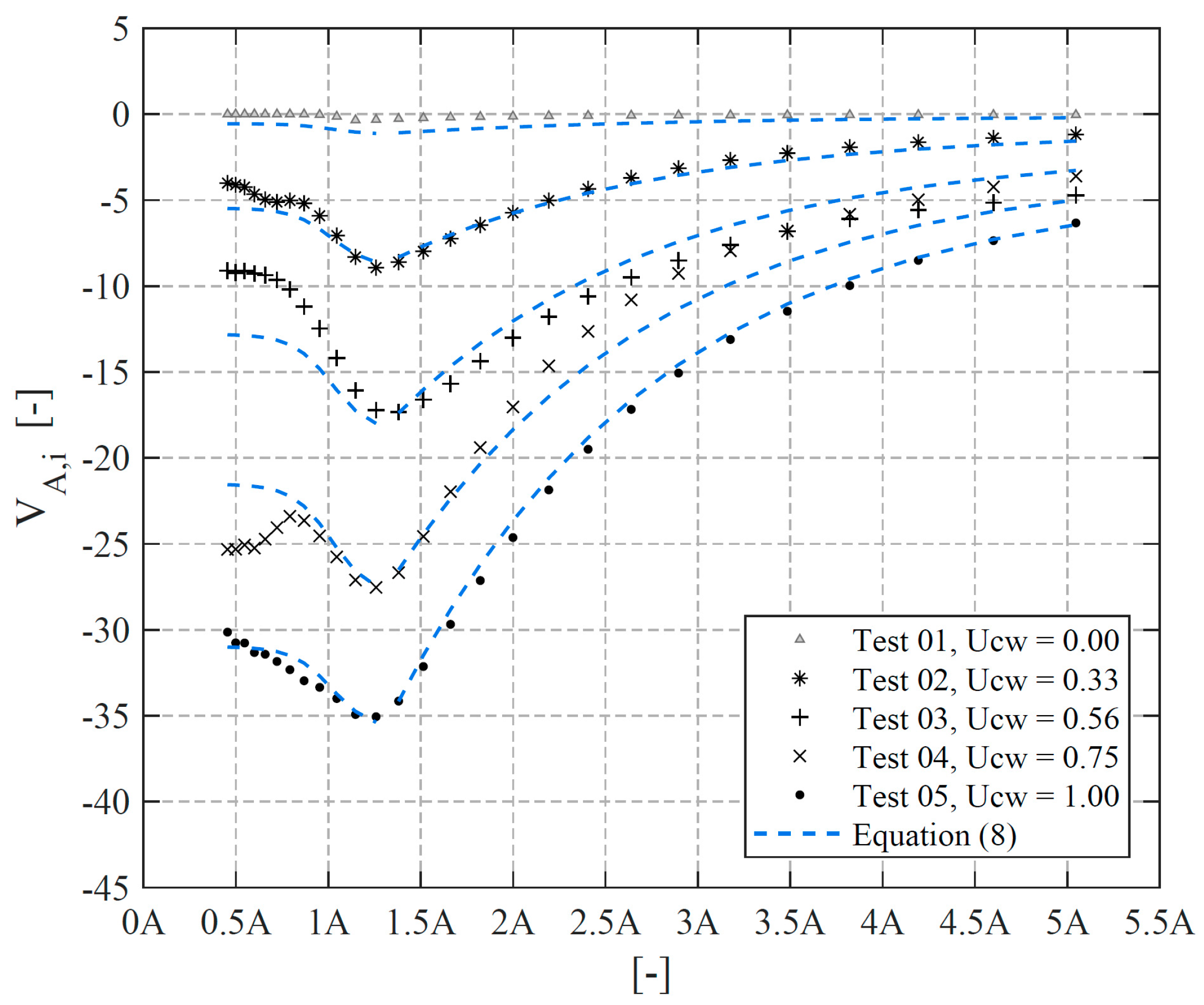
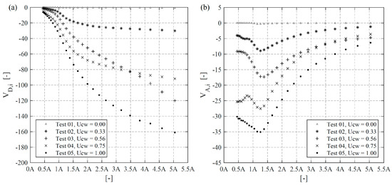
4.2. Analysis of Global Erosion Volumes
4.3. Local Scour around Individual Piles
5. Remarks Regarding Practical Application and Scale Effects
6. Summary and Conclusions
- Different volume analyzing methods and dimensionless parameters are introduced which can be generally adapted for any other offshore structure or coastal structure to reveal physical processes in complex erosion patterns. Therefore, eroded sediment volumes are normalized in relation to a structural volume as well as in relation to the considered erosion area, , and the structural diameter , given in Equations (3)–(6).
- A comparison between locally (circle area of 6 D around each pile) and globally (area of 1.25 times the structure footprint) attributed erosion volumes revealed that wave dominated hydrodynamic conditions with 0.57 led to scour patterns which were dominated by local erosion around the piles (68% locally, 32% globally, for = 0.57). Furthermore, it is shown that the share of globally eroded sediment volume is significantly increased in current dominated conditions 0.75 (33% locally, 67% globally, for = 1.0).
- The literature reports that hydrodynamic interactions between groups of circular piles are small if the distance between them is larger than six times the piles’ diameter [14,15,16]. In the past, this was partly interpreted as a border beyond which global scour around jacket-type foundations may not occur [10]. In contrast to this, insights from the present study illustrate that the area of the seafloor affected by a supposedly transparent hydraulic structure is considerably larger than expected and is estimated to be 2.1–2.7 times the structure’s footprint for the present study.
- A comparison reveals that findings stemming from the present study generally agree well with in-situ data from field studies [8,9,10]. Similar areal distributions of eroded sediment volume with a stable maximum of the erosion intensity at 1.25 A (1.25 times the structure’s footprint) as well as a global scour extent in a similar range to the present study (2.1–2.7 A) is found from a comparison of in-situ data (2.7–2.8 A).
- To improve the prediction of global scour around jacket-type offshore foundations, empirical expressions (Equations (7) and (8)) are proposed to account for the areal development and extent of global erosion volumes and scour depths in the near-field and vicinity of the foundation structure. The analysis and derivation is explained stepwise and is based on insights of the introduced methods. Furthermore, the knowledge of the extent of erosion patterns in relation to the erosion intensity, as well as of the value of the eroded sediment at different points, is useful for the design of a scour protection system around such complex foundation structures. While the former might be used to determine the required spatial extent of a scour protection, the latter helps determining the volume, which has to be refilled by a subsequently installed scour protection.
- Results allow a prediction of areas which exceed a certain erosion rate as well as a quantification of spatially eroded sediment in the near-field and vicinity of the foundation structure. By this means a structure-induced environmental footprint as a measure of eroded sediments partially affecting marine habitat can be exposed. Once eroded sediment is entrained into the water column it deposes behind the structure with the effect of burying marine habitats and can be transported over long distances due to long lasting vortices and an increased turbulence and mixing [5,6,7]. As a consequence, not only areas in the vicinity but also in the far-field of the structure can be affected, with potential impacts [2,3,4] on the marine wildlife and the ocean seabed environment in general. These potential impacts to the marine environment might represent an important hurdle for the future of wind technology in general.
Author Contributions
Funding
Acknowledgments
Conflicts of Interest
Notations
| Reference distance times the structure footprint length; A given times the structure footprint distance, for this structure 0.55 m in both directions, 1 A = 0.55 m/0.55 m, A = x or y distance / structure footprint distance in x or y direction | |
| Structure footprint area; for the present study | |
| Interrogation area in dependence to | |
| Additional term of equation (9); | |
| Additional term of equation (9); | |
| Pile Diameter of the main struts of the jacket structure or | |
| Diameter of the pile sleeve of the jacket structure | |
| Diameter of the legs of the jacket structure | |
| Incremental erosion depth; representing an erosion depth of the related interrogation area times the pile diameter | |
| Grain size for which 50% of the material by weight is finer | |
| Frequency | |
| Gravitational acceleration | |
| Significant wave height | |
| Keulegan-Carpenter number | |
| Number of piles | |
| Velocity frequency spectrum | |
| Orbital velocity at the bed in direction of the waves | |
| Undisturbed current velocity at 2.5 D from bed | |
| Mean current velocity of the vertical profile | |
| Wave-current velocity ratio | |
| Undisturbed maximum orbital velocity at 2.5 D from bed | |
| Root-mean-square (RMS) value of at the seabed | |
| Cumulative erosion volume; in relation to each normalized area | |
| Additional term in equation (8) to account for the areal development of volumes | |
| Dimensionless erosion volume; of an interrogation area in relation to the structural reference volume | |
| Incremental erosion volume; the net gradient volume in relation to each corresponding area . | |
| Eroded sediment volume in m3 below a reference value based on the pre-scans | |
| Shields parameter | |
| Critical value of the Shields parameter |
References
- International Renewable Energy Agency (IRENA). Offshore Innovation Widens Renewable Energy Options: Opportunities, Challenges and the Vital Role of International Co-Operation to Spur the Global Energy Transformation (Brief to G7 Policy Makers); IRENA: Abu Dhabi, UAE, 2018. [Google Scholar]
- Carpenter, J.R.; Merckelbach, L.; Callies, U.; Clark, S.; Gaslikova, L.; Baschek, B. Potential Impacts of Offshore Wind Farms on North Sea Stratification. PLoS ONE 2016, 11, e0160830. [Google Scholar] [CrossRef] [PubMed]
- Shields, M.A.; Woolf, D.K.; Grist, E.P.M.; Kerr, S.A.; Jackson, A.C.; Harris, R.E.; Bell, M.C.; Beharie, R.; Want, A.; Osalusi, E.; et al. Marine renewable energy: The ecological implications of altering the hydrodynamics of the marine environment. Ocean Coast. Manag. 2011, 54, 2–9. [Google Scholar] [CrossRef]
- Miller, R.G.; Hutchison, Z.L.; Macleod, A.K.; Burrows, M.T.; Cook, E.J.; Last, K.S.; Wilson, B. Marine renewable energy development: Assessing the Benthic Footprint at multiple scales. Front. Ecol. Environ. 2013, 11, 433–440. [Google Scholar] [CrossRef]
- Grashorn, S.; Stanev, E.V. Kármán vortex and turbulent wake generation by wind park piles. Ocean Dyn. 2016, 66, 1543–1557. [Google Scholar] [CrossRef]
- Vanhellemont, Q.; Ruddick, K. Turbid wakes associated with offshore wind turbines observed with Landsat 8. Remote Sens. Environ. 2014, 145, 105–115. [Google Scholar] [CrossRef]
- Vanhellemont, Q.; Ruddick, K. Landsat-8 as a Precursor to Sentinel-2: Observations of Human Impacts in Coastal Waters. Presented at the 2014 European Space Agency Sentinel-2 for Science Workshop, Frascati, Italy, 20–23 May 2014. ESA Special Publication SP-726. [Google Scholar]
- Rudolph, D.; Bos, K.J.; Luijendijk, A.P.; Rietema, K.; Out, J.M.M. Scour Around Offshore structures—Analysis of Field Measurements. In Proceedings of the Second International Conference on Scour and Erosion, ICSE 2, Singapore, Singapore, 14–17 November 2004. [Google Scholar]
- Baelus, L.; Bolle, A.; Szengel, V. Long term scour monitoring around offshore jacket foundations on a sandy seabed. In Proceedings of the Ninth International Conference on Scour and Erosion, ICSE 9, Taipei, Taiwan, 5–8 November 2018. [Google Scholar]
- Bolle, A.; de Winter, J.; Goossens, W.; Haerens, P.; Dewaele, G. Scour monitoring around offshore jackets and gravity based foundations. In Proceedings of the Sixth International Conference on Scour and Erosion, ICSE 6, Paris, France, 27–31 August 2012. [Google Scholar]
- Chen, H.H.; Yang, R.Y.; Hwung, H.H. Study of Hard and Soft Countermeasures for Protection of the Jacket-Type Offshore Wind Turbine Foundation. J. Mar. Sci. Eng. 2014, 2, 551–567. [Google Scholar] [CrossRef]
- Welzel, M.; Schendel, A.; Hildebrandt, A.; Schlurmann, T. Scour development around a jacket structure in combined waves and current conditions compared to monopile foundations. Coast. Eng. 2019, 152, 103515. [Google Scholar] [CrossRef]
- Sumer, B.M.; Fredsøe, J. Wave scour around group of vertical piles. J. Waterw. Port Coast. Ocean Eng. 1998, 124, 248–256. [Google Scholar] [CrossRef]
- Sumer, B.M.; Fredsøe, J. The Mechanics of Scour in the Marine Environment; World Scientific: Hackensack, NJ, USA; Singapore; London, UK; Hong Kong, China, 2002. [Google Scholar]
- Yagci, O.; Yildirim, I.; Celik, M.F.; Kitsikoudis, V.; Duran, Z.; Kirca, V.S.O. Clear water scour around a finite array of cylinders. Appl. Ocean Res. 2017, 68, 114–129. [Google Scholar] [CrossRef]
- Breuers, H.N.C. Local Scour Near Offshore Structures; Delft Hydraulics Publication: Delft, The Netherlands, 1972. [Google Scholar]
- Hirai, S.; Kuruta, K. Scour around multiple- and submerged circular cylinders. Memoirs Faculty of Engineering; Osaka City University: Osaka, Japan, 1982; Volume 23, pp. 183–190. [Google Scholar]
- Hildebrandt, A.; Sparboom, U.; Oumeraci, H. Wave forces on groups of slender cylinders in comparison to an isolated cylinder due to non-breaking waves. In Proceedings of the International Conference on Coastal Engineering, NO. 31, Hamburg, Germany, 31 August 2008. [Google Scholar]
- Porter, K.E. Seabed Scour Around Marine Structures in Mixed and Layered Sediments. Ph.D. Thesis, University College London (UCL), London, UK, 2016. [Google Scholar]
- Margheritini, L.; Frigaard, P.; Martinelli, L.; Lamberti, A. Scour around monopile foundations for offshore wind turbines. In Proceedings of the First International Conference on the Application of Physical Modelling to Port and Coastal Protection (CoastLab06), Porto, Portugal, 8–10 May 2006. Faculty of Engineering, University of Porto. [Google Scholar]
- Stahlmann, A.; Schlurmann, T. Kolkbildung an komplexen Gründungsstrukturen für Offshore-Windenergieanlagen—Untersuchungen zu Tripod-Gründungen in der Nordsee. Bautechnik 2012, 89, 293–300. [Google Scholar] [CrossRef]
- Hartvig, P.A.; Thomsen, J.M.; Frigaard, P.; Andersen, T.L. Experimental Study of the development of scour and backfilling. Coast. Eng. 2010, 52, 157–194. [Google Scholar] [CrossRef]
- Porter, K.; Simons, R.; Harris, J. Comparison of three techniques for scour depth measurement: Photogrammetry, Echosounder profiling and a calibrated pile. In Proceedings of the International Conference on Coastal Engineering, No. 34, Seoul, Korea, 15–20 June 2014. [Google Scholar]
- Raaijmakers, T.; Rudolph, D. Time-dependent scour development under combined current and waves conditions—laboratory experiments with online monitoring technique. In Proceedings of the Fourth International Conference on Scour and Erosion, ICSE 4, Tokyo, Japan, 5–7 November 2008. [Google Scholar]
- Petersen, T.U.; Sumer, B.M.; Fredsøe, J. Time scale of scour around pile in combined waves and current. In Proceedings of the Sixth International Conference on Scour and Erosion, ICSE 6, Paris, France, 27–31 August 2012. [Google Scholar]
- Qi, W.G.; Gao, F.P. Physical modeling of local scour development around a large-diameter monopile in combined waves and current. Coast. Eng. 2014, 83, 72–81. [Google Scholar] [CrossRef]
- Sumer, B.M.; Fredsøe, J. Scour around pile in combined waves and current. J. Hydraul. Eng. 2001, 127, 403–411. [Google Scholar] [CrossRef]
- Soulsby, R. Dynamics of Marine Sands: A Manual for Practical Applications; Thomas Telford: London, UK, 1997. [Google Scholar]
- Vosselman, G. Slope Based Filtering of Laser Altimetry Data. Int. Soc. Photogramm. Remote Sens. Congr. Amst. 2000, 33, 935–942. [Google Scholar]
- Raudkivi, A.J.; Ettema, R. Clear-water scour at cylindrical piers. J. Hydraul. Eng. 1983, 109, 338–350. [Google Scholar] [CrossRef]
- Welzel, M.; Schlurmann, T.; Hildebrandt, A. Local scour development and global sediment redistribution around a jacket-structure in combined waves and current. In Proceedings of the Ninth International Conference on Scour and Erosion, ICSE 9, Taipei, Taiwan, 5–8 November 2018. [Google Scholar]
- Coleman, S.E.; Melville, B.W. Bed-Form Development. J. Hydraul. Eng. 1994, 120, 544–560. [Google Scholar] [CrossRef]
- Flemming, B.W. Zur Klassifikation subaquatischer, strömungstransversaler Transportkörper. Boch. Geol. Geotech. Arb. 1988, 29, 93–97. [Google Scholar]
- Rudolph, D.; Bos, K.J. Scour around a monopile under combined wave current conditions and low KC-numbers. In Proceedings of the Third International Conference on Scour and Erosion, ICSE 3, Amsterdam, The Netherlands, 1–3 November 2006. [Google Scholar]
- Zanke, U.C.E.; Hsu, T.W.; Roland, A.; Oscar, L.; Reda, D. Equilibrium scour depths around piles in noncohesive sediments under currents and waves. Coast. Eng. 2011, 58, 986–991. [Google Scholar] [CrossRef]
- Sumer, B.M.; Petersen, T.U.; Locatelli, L.; Fredsøe, J.; Musumeci, R.E.; Foti, E. Backfilling of a Scour Hole around a Pile in Waves and Current. J. Waterw. Port Coast. Ocean Eng. 2013, 139, 9–23. [Google Scholar] [CrossRef]
- Ettema, R.; Melville, B.W.; Barkdoll, B. Scale effects in pier-scour experiments. J. Hydraul. Eng. 1998, 124, 639–642. [Google Scholar] [CrossRef]
- Hughes, S.A. Physical Models and Laboratory Techniques in Coastal Engineering; World Scientific Publishing Co. Pte. Ltd: Singapore; London, UK, 1993. [Google Scholar]
- Soulsby, R.; Clarke, S. Bed Shear-Stresses under Combined Waves and Currents on Smooth and Rough Beds; Report TR 137 Rev 1.0; HR Wallingford: Wallingford, UK, 2005. [Google Scholar]
- Sutherland, J.; Whitehouse, R.J.S. Scale Effects in the Physical Modelling of Seabed Scour; Report TR 64; HR Wallingford: Wallingford, UK, 1998. [Google Scholar]
- Hildebrandt, A.; Schmidt, B.; Marx, S. Wind-wave misalignment and a combination method for direction-dependent extreme incidents. Ocean Eng. 2019, 180, 10–22. [Google Scholar] [CrossRef]















| Test | [m] | [s] | Bed Orbital Velocity [cm/s] | Depth Averaged Current Velocity [cm/s] | Current Velocity 10 cm Above Bed [cm/s] | KC [-] | [-] | Shields Parameter θ [-] | Global Eroded Volume: for an Area of 1.25 A [-] | Local Eroded Volume: Diameter of 6 D [-] |
|---|---|---|---|---|---|---|---|---|---|---|
| 1 | 0.165 | 4.5 | 20.8 | - | - | 23.4 | 0.00 | 0.080 | −0.49 | −0.49 |
| 2 | 0.165 | 4.5 | 20.8 | 11.4 | 10.1 | 23.4 | 0.33 | 0.085 | −14.14 | −10.62 |
| 3 | 0.158 | 3.4 | 17.5 | 24.3 | 22.5 | 14.9 | 0.56 | 0.087 | −27.26 | −18.50 |
| 4 | 0.147 | 2.0 | 13.3 | 41.7 | 38.8 | 6.7 | 0.75 | 0.123 | −43.61 | −23.82 |
| 5 | - | - | - | 41.7 | 38.8 | - | 1.00 | 0.084 | −55.52 | −27.19 |
© 2019 by the authors. Licensee MDPI, Basel, Switzerland. This article is an open access article distributed under the terms and conditions of the Creative Commons Attribution (CC BY) license (http://creativecommons.org/licenses/by/4.0/).
Share and Cite
Welzel, M.; Schendel, A.; Schlurmann, T.; Hildebrandt, A. Volume-Based Assessment of Erosion Patterns around a Hydrodynamic Transparent Offshore Structure. Energies 2019, 12, 3089. https://doi.org/10.3390/en12163089
Welzel M, Schendel A, Schlurmann T, Hildebrandt A. Volume-Based Assessment of Erosion Patterns around a Hydrodynamic Transparent Offshore Structure. Energies. 2019; 12(16):3089. https://doi.org/10.3390/en12163089
Chicago/Turabian StyleWelzel, Mario, Alexander Schendel, Torsten Schlurmann, and Arndt Hildebrandt. 2019. "Volume-Based Assessment of Erosion Patterns around a Hydrodynamic Transparent Offshore Structure" Energies 12, no. 16: 3089. https://doi.org/10.3390/en12163089
APA StyleWelzel, M., Schendel, A., Schlurmann, T., & Hildebrandt, A. (2019). Volume-Based Assessment of Erosion Patterns around a Hydrodynamic Transparent Offshore Structure. Energies, 12(16), 3089. https://doi.org/10.3390/en12163089

