Evaluation of Infrared Radiation Combined with Hot Air Convection for Energy-Efficient Drying of Biomass
Abstract
1. Introduction
2. Experimental System and Methods
2.1. Biomass Feedstock and Experimental System
2.2. Drying Procedure
2.3. Specific Energy Consumption
2.4. Statistical Analysis
3. Results and Discussion
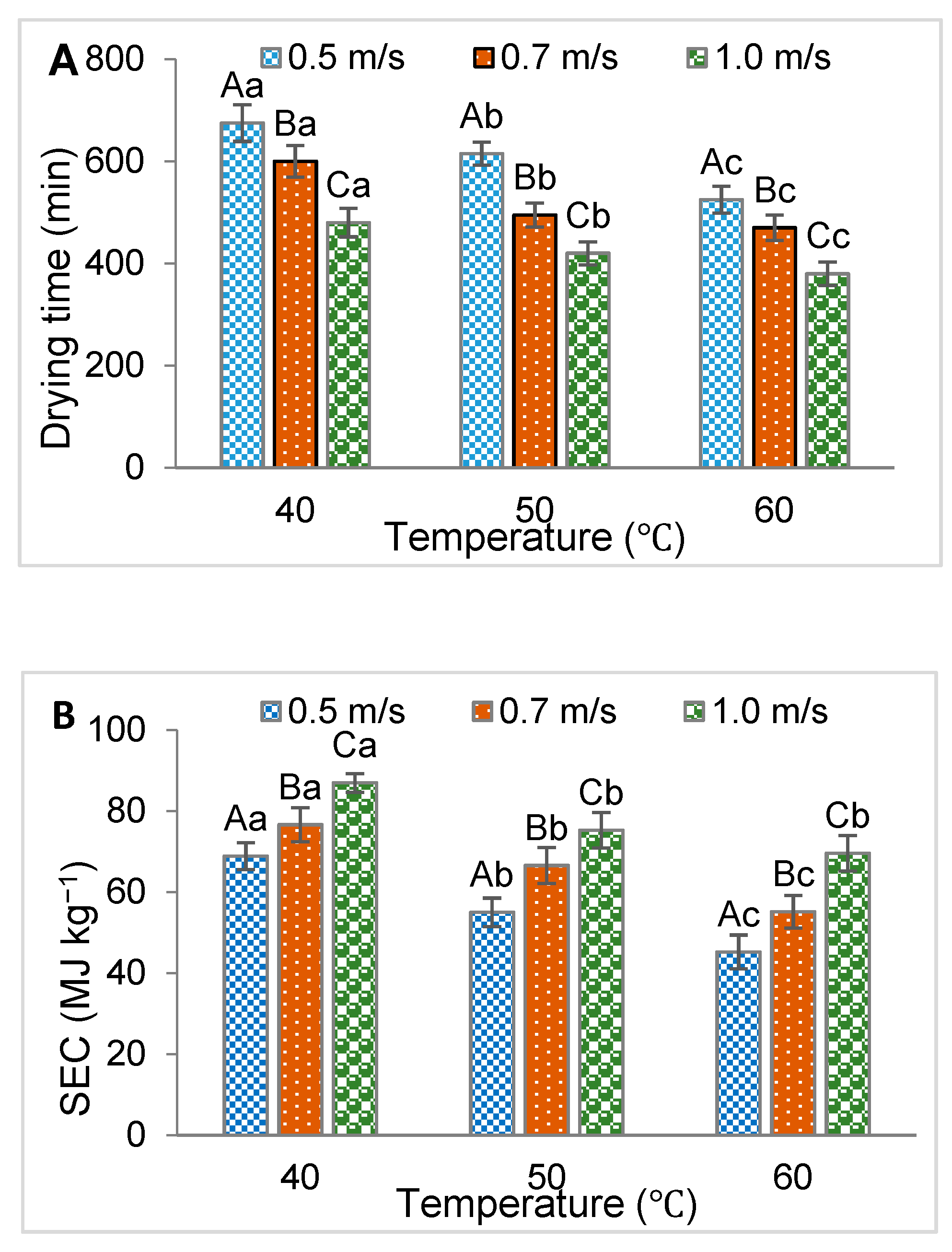
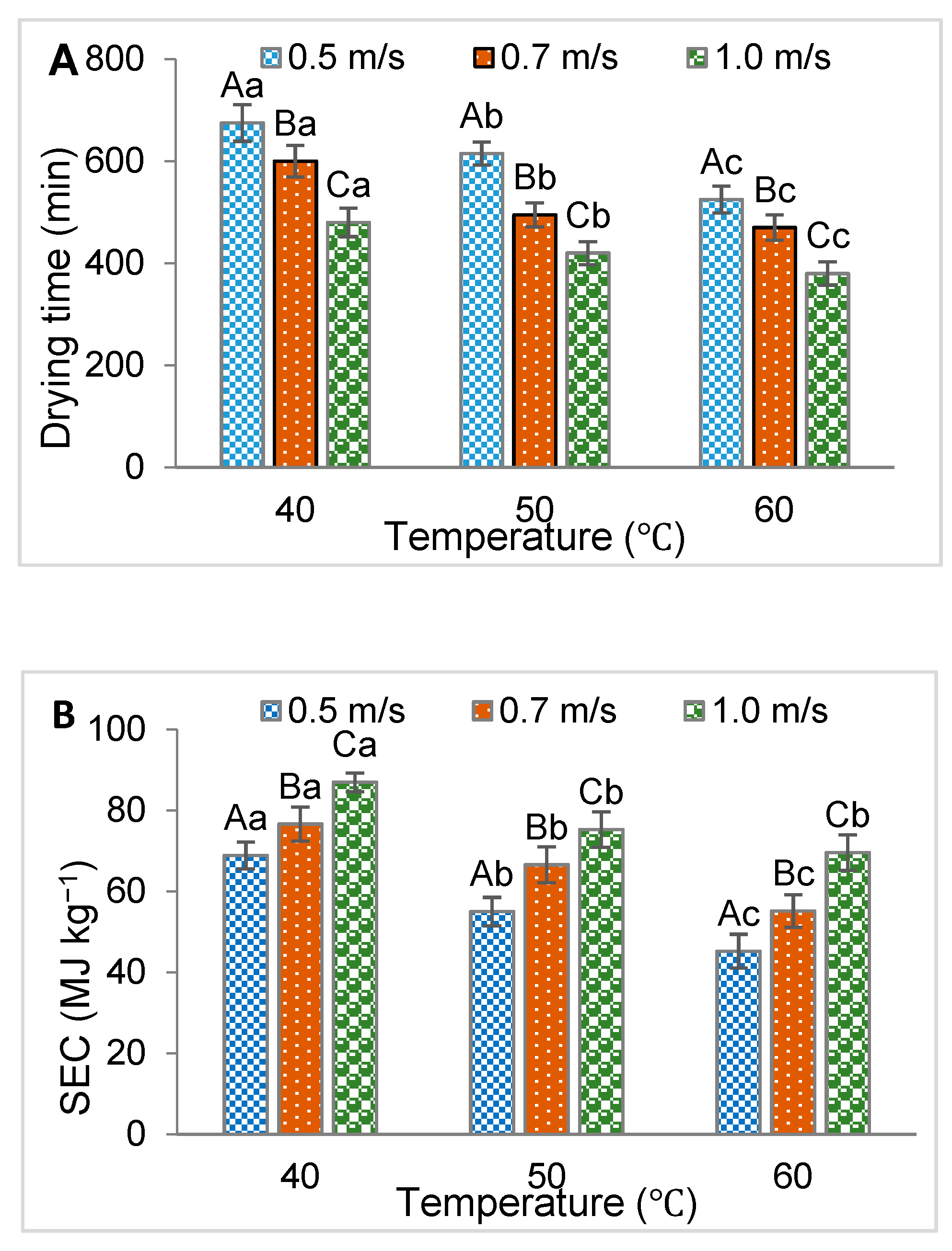
3.1. Hot Air Convection Drying
3.2. Infrared Radiation Drying
3.3. Combined Infrared/Hot Air Convection
3.4. Overall Comparison
4. Conclusions
Supplementary Materials
Author Contributions
Funding
Acknowledgments
Conflicts of Interest
References
- Dev, S.; Saha, S.; Kurade, M.B.; Salama, E.S.; El-Dalatony, M.M.; Ha, G.S.; Chang, S.W.; Jeon, B.H. Perspective on anaerobic digestion for biomethanation in cold environments. Renew. Sustain. Energy Rev. 2019, 103, 85–95. [Google Scholar] [CrossRef]
- Brigham, C.J.; Riedel, S.L. The potential of polyhydroxyalkanoate production from food wastes. Appl. Food Biotechnol. 2019, 6, 12. [Google Scholar]
- Pratt, S.; Vandi, L.J.; Gapes, D.; Werker, A.; Oehmen, A.; Laycock, B. Polyhydroxyalkanoate (PHA) bioplastics from organic waste. In Biorefinery: Integrated Sustainable Processes for Biomass Conversion to Biomaterials, Biofuels, and Fertilizers; Bastidas-Oyanedel, J.R., Schmidt, J.E., Eds.; Springer International Publishing: Cham, Switzerland, 2019; pp. 615–638. [Google Scholar]
- Tsang, Y.F.; Kumar, V.; Samadar, P.; Yang, Y.; Lee, J.; Ok, Y.S.; Song, H.; Kim, K.H.; Kwon, E.E.; Jeon, Y.J. Production of bioplastic through food waste valorization. Environ. Int. 2019, 127, 625–644. [Google Scholar] [CrossRef] [PubMed]
- Moreira, J.R. Global biomass energy potential. Mitig. Adapt. Strateg. Glob. Change 2006, 11, 313–342. [Google Scholar] [CrossRef]
- Uzoejinwa, B.B.; He, X.; Wang, S.; El-Fatah Abomohra, A.; Hu, Y.; Wang, Q. Co-pyrolysis of biomass and waste plastics as a thermochemical conversion technology for high-grade biofuel production: Recent progress and future directions elsewhere worldwide. Energy Convers. Manag. 2018, 163, 468–492. [Google Scholar] [CrossRef]
- Kumar, A.; Kumar, K.; Kaushik, N.; Sharma, S.; Mishra, S. Renewable energy in India: Current status and future potentials. Renew. Sustain. Energy Rev. 2010, 14, 2434–2442. [Google Scholar] [CrossRef]
- Ramos-Suárez, J.L.; Martínez, A.; Carreras, N. Optimization of the digestion process of Scenedesmus sp. and Opuntia maxima for biogas production. Energy Convers. Manag. 2014, 88, 1263–1270. [Google Scholar] [CrossRef]
- Chang, S.E.; Saha, S.; Kurade, M.B.; Salama, E.S.; Chang, S.W.; Jang, M.; Jeon, B.-H. Improvement of acidogenic fermentation using an acclimatized microbiome. Int. J. Hydrog. Energy 2018, 43, 22126–22134. [Google Scholar] [CrossRef]
- Basak, B.; Fatima, A.; Jeon, B.H.; Ganguly, A.; Chatterjee, P.K.; Dey, A. Process kinetic studies of biohydrogen production by co-fermentation of fruit-vegetable wastes and cottage cheese whey. Energy Sustain. Dev. 2018, 47, 39–52. [Google Scholar] [CrossRef]
- Abomohra, A.E.F.; Jin, W.; El-Sheekh, M. Enhancement of lipid extraction for improved biodiesel recovery from the biodiesel promising microalga Scenedesmus obliquus. Energy Convers. Manag. 2016, 108, 23–29. [Google Scholar] [CrossRef]
- El-Dalatony, M.M.; Salama, E.S.; Kurade, M.B.; Kim, K.Y.; Govindwar, S.P.; Kim, J.R.; Kwon, E.E.; Min, B.; Jang, M.; Oh, S.E.; et al. Whole conversion of microalgal biomass into biofuels through successive high-throughput fermentation. Chem. Eng. J. 2019, 360, 797–805. [Google Scholar] [CrossRef]
- De Farias Silva, C.E.; Bertucco, A. Bioethanol from microalgae and cyanobacteria: A review and technological outlook. Process Biochem. 2016, 51, 1833–1842. [Google Scholar] [CrossRef]
- El-Dalatony, M.M.; Saha, S.; Govindwar, S.P.; Abou-Shanab, R.A.I.; Jeon, B.H. Biological conversion of amino acids to higher alcohols. Trends Biotechnol. 2019, 37, 855–869. [Google Scholar] [CrossRef] [PubMed]
- Wang, S.; Uzoejinwa, B.B.; Abomohra, A.E.-F.; Wang, Q.; He, Z.; Feng, Y.; Zhang, B.; Hui, C.W. Characterization and pyrolysis behavior of the green microalga Micractinium conductrix grown in lab-scale tubular photobioreactor using Py-GC/MS and TGA/MS. J. Anal. Appl. Pyrolysis 2018, 135, 340–349. [Google Scholar] [CrossRef]
- Wang, S.; Yerkebulan, M.; Abomohra, A.E.F.; El-Khodary, S.; Wang, Q. Microalgae harvest influences the energy recovery: A case study on chemical flocculation of Scenedesmus obliquus for biodiesel and crude bio-oil production. Bioresour. Technol. 2019, 286, 121371. [Google Scholar] [CrossRef] [PubMed]
- Sharifzadeh, M.; Sadeqzadeh, M.; Guo, M.; Borhani, T.N.; Murthy Konda, N.V.S.N.; Garcia, M.C.; Wang, L.; Hallett, J.; Shah, N. The multi-scale challenges of biomass fast pyrolysis and bio-oil upgrading: Review of the state of art and future research directions. Prog. Energy Combust. Sci. 2019, 71, 1–80. [Google Scholar] [CrossRef]
- Chen, L.; Xing, L.; Han, L. Renewable energy from agro-residues in China: Solid biofuels and biomass briquetting technology. Renew. Sustain. Energy Rev. 2009, 13, 2689–2695. [Google Scholar] [CrossRef]
- Ståhl, M.; Granström, K.; Berghel, J.; Renström, R. Industrial processes for biomass drying and their effects on the quality properties of wood pellets. Biomass Bioenergy 2004, 27, 621–628. [Google Scholar] [CrossRef]
- Cai, J.; Chen, S. Determination of drying kinetics for biomass by thermogravimetric analysis under nonisothermal condition. Dry. Technol. 2008, 26, 1464–1468. [Google Scholar] [CrossRef]
- Anderson, J.-O.; Westerlund, L. Improved energy efficiency in sawmill drying system. Appl. Energy 2014, 113, 891–901. [Google Scholar] [CrossRef]
- Dai, J.W.; Rao, J.Q.; Wang, D.; Xie, L.; Xiao, H.W.; Liu, Y.H.; Gao, Z.-J. Process-based drying temperature and humidity integration control enhances drying kinetics of apricot halves. Dry. Technol. 2015, 33, 365–376. [Google Scholar] [CrossRef]
- Lamidi, R.O.; Jiang, L.; Pathare, P.B.; Wang, Y.D.; Roskilly, A.P. Recent advances in sustainable drying of agricultural produce: A review. Appl. Energy 2019, 233–234, 367–385. [Google Scholar] [CrossRef]
- Hu, Y.; Wang, S.; Li, J.; Wang, Q.; He, Z.; Feng, Y.; Abomohra, A.E.F.; Afonaa-Mensah, S.; Hui, C. Co-pyrolysis and co-hydrothermal liquefaction of seaweeds and rice husk: Comparative study towards enhanced biofuel production. J. Anal. Appl. Pyrolysis 2018, 129, 162–170. [Google Scholar] [CrossRef]
- Wang, X.; Chen, H.; Luo, K.; Shao, J.; Yang, H. The Influence of Microwave Drying on Biomass Pyrolysis. Energy Fuels 2008, 22, 67–74. [Google Scholar] [CrossRef]
- Rathore, N.S.; Panwar, N.L. Experimental studies on hemi cylindrical walk-in type solar tunnel dryer for grape drying. Appl. Energy 2010, 87, 2764–2767. [Google Scholar] [CrossRef]
- Singh, P.L. Silk cocoon drying in forced convection type solar dryer. Appl. Energy 2011, 88, 1720–1726. [Google Scholar] [CrossRef]
- Chua, K.J.; Chou, S.K. Low-cost drying methods for developing countries. Trends Food Sci. Technol. 2003, 14, 519–528. [Google Scholar] [CrossRef]
- Zhang, M.; Chen, H.; Mujumdar, A.S.; Tang, J.; Miao, S.; Wang, Y. Recent developments in high-quality drying of vegetables, fruits, and aquatic products. Crit. Rev. Food Sci. Nutr. 2017, 57, 1239–1255. [Google Scholar] [CrossRef]
- Onwude, D.I.; Hashim, N.; Chen, G. Recent advances of novel thermal combined hot air drying of agricultural crops. Trends Food Sci. Technol. 2016, 57, 132–145. [Google Scholar] [CrossRef]
- Elsayed, M.; Abomohra, A.E.F.; Ai, P.; Wang, D.; El-Mashad, H.M.; Zhang, Y. Biorefining of rice straw by sequential fermentation and anaerobic digestion for bioethanol and/or biomethane production: Comparison of structural properties and energy output. Bioresour. Technol. 2018, 268, 183–189. [Google Scholar] [CrossRef]
- Elsayed, M.; Abomohra, A.E.F.; Ai, P.; Jin, K.; Fan, Q.; Zhang, Y. Acetogenesis and methanogenesis liquid digestates for pretreatment of rice straw: A holistic approach for efficient biomethane production and nutrient recycling. Energy Convers. Manag. 2019, 195, 447–456. [Google Scholar] [CrossRef]
- Wang, S.; Cao, B.; Feng, Y.; Sun, C.; Wang, Q.; Abomohra, A.E.-F.; Afonaa-Mensah, S.; He, Z.; Zhang, B.; Qian, L.; et al. Co-pyrolysis and catalytic co-pyrolysis of Enteromorpha clathrata and rice husk. J. Therm. Anal. Calorim. 2019, 135, 2613–2623. [Google Scholar] [CrossRef]
- El-Sheekh, M.; Abomohra, A.E.F.; Eladel, H.; Battah, M.; Mohammed, S. Screening of different species of Scenedesmus isolated from Egyptian freshwater habitats for biodiesel production. Renew. Energy 2018, 129, 114–120. [Google Scholar] [CrossRef]
- Han, S.; Jin, W.; Chen, Y.; Tu, R.; Abomohra, A.E.F. Enhancement of lipid production of Chlorella Pyrenoidosa cultivated in municipal wastewater by magnetic treatment. Appl. Biochem. Biotechnol. 2016, 180, 1043–1055. [Google Scholar] [CrossRef] [PubMed]
- Chayjan, R.A.; Salari, K.; Abedi, Q.; Sabziparvar, A.A. Modeling moisture diffusivity, activation energy and specific energy consumption of squash seeds in a semi fluidized and fluidized bed drying. J. Food Sci. Technol. 2013, 50, 667–677. [Google Scholar] [CrossRef] [PubMed]
- Doymaz, İ. Air-drying characteristics of tomatoes. J. Food Eng. 2007, 78, 1291–1297. [Google Scholar] [CrossRef]
- Contreras, C.; Martín-Esparza, M.E.; Chiralt, A.; Martínez-Navarrete, N. Influence of microwave application on convective drying: Effects on drying kinetics, and optical and mechanical properties of apple and strawberry. J. Food Eng. 2008, 88, 55–64. [Google Scholar] [CrossRef]
- Khir, R.; Pan, Z.; Salim, A.; Hartsough, B.R.; Mohamed, S. Moisture diffusivity of rough rice under infrared radiation drying. LWT Food Sci. Technol. 2011, 44, 1126–1132. [Google Scholar] [CrossRef]
- Sharma, G.P.; Verma, R.C.; Pathare, P.B. Thin-layer infrared radiation drying of onion slices. J. Food Eng. 2005, 67, 361–366. [Google Scholar] [CrossRef]
- Adabi, E.M.; Motevali, A.; Nikbakht, A.M.; Khoshtaghaza, H.M. Investigation of some pretreatments on energy and specific energy consumption drying of black mulberry. Chem. Ind. Chem. Eng. 2013, 19, 89–105. [Google Scholar] [CrossRef]
- Onwude, D.I.; Hashim, N.; Abdan, K.; Janius, R.; Chen, G. The effectiveness of combined infrared and hot-air drying strategies for sweet potato. J. Food Eng. 2019, 241, 75–87. [Google Scholar] [CrossRef]
- Das, I.; Das, S.K.; Bal, S. Drying kinetics of high moisture paddy undergoing vibration-assisted infrared (IR) drying. J Food. Eng. 2009, 95, 166–171. [Google Scholar] [CrossRef]
- Ruiz Celma, A.; Rojas, S.; Lopez-Rodríguez, F. Mathematical modelling of thin-layer infrared drying of wet olive husk. Chem. Eng. Process. Process Intensif. 2008, 47, 1810–1818. [Google Scholar] [CrossRef]
- Fasina, O.; Tyler, B.; Pickard, M.; Zheng, G.H.; Wang, N. Effect of infrared heating on the properties of legume seeds. Int. J Food Sci. Technol. 2001, 36, 79–90. [Google Scholar] [CrossRef]
- Jaturonglumlert, S.; Kiatsiriroat, T. Heat and mass transfer in combined convective and far-infrared drying of fruit leather. J. Food Eng. 2010, 100, 254–260. [Google Scholar] [CrossRef]
- Lin, Y.L.; Li, S.J.; Zhu, Y.; Bingol, G.; Pan, Z.; McHugh, T.H. Heat and mass transfer modeling of apple slices under simultaneous infrared dry blanching and dehydration process. Dry. Technol. 2009, 27, 1051–1059. [Google Scholar] [CrossRef]
- Mongpraneet, S.; Abe, T.; Tsurusaki, T. Accelerated drying of welsh onion by far infrared radiation under vacuum conditions. J. Food Eng. 2002, 55, 147–156. [Google Scholar] [CrossRef]
- Liu, Y.; Zhu, W.; Luo, L.; Li, X.; Yu, H. A mathematical model for vacuum far-infrared drying of potato slices. Dry. Technol. 2014, 32, 180–189. [Google Scholar] [CrossRef]
- Zhang, M.; Tang, J.; Mujumdar, A.S.; Wang, S. Trends in microwave-related drying of fruits and vegetables. Trends Food Sci. Technol. 2006, 17, 524–534. [Google Scholar] [CrossRef]
- El-Mesery, H.S.; Mwithiga, G. Comparison of a gas fired hot-air dryer with an electrically heated hot-air dryer in terms of drying process, energy consumption and quality of dried onion slices. Afr. J. Agric. Res. 2012, 7, 4440–4452. [Google Scholar]
- Sharma, G.P.; Prasad, S. Specific energy consumption in microwave drying of garlic cloves. Energy 2006, 31, 1921–1926. [Google Scholar] [CrossRef]
- Ma, J.; Zhang, L.; Mu, L.; Zhu, K.; Li, A. Thermally assisted bio-drying of food waste: Synergistic enhancement and energetic evaluation. Waste Manage. 2018, 80, 327–338. [Google Scholar] [CrossRef] [PubMed]
- Sharholy, M.; Ahmad, K.; Mahmood, G.; Trivedi, R.C. Municipal solid waste management in Indian cities—A review. Waste Manage. 2008, 28, 459–467. [Google Scholar] [CrossRef] [PubMed]
- Tom, A.P.; Pawels, R.; Haridas, A. Biodrying process: A sustainable technology for treatment of municipal solid waste with high moisture content. Waste Manage. 2016, 49, 64–72. [Google Scholar] [CrossRef] [PubMed]
- Shouse, S.; Hanna, M.; Petersen, D. Energy considerations for low-temperature grain drying. In Agriculture and Environment Extension Publications; Outreach, I., Ed.; Iowa Energy Center: Ames, IA, USA, 2012; Volume 200. [Google Scholar]
- USEIA Average Price of Electricity to Ultimate Customers by End-Use sSector, by State, April 2019, U.S. Energy Information Administration. Available online: https://www.eia.gov/electricity/monthly/epm_table_grapher.php?t=epmt_5_6_a (accessed on 11 July 2019).
- Yan, W.Q.; Zhang, M.; Huang, L.L.; Tang, J.; Mujumdar, A.S.; Sun, J.C. Studies on different combined microwave drying of carrot pieces. Int. J. Food Sci. Technol. 2010, 45, 2141–2148. [Google Scholar] [CrossRef]
- Akpinar, E.K. Energy and exergy analyses of drying of red pepper slices in a convective type dryer. Int. Commun. Heat Mass Transf. 2004, 31, 1165–1176. [Google Scholar] [CrossRef]
- Abbaszadeh Mayvan, A.; Ghobadian, B. Effective moisture diffusivity, activation energy and energy consumption in thin-layer drying of Jujube (Zizyphus jujube Mill). J. Agric. Sci. Technol. 2012, 14, 523–533. [Google Scholar]
- Samadi, S.H.; Loghmanieh, I. Evaluation of energy aspects of apple drying in the hot-air and infrared dryers. Energy Res. J. 2013, 4, 30–38. [Google Scholar] [CrossRef]
- El-Mesery, H.S.; Mwithiga, G. Performance of a convective, infrared and combined infrared—Convective heated conveyor-belt dryer. J. Food Sci. Technol. 2015, 52, 2721–2730. [Google Scholar] [CrossRef]








| Agricultural Products | Drying Method | Drying Conditions | MRT (hours) | SEC | Final Moisture Content (%) | References |
|---|---|---|---|---|---|---|
| Garlic cloves | HA | T = 70, V = 2 | 6.5 | 85.45 MJ/kg | 6 6 | [52] |
| MW-HA | T = 70, V = 2, W = 40 | 1 | 62.02 MJ/kg | |||
| Carrot slices | MW-VA | W = 2.4 VA = 5 | 1.6 | 50 KJ/kg | 8 | [58] |
| Red pepper | HA | T = 70 V = 1.5 | 2.66 | 4.45 KJ/kg | 10 | [59] |
| Jujube | HA | T = 70 V = 1.5 | 16.6 | 203.59 KWh/kg | 12 | [60] |
| Apple | HA | T= 150 V = 1 | 1.18 | 500 KWh/kg | 12 | [61] |
| IR | IR = 0.49 V = 1 | 1 | 70 KWh/kg | 12 | ||
| Apple | HA | T = 60, V = 0.6 | 5.6 | 24 MJ/kg | 11 11 11 | [62] |
| IR | IR = 2000, V = 0.6 | 4 | 7 MJ/kg | |||
| IR-HA | T = 60, V = 0.6, IR = 2000 | 2.5 | 5 MJ/kg | |||
| Onion | HA | T = 70, V = 2 | 9.2 | 43.34 MJ/kg | 10 10 | [51] |
| Tomato slices | IR-HA | T = 60, V = 0.3, IR = 300 | 3.75 | 3.77 MJ/kg | 5 | This study |
© 2019 by the authors. Licensee MDPI, Basel, Switzerland. This article is an open access article distributed under the terms and conditions of the Creative Commons Attribution (CC BY) license (http://creativecommons.org/licenses/by/4.0/).
Share and Cite
EL-Mesery, H.S.; Abomohra, A.E.-F.; Kang, C.-U.; Cheon, J.-K.; Basak, B.; Jeon, B.-H. Evaluation of Infrared Radiation Combined with Hot Air Convection for Energy-Efficient Drying of Biomass. Energies 2019, 12, 2818. https://doi.org/10.3390/en12142818
EL-Mesery HS, Abomohra AE-F, Kang C-U, Cheon J-K, Basak B, Jeon B-H. Evaluation of Infrared Radiation Combined with Hot Air Convection for Energy-Efficient Drying of Biomass. Energies. 2019; 12(14):2818. https://doi.org/10.3390/en12142818
Chicago/Turabian StyleEL-Mesery, Hany S., Abd El-Fatah Abomohra, Chan-Ung Kang, Ji-Kwang Cheon, Bikram Basak, and Byong-Hun Jeon. 2019. "Evaluation of Infrared Radiation Combined with Hot Air Convection for Energy-Efficient Drying of Biomass" Energies 12, no. 14: 2818. https://doi.org/10.3390/en12142818
APA StyleEL-Mesery, H. S., Abomohra, A. E.-F., Kang, C.-U., Cheon, J.-K., Basak, B., & Jeon, B.-H. (2019). Evaluation of Infrared Radiation Combined with Hot Air Convection for Energy-Efficient Drying of Biomass. Energies, 12(14), 2818. https://doi.org/10.3390/en12142818

