Load Areas in Radial Unbalanced Distribution Systems
Abstract
1. Introduction
2. Load Area—Concept
3. Load Area—Identification
3.1. Grid Constraints and Impact of Nodal Injections
3.1.1. Loading Constraints
3.1.2. Voltage Constraints
3.2. Clustering
3.2.1. Phase Clustering
- The VLAs resulting from a single-phase representation of the grid (the positive sequence grid) are valid within the hypotheses behind the single-phase equivalencing: a grid made of physically symmetrical three-phase components operating in balanced conditions;
- If any of the two assumptions is not valid, VLAs obtained with a single-phase representation of the grid are only approximated and better results are obtained with the three-phase representation.
3.2.2. Bus Clustering
- case 1)
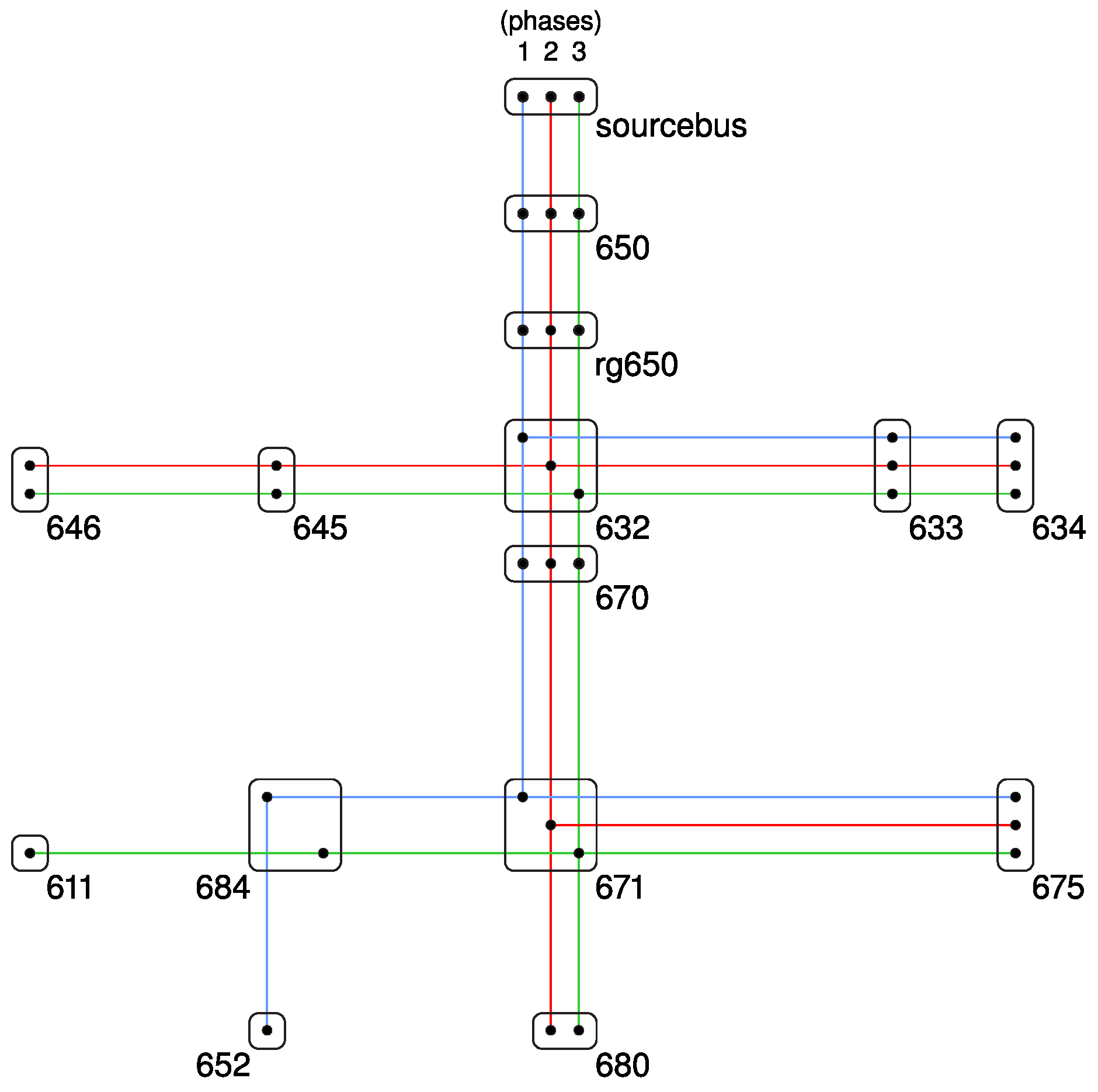
- No bus misses any phases, and any phase of a bus belongs to the same ph-OLA/VLA; it is simply reflected in the resulting bus-based LA. This is the case of all the phases showing the same behaviour with respect to overload and voltage issues; for example, in Figure 4, it occurs for sourcebus and bus 650.
- case 2)
- There is at least one missing phase, and any phase of a bus belongs to the same ph-OLA/VLA; the same bus-based LA as case 1 results. It works as if, for the missing phase, the ph-OLA/VLA is virtually extended downstream from bus m to bus n. This is the case when all the phases would present the same behaviour, but there is at least one missing phase; for example, in Figure 4, it occurs with busses 632 and 645, where the missing phase is phase 1.
- case 3)
- One or more phases belong to different ph-OLAs/VLAs, and no bus misses any phases. It reflects two different bus-based LAs. This is the case when not all the phases show the same behaviour; for example, in Figure 4, it occurs with busses 632 and 633, where phase 2 shows a different behaviour.
- case 4)
- There is at least one missing phase, and one or more phases belong to different ph-OLAs/VLAs. The same bus-based LAs as case 3) results. It works as if, for the missing phase(s), the ph-LA is virtually extended downstream from bus m to bus n. This is the case when not all the phases show the same behaviour and there is at least a missing phase; for example, in Figure 4, it occurs with bus 671 and 684, where phase 2 is missing and phase 3 behaves differently in busses m and n.
3.2.3. Bus LA
3.3. Choice of the Sensitivity Threshold
4. Load Area—Modeling
4.1. Prosumers
4.2. Nodal Injections
4.3. Load Area Equivalent Network Modeling
4.4. Whole Grid Equivalent Network Modeling
5. Study Cases
5.1. Small-Size Grid
5.1.1. Identification
5.1.2. Modeling
5.2. Medium-Size Grid
5.2.1. Identification
5.2.2. Modeling
5.3. Some Qualitative Considerations
- The number of identified LAs is almost the same; with the three-phase representation, the number can be slightly bigger (see Figure 5).
- The modeling errors are of the same magnitude.
6. Conclusions
Author Contributions
Funding
Conflicts of Interest
Appendix A. Spectral Analysis of Admittance Matrices
Appendix A.1. Phase Representation
Appendix A.2. Sequence Representations
Appendix A.3. Equivalence
- (a)
- The eigenvectors of the three-phase bus admittance matrix, , can be obtained from those of and (Equation (A16.1));
- (b)
- The eigenvalues of are those of the three one-phase sequence admittance matrices, and (Equation (A16.2));
- (c)
- If the operation of the grid is always a balanced one, the structural analysis of the grid can be carried out with reference to its one-phase equivalent representation, which is the positive-sequence grid; indeed, voltages and currents have only positive sequence components and the contribution of the negative and zero sequence eigensystems is null;
- (d)
- If, on the contrary, the operation can be unbalanced, the structural analysis should be carried out on the three-phase representation of the grid or, equivalently, as per points (a) and (b), through the three one-phase sequence representations.
Appendix A.4. Experimental Results
- In the symmetrical case:
- -
- As it could be expected, the eigenvalues for the positive and negative sequence are equal to each other and different from the zero sequence ones;
- -
- For any sequence, the modulus of the dominant eigenvalue is much lower that the one of the second best, often by two orders of magnitude;
- -
- The modulus difference between the dominant positive/negative and zero sequence eigenvalues is much less than the modulus difference between these eigenvalues and the second best of any sequence.
- In the unsymmetrical case (where exact sequence networks cannot be obtained):
- -
- The three dominant eigenvalues differ from each other;
- -
- The modulus differences between the three dominant eigenvalues are much less than the modulus differences between them and the other eigenvalues.
Appendix B. Q–P Relationships
Appendix B.1. Pure Loads
Appendix B.2. Distributed Generation
Appendix B.2.1. Small Plants
Appendix B.2.2. Medium and Large Plants

References
- Sioshansi, F.P. Evolution of Global Electricity Markets: New paradigms, New Challenges, New Approaches, 1st ed.; Academic Press: Cambridge, MA, USA; Elsevier: Amsterdam, The Netherlands, 2013. [Google Scholar]
- Pudjianto, D.; Ramsay, C.; Strbac, G. Virtual power plant and system integration of distributed energy resources. IET Renew. Power Gener. 2007, 1, 10–16. [Google Scholar] [CrossRef]
- Gottwalt, S.; Garttner, J.; Schmeck, H.; Weinhardt, C. Modeling and valuation of residential demand flexibility for renewable energy integration. IEEE Trans. Smart Grid 2017, 8, 2565–2574. [Google Scholar] [CrossRef]
- Belhomme, R.; Cerero Real De Asua, R.; Valtorta, G.; Paice, A.; Bouffard, F.; Rooth, R.; Losi, A. ADDRESS—Active Demand for the smart grids of the future. In Proceedings of the CIRED Seminar 2008: SmartGrids for Distribution, Frankfurt, Germany, 23–24 June 2008; pp. 1–4. [Google Scholar] [CrossRef]
- Koponen, P.; Ikäheimo, J.; Vicino, A.; Agnetis, A.; Pascale, G.D.; Ruiz Carames, N.; Jimeno, J.; Sánchez-Úbeda, E.F.; Garcia-Gonzalez, P.; Cossent, R. Toolbox for aggregator of flexible demand. In Proceedings of the 2012 IEEE International Energy Conference and Exhibition (ENERGYCON), Florence, Italy, 9–12 September 2012; pp. 623–628. [Google Scholar] [CrossRef]
- De Cerio Mendaza, I.D.; Szczesny, I.G.; Pillai, J.R.; Bak-Jensen, B. Demand response control in low voltage grids for technical and commercial aggregation services. IEEE Trans. Smart Grid 2016, 7, 2771–2780. [Google Scholar] [CrossRef]
- Villar, J.; Bessa, R.; Matos, M. Flexibility products and markets: Literature review. Electr. Power Syst. Res. 2018, 154, 329–340. [Google Scholar] [CrossRef]
- Asadinejad, A.; Rahimpour, A.; Tomsovic, K.; Qi, H.; Chen, C. Evaluation of residential customer elasticity for incentive based demand response programs. Electr. Power Syst. Res. 2018, 158, 26–36. [Google Scholar] [CrossRef]
- Agnetis, A.; Delgado Espinós, I.; Jimeno Huarte, J.; Pranzo, M.; Vicino, A. Active consumer characterization and aggregation. In Integration of Demand Response into the Electricity Chain; Losi, A., Mancarella, P., Vicino, A., Eds.; ISTE: London, UK; Wiley: Hoboken, NJ, USA, 2015; Chapter 2; pp. 11–39. [Google Scholar]
- Al-Jassim, Z.; Christoffersen, M.; Wu, Q.; Huang, S.; del Rosario, G.; Corchero, C.; Moreno, M.A. Optimal approach for the interaction between DSOs and aggregators to activate DER flexibility in the distribution grid. CIRED Open Access Proc. J. 2017, 2017, 1912–1916. [Google Scholar] [CrossRef][Green Version]
- Zhang, C.; Wang, Q.; Wang, J.; Pinson, P.; Morales, J.M.; Ostergaard, J. Real-Time Procurement Strategies of a Proactive Distribution Company With Aggregator-Based Demand Response. IEEE Trans. Smart Grid 2018, 9, 766–776. [Google Scholar] [CrossRef]
- Lebel, G.; Sandels, C.; Nordström, L.; Grauers, S. Household aggregators development for demand response in Europe. In Proceedings of the 22nd International Conference and Exhibition on Electricity Distribution (CIRED 2013), Stockholm, Sweden, 10–13 June 2013; pp. 1–4. [Google Scholar]
- Gkatzikis, L.; Koutsopoulos, I.; Salonidis, T. The role of aggregators in smart grid demand response markets. IEEE J. Sel. Areas Commun. 2013, 31, 1247–1257. [Google Scholar] [CrossRef]
- Ruelens, F.; Claessens, B.J.; Vandael, S.; Iacovella, S.; Vingerhoets, P.; Belmans, R. Demand response of a heterogeneous cluster of electric water heaters using batch reinforcement learning. In Proceedings of the 2014 Power Systems Computation Conference, Wroclaw, Poland, 18–22 August 2014; pp. 1–7. [Google Scholar] [CrossRef]
- Ruiz, N.; Claessens, B.; Jimeno, J.; López, J.A.; Six, D. Residential load forecasting under a demand response program based on economic incentives. Int. Trans. Electr. Energy Syst. 2015, 25, 1436–1451. [Google Scholar] [CrossRef]
- Liu, M.; Shi, Y. Model predictive control of aggregated heterogeneous second-order thermostatically controlled loads for ancillary services. IEEE Trans. Power Syst. 2016, 31, 1963–1971. [Google Scholar] [CrossRef]
- Müller, F.L.; Szabo, J.; Sundström, O.; Lygeros, J. Aggregation and disaggregation of energetic flexibility from distributed energy resources. IEEE Trans. Smart Grid 2017, 1205–1214. [Google Scholar] [CrossRef]
- Saleh, S.A.; Pijnenburg, P.; Castillo-Guerra, E. Load aggregation from generation-follows-load to load-follows-generation: Residential loads. IEEE Trans. Ind. Appl. 2017, 53, 833–842. [Google Scholar] [CrossRef]
- Casolino, G.M.; Fazio, A.R.D.; Losi, A.; Russo, M. Smart modeling and tools for distribution system management and operation. In Proceedings of the 2012 IEEE International Energy Conference and Exhibition (ENERGYCON), Florence, Italy, 9–12 September 2012; pp. 635–640. [Google Scholar] [CrossRef]
- Casolino, G.M.; Losi, A. Load areas in distribution systems. In Proceedings of the 2015 IEEE 15th International Conference on Environment and Electrical Engineering (EEEIC), Rome, Italy, 10–13 June 2015; pp. 1637–1642. [Google Scholar] [CrossRef]
- Casolino, G.M.; Losi, A. Load Area model accuracy in distribution systems. Electr. Power Syst. Res. 2017, 143, 321–328. [Google Scholar] [CrossRef]
- Consiglio, L.; Di Fazio, A.R.; Paoletti, S.; Russo, M.; Timbus, A.; Valtorta, G. Distribution control center: New requirements and functionalities. In Integration of Demand Response into the Electricity Chain; Losi, A., Mancarella, P., Vicino, A., Eds.; ISTE: London, UK; Wiley: Hoboken, NJ, USA, 2015; Chapter 4; pp. 65–87. [Google Scholar]
- Valtorta, G.; Consiglio, L.; Morozova, E.; Naso, F.; Narro, J.M.Y.; Vlug, N.; Glorieux, L.; Timbus, A.; Paoletti, S. Medium voltage network control centre functionalities to enable and exploit active demand. In Proceedings of the 2012 IEEE International Energy Conference and Exhibition (ENERGYCON), Florence, Italy, 9–12 September 2012; pp. 647–651. [Google Scholar] [CrossRef]
- Lu, X.; Wang, W.; Ma, J. An empirical study of communication infrastructures towards the smart grid: Design, implementation, and evaluation. IEEE Trans. Smart Grid 2013, 4, 170–183. [Google Scholar] [CrossRef]
- Yan, Y.; Qian, Y.; Sharif, H.; Tipper, D. A survey on smart grid communication infrastructures: Motivations, requirements and challenges. IEEE Commun. Surv. Tutor. 2013, 15, 5–20. [Google Scholar] [CrossRef]
- Eltantawy, A.; Salama, M. A novel zooming algorithm for distribution load flow analysis for smart grid. IEEE Trans. Smart Grid 2014, 5, 1704–1711. [Google Scholar] [CrossRef]
- Schmidt, H.P.; Guaraldo, J.C.; da Mota Lopes, M.; Jardini, J.A. Interchangeable balanced and unbalanced network models for integrated analysis of transmission and distribution systems. IEEE Trans. Power Syst. 2015, 30, 2747–2754. [Google Scholar] [CrossRef]
- Hu, F.; Sun, K.; Del Rosso, A.; Farantatos, E.; Bhatt, N. Measurement-based real-time voltage stability monitoring for load areas. IEEE Trans. Power Syst. 2015, 31, 1–12. [Google Scholar] [CrossRef]
- Etherden, N.; Vyatkin, V.; Bollen, M.H.J. Virtual power plant for grid services using IEC 61850. IEEE Trans. Ind. Inform. 2016, 12, 437–447. [Google Scholar] [CrossRef]
- Mnatsakanyan, A.; Kennedy, S.W. A novel demand Response model with an application for a virtual power plant. IEEE Trans. Smart Grid 2015, 6, 230–237. [Google Scholar] [CrossRef]
- Rodriguez, F.; Fernandez, S.; Sanz, I.; Moranchel, M. Distributed approach for SmartGrids reconfiguration based on the OSPF routing protocol. IEEE Trans. Ind. Inform. 2015, 12, 1704–1711. [Google Scholar] [CrossRef]
- Di Lembo, G.; Petroni, P.; Noce, C. Reduction of power losses and CO2 emissions: Accurate network data to obtain good performances of DMS systems. In Proceedings of the 20th International Conference and Exhibition on Electricity Distribution (CIRED 2009), Prague, Czech Republic, 8–11 June 2009; pp. 1–4. [Google Scholar]
- Sapienza, G.; Noce, C.; Valvo, G. Network Technical Losses Precise Evaluation Using Distribution Management System and Accurate Network Data. In Proceedings of the 23th International Conference and Exhibition on Electricity Distribution (CIRED 2015), Lyon, France, 15–18 June 2015; pp. 1–4. [Google Scholar]
- Casolino, G.M.; Losi, A. Load areas in reconfiguration of distribution systems. In Proceedings of the 2016 IEEE PES Innovative Smart Grid Technologies Conference Europe (ISGT-Europe), Ljubljana, Slovenia, 9–12 October 2016; pp. 1–6. [Google Scholar] [CrossRef]
- Casolino, G.M.; Losi, A. Load Area Application to Radial Distribution Systems. In Proceedings of the 2015 IEEE 1st International Forum on Research and Technologies for Society and Industry Leveraging a better tomorrow (RTSI), Turin, Italy, 16–18 September 2015; pp. 269–273. [Google Scholar] [CrossRef]
- Casolino, G.M.; Losi, A. Specialized methods for the implementation of load areas in radial distribution networks. In Proceedings of the 2016 Power Systems Computation Conference (PSCC), Genova, Italy, 20–24 June 2016; pp. 1–7. [Google Scholar] [CrossRef]
- Amini, M.H.; Nabi, B.; Haghifam, M.R. Load management using multi-agent systems in smart distribution network. In Proceedings of the 2013 IEEE Power Energy Society General Meeting, Atlanta, GA, USA, 4–8 August 2013; pp. 1–5. [Google Scholar] [CrossRef]
- Lo, C.H.; Ansari, N. Decentralized controls and communications for autonomous distribution networks in smart grid. IEEE Trans. Smart Grid 2013, 4, 66–77. [Google Scholar] [CrossRef]
- Kamyab, F.; Amini, M.; Sheykhha, S.; Hasanpour, M.; Jalali, M.M. Demand response program in smart grid using supply function bidding mechanism. IEEE Trans. Smart Grid 2016, 7, 1277–1284. [Google Scholar] [CrossRef]
- Losi, A.; Mancarella, P.; Vicino, A. (Eds.) Integration of Demand Response into the Electricity Chain: Challenges, Opportunities and Smart Grid Solutions; ISTE: London, UK; Wiley: Hoboken, NJ, USA, 2015; p. 296. [Google Scholar]
- Kersting, W.H. Distribution System Modeling and Analysis; CRC Press: Boca Raton, FL, USA, 2012. [Google Scholar]
- EPRI, OpenDSS Simulation Tool. Available online: http://smartgrid.epri.com/SimulationTool.aspx (accessed on 1 August 2019).
- Laughton, M.A.; El-Iskandarani, M.A. On the inherent network structure. In Proceedings of the 6th PSCC, Darmstadt, Germany, 21–24 August 1978; pp. 188–196. [Google Scholar]
- Laughton, M.A.; El-Iskandarani, M.A. The structure of power network voltage profiles. In Proceedings of the 7th PSCC, Lausanne, Switzerland, 12–17 July 1981; pp. 845–851. [Google Scholar]
- Carpinelli, G.; Russo, A.; Russo, M.; Verde, P. Inherent structure theory of networks and power system harmonics. IEE Proc. Generat. Transm. Distribut. 1998, 145, 123–132. [Google Scholar] [CrossRef]
- Demirok, E.; Kjaer, S.B.; Sera, D.; Teodorescu, R. Three-phase Unbalanced Load Flow Tool for Distribution Networks. In Proceedings of the 2nd International Workshop on Integration of Solar Power Systems—Energynautics GmbH, Lisbon, Portugal, 12–13 November 2012; pp. 1–9. [Google Scholar]
- Kersting, W.H.; Green, R.K. The application of Carson’s equation to the steady-state analysis of distribution feeders. In Proceedings of the 2011 IEEE/PES Power Systems Conference and Exposition, Atlanta, GA, USA, 4–8 August 2011; pp. 1–6. [Google Scholar] [CrossRef]
- Fortunato, S. Community detection in graphs. Phys. Rep. 2010, 486, 75–174. [Google Scholar] [CrossRef]
- Paul, J.P.; Leost, J.Y.; Tesseron, J.M. Survey of the secondary voltage control in France: Present realization and investigations. IEEE Trans. Power Syst. 1987, 2, 505–511. [Google Scholar] [CrossRef]
- Arcidiacono, V.; Corsi, S.; Natale, A.; Raffaelli, C.; Menditto, V. New developments in the application of ENEL transmission system voltage and reactive power automatic control. In Proceedings of the 1990 CIGRE Session; CIGRE: Paris, France, 1990; Volume 38/39-06_1990, pp. 1–7. [Google Scholar]
- Lagonotte, P.; Sabonnadiere, J.C.; Leost, J.Y.; Paul, J.P. Structural analysis of the electrical system: application to secondary voltage control in France. IEEE Trans. Power Syst. 1989, 4, 479–486. [Google Scholar] [CrossRef]
- Gonzales, R.; Kopponen, P.; Hommelberg, M.; Jimeno, J.; Ruiz, N.; Cossent, R.; Vicino, A.; Agnetis, A.; Binet, A.; Zhang, Y.; et al. D2.1—Algorithms for Aggregators, Customers and for Their Equipment which Enables Active Demand. Technical report; ADDRESS Consortium. 2011. Available online: http://www.addressfp7.org/config/files/ADD-WP2-D2.1-Algorithms%20for%20Aggregator_Ebox.pdf (accessed on 1 August 2019).
- IEEE PES Test Feeders. Available online: http://sites.ieee.org/pes-testfeeders/resources/ (accessed on 1 August 2019).
- Casolino, G.M.; Losi, A.; Noce, C.; Valtorta, G. Network representation in the presence of demand response. In Integration of Demand Response into the Electricity Chain; Losi, A., Mancarella, P., Vicino, A., Eds.; ISTE: London, UK; Wiley: Hoboken, NJ, USA, 2015; Chapter 5; pp. 89–109. [Google Scholar]
- CEI. Italian National Standards CEI 0–21: Reference Technical Rules for the Connection of Active and Passive Users to the LV Electrical Utilities; Italian Electrotechnical Committee (CEI): Milan, Italy, 2019. (In Italian) [Google Scholar]
- CEI. Italian National Standards CEI 0–16: Reference Technical Rules for the Connection of Active and Passive Consumers to the HV and MV Electrical Networks of Distribution Company; Italian Electrotechnical Committee (CEI): Milan, Italy, 2019. (In Italian) [Google Scholar]














| ph1-VLA | ph2-VLA | ph3-VLA | b-VLA | |
|---|---|---|---|---|
| 1 | (•) VLA1 | (•) VLA1 | (•) VLA1 | VLA1 |
| 650 | (•) VLA1 | (•) VLA1 | (•) VLA1 | VLA1 |
| rg60 | (•) VLA2 | (•) VLA2 | (•) VLA2 | VLA2 |
| 632 | (•) VLA2 | (•) VLA2 | (•) VLA2 | VLA2 |
| 633 | (•) VLA2 | (•) VLA2 | (•) VLA2 | VLA2 |
| 634 | (•) VLA2 | (•) VLA2 | (•) VLA2 | VLA2 |
| 645 | (x) –>VLA2 | (•) VLA2 | (•) VLA2 | VLA2 |
| 646 | (x) –>VLA2 | (•) VLA2 | (•) VLA2 | VLA2 |
| 670 | (•) VLA2 | (•) VLA2 | (•) VLA2 | VLA2 |
| 671 | (•) VLA3 | (•) VLA3 | (•) VLA3 | VLA3 |
| 675 | (•) VLA3 | (•) VLA3 | (•) VLA3 | VLA3 |
| 684 | (•) VLA3 | (x) –>VLA3 | (•) VLA3 | VLA3 |
| 680 | (•) VLA3 | (•) VLA3 | (•) VLA3 | VLA3 |
| 652 | (•) VLA3 | (x) –>VLA3 | (x) –>VLA3 | VLA3 |
| 611 | (x) –>VLA3 | (•) VLA3 | (•) VLA3 | VLA3 |
© 2019 by the authors. Licensee MDPI, Basel, Switzerland. This article is an open access article distributed under the terms and conditions of the Creative Commons Attribution (CC BY) license (http://creativecommons.org/licenses/by/4.0/).
Share and Cite
Casolino, G.M.; Losi, A. Load Areas in Radial Unbalanced Distribution Systems. Energies 2019, 12, 3030. https://doi.org/10.3390/en12153030
Casolino GM, Losi A. Load Areas in Radial Unbalanced Distribution Systems. Energies. 2019; 12(15):3030. https://doi.org/10.3390/en12153030
Chicago/Turabian StyleCasolino, Giovanni M., and Arturo Losi. 2019. "Load Areas in Radial Unbalanced Distribution Systems" Energies 12, no. 15: 3030. https://doi.org/10.3390/en12153030
APA StyleCasolino, G. M., & Losi, A. (2019). Load Areas in Radial Unbalanced Distribution Systems. Energies, 12(15), 3030. https://doi.org/10.3390/en12153030
