An Innovative Planning Method for the Optimal Capacity Allocation of a Hybrid Wind–PV–Pumped Storage Power System
Abstract
:1. Introduction
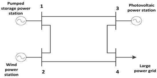
2. The Topology of Hybrid RESs
3. Optimal Capacity Configuration Model
3.1. Objective Function
3.2. Constraint Conditions
3.2.1. Total Investment Cost Constraints
3.2.2. Wind Power and PV Output Constraints
3.2.3. Pumped Storage Unit Output Constraints
3.2.4. Storage Constraints
3.2.5. Quadratic Constraints
3.3. Optimal Configuration Algorithm Flow Diagram
- (1)
- Input raw data, such as the typical annual wind speed and light intensity, the unit configuration data of each power station, the total equipment investment and the on-grid price of renewable energy.
- (2)
- According to the total investment constraints, the enumeration method is utilized to formulate the capacity allocation plan for the whole hybrid system.
- (3)
- A comprehensive benefit model is established considering the investment of the renewable energy power station, on-grid income, the possibility of unit failure, and the adjustment capacity of the pumped storage unit.
- (4)
- The sequential Monte Carlo method is used to simulate the failure possibility and actual output of the renewable energy unit, and the comprehensive benefits of each scheme are calculated.
- (5)
- When the calculation of all capacity allocation schemes is completed, a comprehensive analysis is carried out based on different indicators, such as the system reliability and wind/solar abandonment rate.
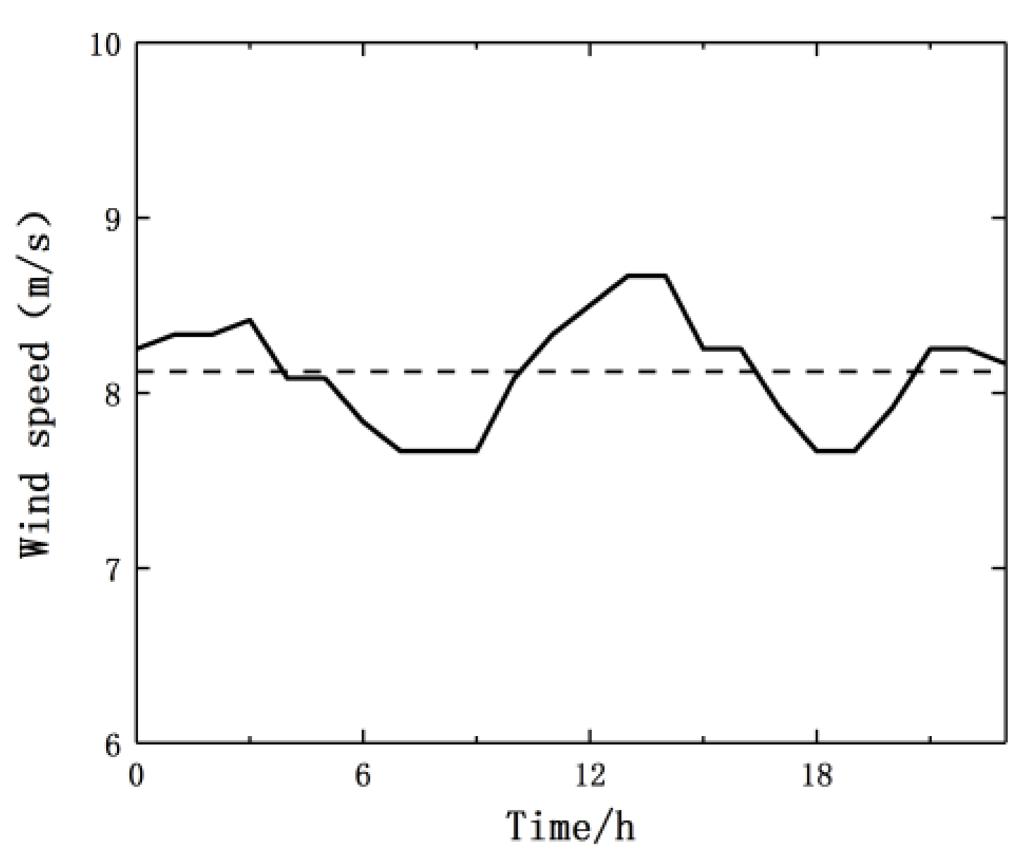
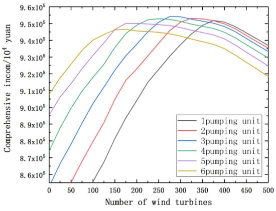
4. Case Study
- (1)
- The pumped-storage power station 0’s pumping–generating efficiency η is 75%; the pumped storage unit is charged separately for start-up and shutdown, and the cost is calculated at 3000 yuan each time [24]; the minimum power factor α in pumping mode is 50%, and the minimum power factor β in generating mode is 15%.
- (2)
- According to the “Notice of the National Development and Reform Commission on Improving the Electricity Price Policy for Onshore Wind and PV Power Generation”, the wind power on-grid price of the region is 0.47 yuan/kWh; according to the “Notice of the National Development and Reform Commission on the price policy of PV power generation projects in 2018”, the on-grid price of PV in the region is 0.65 yuan/kWh.
- (3)
- (4)
- The total depreciation period is 20 years, and the residual value rate is set as 5%.
- (5)
- The cut-in wind speed, rated wind speed and cut-out wind speed of the wind turbine are taken as 15 km/h, 45 km/h and 90 km/h, respectively; in addition, the photo-electronic conversion efficiency is 14%, and the output efficiency of the PV power inverter is 92% [27].
5. Conclusions
- (1)
- An innovative planning method for the optimal capacity allocation of a large-scale hybrid wind–PV-pumped storage power system under certain investment amounts and wind and solar energy is proposed, and the optimal wind farm, PV and pumped-storage capacity configurations corresponding to the maximum comprehensive benefit can be obtained. The method considers factors such as the output of wind turbines and photovoltaic units, pumped storage unit adjustment, storage capacity constraints, and wind farm and PV coordination generation, meeting the reliability requirements and conforming to the actual situation;
- (2)
- The type of energy consumed by the pumped storage unit pumping has a great impact on the comprehensive benefit. When the sum of wind–PV generation exceeds the load demand, the benefit from storing wind energy is much greater than the benefit from storing photovoltaic energy;
- (3)
- The optimal capacity of the pumped storage unit calculated according to this method can overcome the influence of wind–PV generation failure and meets the reliability requirements of LOLP and EENS.
Author Contributions
Funding
Conflicts of Interest
References
- Zhang, L.; Yin, M.; Bu, J.; Song, K. A Joint Optimal Operation Model of Wind Farms and Pumped Storage Units Based on Cost-Benefit Analysis. Power Syst. Technol. 2015, 39, 3386–3392. (In Chinese) [Google Scholar]
- Guo, C.; Zhang, L.; Zhang, J.; Zong, M. Reliability analysis of wind and photovoltaic integrated generating system. Power Syst. Prot. Control 2013, 41, 102–108. (In Chinese) [Google Scholar]
- Deane, J.P.; Gallachoir, B.P.; McKeogh, E.J. Techno-economic review of existing and new pumped hydro energy storage plant. Renew. Sustain. Energy Rev. 2010, 14, 1293–1302. [Google Scholar] [CrossRef]
- Ma, T.; Yang, H.; Lu, L.; Peng, J. Pumped storage-based standalone photovoltaic power generation system: modeling and techno-economic optimization. Appl. Energy 2015, 137, 649–659. [Google Scholar] [CrossRef]
- Ma, T.; Yang, H.; Lu, L.; Peng, J. Technical feasibility study on a standalone hybrid solar-wind system with pumped hydro storage for a remote island in Hong Kong. Renew. Energy 2014, 69, 7–15. [Google Scholar] [CrossRef]
- Ma, T.; Yang, H.; Lu, L.; Peng, J. Optimal design of an autonomous solar–wind-pumped storage power supply system. Appl. Energy 2015, 160, 728–736. [Google Scholar] [CrossRef]
- Billinton, R.; Cui, Y. Reliability evaluation of small stand-alone wind energy conversion systems using a time series simulation model. IEE Proc. Gener. Transm. Distrib. 2003, 150, 96–100. [Google Scholar] [CrossRef]
- Roy, B. Impacts of energy storage on power system reliability performance. In Proceedings of the Canadian Conference on Electrical and Computer Engineering, Saskatoon, SK, Canada, 1–4 May 2005; pp. 494–497. [Google Scholar]
- Billinton, R. Incorporating well-being considerations in generating systems using energy storage. IEEE Trans. Energy Convers. 2005, 20, 225–230. [Google Scholar]
- Notton, G.; Mistrushi, D.; Stoyanov, L.; Berberi, P. Operation of a photovoltaic-wind plant with a hydro pumping-storage for electricity peak-shaving in an island context. Sol. Energy 2017, 157, 20–34. [Google Scholar] [CrossRef]
- Sultan, H.M.; Zaki Diab, A.A.; Kuznetsov, O.N.; Zubkova, I.S. Design and evaluation of PV-wind hybrid system with hydroelectric pumped storage on the National Power System of Egypt. Glob. Energy Interconnect. 2018, 1, 301–311. [Google Scholar]
- Li, J.; Zheng, X.; Ai, X. Optimal Design of Capacity of Distributed Generation in Island Standalone Microgrid. Trans. China Electrotech. Soc. 2016, 31, 176–184. (In Chinese) [Google Scholar]
- Ding, M.; Wang, B.; Zhao, B. Configuration Optimization of Capacity of Standalone PV-Wind-Diesel-Battery Hybrid Microgrid. Power Syst. Technol. 2013, 37, 575–581. (In Chinese) [Google Scholar]
- Pan, W.; Li, J.; Fang, K. Optimization Method of Capacity Configuration of Standalone Microgrid Considering Subsidy. Power Syst. Technol. 2018, 42, 2206–2212. (In Chinese) [Google Scholar]
- Li, Z.; Li, Y.; Zhang, D. Influence analysis and optimal allocation of energy storage device on reliability of distribution network. Power Syst. Technol. 2018, 11, 3676–3683. (In Chinese) [Google Scholar]
- Hou, Y.; Wang, X. Dimensional Importance Based Quasi-Monte Carlo Method for Power System Reliability Evaluation. Autom. Electr. Power Syst. 2016, 40, 31–37. (In Chinese) [Google Scholar]
- Wang, H.; Bai, X.; Xu, J. Reliability assessment considering the coordination of wind power, solar energy and energy storage. Proc. CSEE 2012, 32, 13–20. (In Chinese) [Google Scholar]
- Cui, J.; Yang, J.; Xing, Z. Multi-scenario Wind Power Forecasting Method Based on Single Turbine Optimal Power Curve Fitting. Autom. Electr. Power Syst. 2015, 39, 23–28. (In Chinese) [Google Scholar]
- Cui, J.; Yang, J.; Yang, L. New Method of Combined Wind Power Forecasting Based on Improved CFD and Wavelet-HNN Model. Power Syst. Technol. 2017, 41, 79–85. (In Chinese) [Google Scholar]
- Xiao, B.; Cong, J.; Gao, X. A Method to Evaluate Comprehensive Benefits of Hybrid Wind Power-Pumped Storage System. Power Syst. Technol. 2014, 38, 400–404. (In Chinese) [Google Scholar]
- Wang, M. Reliability Evaluation and Credible Capacity Model of Joint System consist of Multi-Wind Farms and Pumped Storage Power Station. Master’s Thesis, Chongqing University, Chongqing, China, 2016. [Google Scholar]
- Hu, Z.; Ding, H.; Kong, T. A Joint Daily Operational Optimization Model for Wind Power and Pumped-storage Plant. Autom. Electr. Power Syst. 2012, 36, 36–41. (In Chinese) [Google Scholar]
- Rathore, A.; Patidar, N.P. Reliability assessment using probabilistic modelling of pumped storage hydro plant with PV-Wind based standalone microgrid. Electr. Power Energy Syst. 2019, 106, 17–32. [Google Scholar] [CrossRef]
- Billinton, R.; Li, W. Reliability Assessment of Electric Power Systems Using Monte Carlo Methods; Plenum Press: New York, NY, USA; London, UK, 1994; pp. 34–37. [Google Scholar]
- Zhao, H.; Zhang, J.; Gao, D. A Condition Based Opportunistic Maintenance Strategy for Wind Turbine. Proc. CSEE 2015, 35, 3851–3858. (In Chinese) [Google Scholar]
- Zhong, Y. Research on Cost Compensation Strategy of Photovoltaic Grid-connected Power Generation Project Based on Real Options. Chin. J. Manag. Sci. 2010, 18, 68–74. (In Chinese) [Google Scholar]
- Chen, X.; Yang, Y.; Zhang, Y. Influence of Illumination Probability of Photovoltaic System on Voltage of Power Distribution Networks. J. South China Univ. Technol. 2015, 43, 112–118. (In Chinese) [Google Scholar]












| Power Unit | Stand-Alone Capacity/MW | Unit Cost/(Ten Thousand Yuan/MW) | Failure Rate/Year−1 | Repair Time/h |
|---|---|---|---|---|
| Wind Turbine | 3 | 750 | 1.5 | 600 |
| PV array | 0.08 | 600 | 0.9 | 6 |
| Pumped storage unit | 80 | 370 | \ | \ |
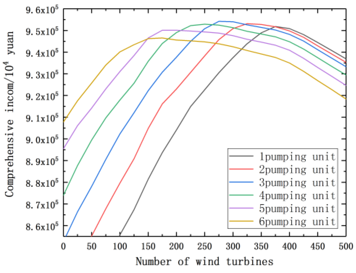
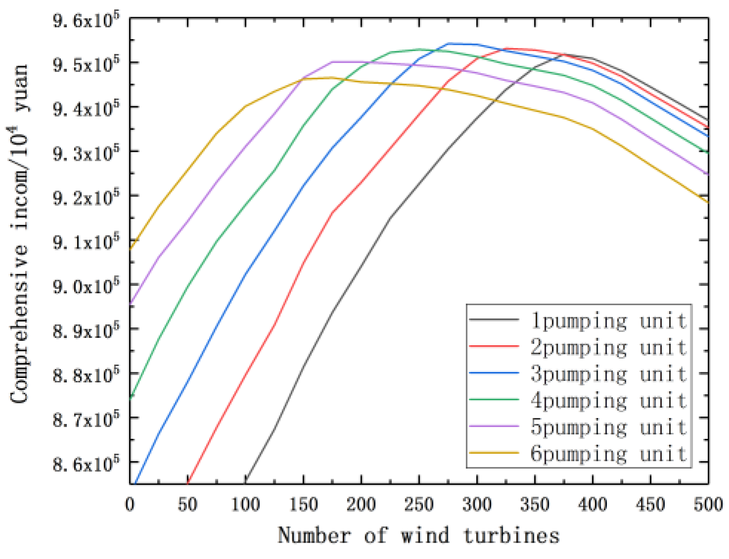
| Scheme | Pumped Storage Unit Quantity | Pumped Storage Capacity/MW | Wind Turbine Quantity | Wind Turbine Capacity/MW | Photovoltaic Panel Quantity | Photovoltaic Panel Capacity/MW | Comprehensive Benefit/Ten Thousand Yuan |
|---|---|---|---|---|---|---|---|
| 1 | 3 | 240 | 275 | 825 | 68,593 | 5487 | 954,218 |
| 2 | 4 | 320 | 250 | 750 | 69,148 | 5532 | 952,902 |
| 3 | 5 | 400 | 175 | 525 | 72,047 | 5764 | 950,112 |
| Scheme | LOLP | EENS/MWh | Wind and Solar Curtailment Ratio | Comprehensive Benefit/Ten Thousand Yuan |
|---|---|---|---|---|
| 1 | 0.33 | 1307 | 7.1% | 954,218 |
| 2 | 0 | 0 | 4.8% | 952,902 |
| 3 | 0 | 0 | 3.9% | 950,112 |
© 2019 by the authors. Licensee MDPI, Basel, Switzerland. This article is an open access article distributed under the terms and conditions of the Creative Commons Attribution (CC BY) license (http://creativecommons.org/licenses/by/4.0/).
Share and Cite
Xu, Y.; Lang, Y.; Wen, B.; Yang, X. An Innovative Planning Method for the Optimal Capacity Allocation of a Hybrid Wind–PV–Pumped Storage Power System. Energies 2019, 12, 2809. https://doi.org/10.3390/en12142809
Xu Y, Lang Y, Wen B, Yang X. An Innovative Planning Method for the Optimal Capacity Allocation of a Hybrid Wind–PV–Pumped Storage Power System. Energies. 2019; 12(14):2809. https://doi.org/10.3390/en12142809
Chicago/Turabian StyleXu, Yumin, Yansheng Lang, Boying Wen, and Xiaonan Yang. 2019. "An Innovative Planning Method for the Optimal Capacity Allocation of a Hybrid Wind–PV–Pumped Storage Power System" Energies 12, no. 14: 2809. https://doi.org/10.3390/en12142809
APA StyleXu, Y., Lang, Y., Wen, B., & Yang, X. (2019). An Innovative Planning Method for the Optimal Capacity Allocation of a Hybrid Wind–PV–Pumped Storage Power System. Energies, 12(14), 2809. https://doi.org/10.3390/en12142809
