A Rebalancing Strategy for the Imbalance Problem in Bike-Sharing Systems
Abstract
1. Introduction
- An algorithm based on the Random Walk Process with two absorption walls (RWTAW) is proposed to calculate the optimal state of each station at a specific time. We prove that a station in the optimal state has the lowest possibility of being empty or full.
- An algorithm called the largest the first (TLTF) is proposed to choose the optimal station among the candidate stations on consideration of the walking distance and the minimal influence for the chosen station.
- Through establishing a simulation model of BSS based on historical datasets, we verify the effectiveness of our strategy for solving the imbalance problem compared with the truck-based static and dynamic strategies.
2. Related Work
2.1. System Rebalancing
2.1.1. Truck-Based Rebalancing
2.1.2. Customer-Oriented Rebalancing
2.2. System Prediction
2.3. System Design and Traffic Pattern Analyzing
3. Design Overview
3.1. Problem Statement
3.2. Framework
- Customer Module: This module is designed to simulate the behaviors of customers. In BSS, there are two processes that need to be modeled. One is the customers’ arrival process for renting at a station and the other is the arrival process for returning. Previous studies [42,43] have demonstrated that these two processes can be described by the inhomogeneous Poisson process. According to the definition of the Poisson process, in BSS, we need to determine the arrival rate. and are defined as the arrival rates corresponding to the two processes, respectively. The arrival rate represents the number of customers arriving at the station per unit time. Therefore, and are two important parameters in the customer module. Moreover, the trip duration is necessary for each trip. According to the analysis of historical data (as shown in Section 5), the distribution of trip duration fits well with the lognormal distribution. Therefore, the trip duration for a certain trip is a random number of log-normal distribution in our simulated BSS.
- Station Module: We design this module to simulate the states of stations in the BSS. Each station in the system has three properties: geographic location, capacity and transition matrix. The geographic location is decided by the latitude and longitude. The capacity represents the number of docks. The transition matrix includes the probabilities that customers ride bikes from station (departure station) to other stations. The geographic location and capacity are defined in the system. The transition matrix can be obtained by the historical records.
- System Control Module: This module is the core part of rebalancing in the BSS. The optimal state of a station is calculated by the RWTAW algorithm. The TLTF algorithm calculates the optimal station based on the walking distance and the current states of the candidate stations. The control module is the main contribution of this work. We will describe the details of the RWTAW and TLTF algorithms in the next section.
4. Methodology
4.1. The Optimal State Calculating
| Algorithm 1: RATAW |
![]() |
4.2. The Optimal Station Selecting
| Algorithm 2: TLTF |
![]() |
5. Experimental
5.1. Data Set Description
5.2. Performance Metrics for Bike-Sharing System
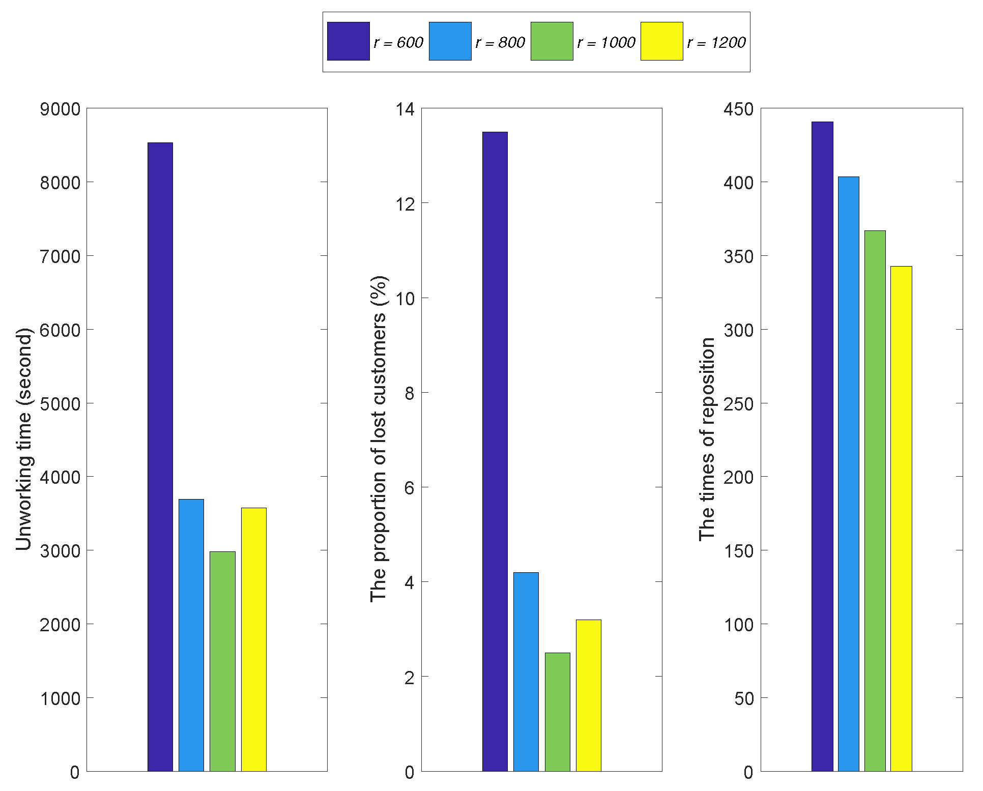
- The unworking time: The sum of the duration time of the stations which keep empty or full. The unsatisfactory service increases when a station is in its unworking time, since customers have no available bikes or docks to use. The smaller the unworking time of the system, the smaller the probability of failing to rent bikes or return bikes.
- The proportion of lost customers (): is defined as follows:where is the number of customers who fail to rent or return a bike, is the number of customers who successfully ride a bike. The smaller the value of , the better the performance of the system.
- The times of reposition: The number of bikes that need to be rebalanced (the truck-based rebalancing strategies) or the number of customers (the customer-oriented rebalancing strategies). In terms of the truck-based rebalancing strategies, the times of relocating bikes corresponds to the truck operating costs. For customer-oriented rebalancing strategies, the incentive cost also increases with the increasing number of incentive customers. To simplify things, the cost of delivering a bike is seen as the same as incentivizing a customer. Obviously, the smaller the times of reposition, the less the costs of rebalancing.
5.3. Parameter Setting
5.4. Results
- No Rebalancing (NR): We operate the system without any intervention, even if there appears full or empty stations.
- Static Rebalancing (SR): The static rebalancing strategy is that we bring the stations to their optimal state once a day, at 3:00 a.m., as in Reference [7].
- Dynamic Rebalancing (DR): The dynamic rebalancing strategy proposed in Reference [20] calculates the optimal state for stations first, and then makes each station be in its optimal state at the beginning of every i hours. In our experiments, we simulate three DR strategies, that is, .
6. Conclusions
Author Contributions
Funding
Conflicts of Interest
References
- Lin, B.; Zhu, J. Impact of energy saving and emission reduction policy on urban sustainable development: Empirical evidence from China. Appl. Energy 2019, 239, 12–22. [Google Scholar] [CrossRef]
- Fishman, E.; Washington, S.; Haworth, N. Bike share’s impact on car use: Evidence from the United States, Great Britain, and Australia. Transport. Res. Part D-Transport. Environ. 2014, 31, 13–20. [Google Scholar] [CrossRef]
- Zhang, Y.; Mi, Z. Environmental benefits of bike sharing: A big data-based analysis. Appl. Energy 2018, 220, 296–301. [Google Scholar] [CrossRef]
- Chemla, D.; Meunier, F.; Calvo, R.W. Bike sharing systems: Solving the static rebalancing problem. Discret. Optim. 2013, 10, 120–146. [Google Scholar] [CrossRef]
- Pal, A.; Zhang, Y. Free-floating bike sharing: Solving real-life large-scale static rebalancing problems. Transp. Res. Part C-Emerg. Technol. 2017, 80, 92–116. [Google Scholar] [CrossRef]
- Erdoğan, G.; Battarra, M.; Calvo, R.W. An exact algorithm for the static rebalancing problem arising in bicycle sharing systems. Eur. J. Oper. Res. 2015, 245, 667–679. [Google Scholar] [CrossRef]
- O’Mahony, E.; Shmoys, D.B. Data Analysis and Optimization for (Citi)Bike Sharing. In Proceedings of the Twenty-Ninth AAAI Conference on Artificial Intelligence, AAAI’15, Austin, TX, USA, 25–30 January 2015; AAAI Press: Menlo Park, CA, USA, 2015; pp. 687–694. [Google Scholar]
- Contardo, C.; Morency, C.; Rousseau, L.M. Balancing a Dynamic Public Bike-Sharing System; Technical Report; Cirrelt: Montreal, QC, Canada, 2012. [Google Scholar]
- Li, Y.; Zheng, Y.; Yang, Q. Dynamic Bike Reposition: A Spatio-Temporal Reinforcement Learning Approach. In Proceedings of the 24th ACM SIGKDD International Conference on Knowledge Discovery & Data Mining, London, UK, 19–23 August 2018; ACM: New York, NY, USA, 2018; pp. 1724–1733. [Google Scholar]
- Chemla, D.; Meunier, F.; Pradeau, T.; Calvo, R.W.; Yahiaoui, H. Self-Service Bike Sharing Systems: Simulation, Repositioning, Pricing; Technical Report; Centre d’Enseignement et de Recherche en Mathematiques et Calcul Scientifique (CERMICS): Marne la Vallée, France, 2013. [Google Scholar]
- Singla, A.; Santoni, M.; Bartók, G.; Mukerji, P.; Meenen, M.; Krause, A. Incentivizing Users for Balancing Bike Sharing Systems. In Proceedings of the Twenty-Ninth AAAI Conference on Artificial Intelligence, Austin, TX, USA, 25–30 January 2015; AAAI Press: Menlo Park, CA, USA, 2015; pp. 723–729. [Google Scholar]
- Fricker, C.; Gast, N. Incentives and redistribution in homogeneous bike-sharing systems with stations of finite capacity. EURO J. Transp. Logist. 2014, 5, 261–291. [Google Scholar] [CrossRef]
- DeMaio, P. Bike-sharing: History, Impacts, Models of Provision, and Future. J. Publ. Transp. 2009, 12, 41–56. [Google Scholar] [CrossRef]
- Wang, M.; Zhou, X. Bike-sharing systems and congestion: Evidence from US cities. J. Transp. Geogr. 2017, 65, 147–154. [Google Scholar] [CrossRef]
- Fishman, E. Bikeshare: A Review of Recent Literature. Transp. Rev. 2015, 36, 92–113. [Google Scholar] [CrossRef]
- Shen, Y.; Zhang, X.; Zhao, J. Understanding the usage of dockless bike sharing in Singapore. Int. J. Sustain. Transp. 2018, 12, 686–700. [Google Scholar] [CrossRef]
- Raviv, T.; Tzur, M.; Forma, I.A. Static repositioning in a bike-sharing system: models and solution approaches. EURO J. Transp. Logist. 2013, 2, 187–229. [Google Scholar] [CrossRef]
- Schuijbroek, J.; Hampshire, R.; van Hoeve, W.J. Inventory rebalancing and vehicle routing in bike sharing systems. Eur. J. Oper. Res. 2017, 257, 992–1004. [Google Scholar] [CrossRef]
- Liu, Y.; Szeto, W.; Ho, S.C. A static free-floating bike repositioning problem with multiple heterogeneous vehicles, multiple depots, and multiple visits. Transp. Res. Pt. C-Emerg. Technol. 2018, 92, 208–242. [Google Scholar] [CrossRef]
- Chiariotti, F.; Pielli, C.; Zanella, A.; Zorzi, M. A Dynamic Approach to Rebalancing Bike-Sharing Systems. Sensors 2018, 18, 512. [Google Scholar] [CrossRef] [PubMed]
- Liu, J.; Sun, L.; Chen, W.; Xiong, H. Rebalancing bike sharing systems: A multi-source data smart optimization. In Proceedings of the 22nd ACM SIGKDD International Conference on Knowledge Discovery and Data Mining, San Francisco, CA, USA, 13–17 August 2016; ACM: New York, NY, USA, 2016; pp. 1005–1014. [Google Scholar]
- Sadilek, A.; Krumm, J.; Horvitz, E. Crowdphysics: Planned and opportunistic crowdsourcing for physical tasks. In Proceedings of the Seventh International AAAI Conference on Weblogs and Social Media, Boston, MA, USA, 8–11 July 2013. [Google Scholar]
- Fernández, A.; Timón, S.; Ruiz, C.; Cumplido, T.; Billhardt, H.; Dunkel, J. A Bike Sharing System Simulator. In Proceedings of the International Conference on Practical Applications of Agents and Multi-Agent Systems, Toledo, Spain, 20–22 June 2018; Springer: Berlin, Germany, 2018; pp. 428–440. [Google Scholar]
- Pfrommer, J.; Warrington, J.; Schildbach, G.; Morari, M. Dynamic Vehicle Redistribution and Online Price Incentives in Shared Mobility Systems. IEEE Trans. Intell. Transp. Syst. 2014, 15, 1567–1578. [Google Scholar] [CrossRef]
- Pan, L.; Cai, Q.; Fang, Z.; Tang, P.; Huang, L. A Deep Reinforcement Learning Framework for Rebalancing Dockless Bike Sharing Systems. arXiv 2018, arXiv:1802.04592. [Google Scholar]
- Diez, C.; Palanca, J.; Sanchez-Anguix, V.; Heras, S.; Giret, A.; Julián, V. Towards a Persuasive Recommender for Bike Sharing Systems: A Defeasible Argumentation Approach. Energies 2019, 12, 662. [Google Scholar] [CrossRef]
- Zeng, M.; Yu, T.; Wang, X.; Su, V.; Nguyen, L.T.; Mengshoel, O.J. Improving Demand Prediction in Bike Sharing System by Learning Global Features. In Proceedings of the Machine Learning for Large Scale Transportation Systems (LSTS)@ KDD-16, San Francisco, CA, USA, 13 August 2016. [Google Scholar]
- Kaltenbrunner, A.; Meza, R.; Grivolla, J.; Codina, J.; Banchs, R. Urban cycles and mobility patterns: Exploring and predicting trends in a bicycle-based public transport system. Pervasive Mob. Comput. 2010, 6, 455–466. [Google Scholar] [CrossRef]
- Yoon, J.W.; Pinelli, F.; Calabrese, F. Cityride: A predictive bike sharing journey advisor. In Proceedings of the 2012 IEEE 13th International Conference on Mobile Data Management (MDM), Bengaluru, Karnataka, India, 23–26 July 2012; pp. 306–311. [Google Scholar]
- Li, Y.; Zheng, Y.; Zhang, H.; Chen, L. Traffic prediction in a bike-sharing system. In Proceedings of the 23rd SIGSPATIAL International Conference on Advances in Geographic Information Systems, Seattle, WA, USA, 3–6 November 2015; ACM: New York, NY, USA, 2015; p. 33. [Google Scholar]
- Chen, L.; Zhang, D.; Wang, L.; Yang, D.; Ma, X.; Li, S.; Wu, Z.; Pan, G.; Nguyen, T.M.T.; Jakubowicz, J. Dynamic cluster-based over-demand prediction in bike sharing systems. In Proceedings of the 2016 ACM International Joint Conference on Pervasive and Ubiquitous Computing, Heidelberg, Germany, 12–16 September 2016; ACM: New York, NY, USA, 2016; pp. 841–852. [Google Scholar]
- Liu, J.; Li, Q.; Qu, M.; Chen, W.; Yang, J.; Xiong, H.; Zhong, H.; Fu, Y. Station site optimization in bike sharing systems. In Proceedings of the 2015 IEEE International Conference on Data Mining, Atlantic City, NJ, USA, 14–17 November 2015; IEEE: Piscataway, NJ, USA, 2015; pp. 883–888. [Google Scholar]
- Lin, L.; He, Z.; Peeta, S. Predicting station-level hourly demand in a large-scale bike-sharing network: A graph convolutional neural network approach. Transp. Res. Pt. C-Emerg. Technol. 2018, 97, 258–276. [Google Scholar] [CrossRef]
- Dell’Olio, L.; Ibeas, A.; Moura, J.L. Implementing bike-sharing systems. Proc. Inst. Civ. Eng.-Munici. Eng. 2011, 164, 89–101. [Google Scholar] [CrossRef]
- Chen, Q.; Sun, T. A model for the layout of bike stations in public bike-sharing systems. J. Adv. Transp. 2015, 49, 884–900. [Google Scholar] [CrossRef]
- Lin, J.R.; Yang, T.H. Strategic design of public bicycle sharing systems with service level constraints. Transp. Res. Part E Logist. Transp. Rev. 2011, 47, 284–294. [Google Scholar] [CrossRef]
- Bargar, A.; Gupta, A.; Gupta, S.; Ma, D. Interactive visual analytics for multi-city bikeshare data analysis. In Proceedings of the 3rd International Workshop on Urban Computing (UrbComp 2014), New York, NY, USA, 24 August 2014; Volume 45. [Google Scholar]
- Vogel, P.; Greiser, T.; Mattfeld, D.C. Understanding Bike-Sharing Systems using Data Mining: Exploring Activity Patterns. Procedia-Soc. Behav. Sci. 2011, 20, 514–523. [Google Scholar] [CrossRef]
- Froehlich, J.E.; Neumann, J.; Oliver, N. Sensing and predicting the pulse of the city through shared bicycling. In Proceedings of the Twenty-First International Joint Conference on Artificial Intelligence, Pasadena, CA, USA, 14–17 July 2009. [Google Scholar]
- Bao, J.; He, T.; Ruan, S.; Li, Y.; Zheng, Y. Planning bike lanes based on sharing-bikes’ trajectories. In Proceedings of the 23rd ACM SIGKDD International Conference on Knowledge Discovery and Data Mining, Halifax, NS, Canada, 13–17 August 2017; ACM: New York, NY, USA, 2017; pp. 1377–1386. [Google Scholar]
- He, T.; Bao, J.; Li, R.; Ruan, S.; Li, Y.; Tian, C.; Zheng, Y. Detecting Vehicle Illegal Parking Events Using Sharing Bikes’ Trajectories; ACM: New York, NY, USA, 2018. [Google Scholar]
- Pemantle, R. A survey of random processes with reinforcement. Probab. Surv. 2007, 4, 1–79. [Google Scholar] [CrossRef]
- Huang, F.; Qiao, S.; Peng, J.; Guo, B. A Bimodal Gaussian Inhomogeneous Poisson Algorithm for Bike Number Prediction in a Bike-Sharing System. IEEE Trans. Intell. Transp. Syst. 2018, 1–10. [Google Scholar] [CrossRef]
- Pearson, K. The problem of the random walk. Nature 1905, 72, 342. [Google Scholar] [CrossRef]
- Weiss, G.H.; Rubin, R.J. Random walks: theory and selected applications. Adv. Chem. Phys. 1982, 52, 363–505. [Google Scholar]
- Scalas, E.; Gorenflo, R.; Mainardi, F. Fractional calculus and continuous-time finance. Physica A 2000, 284, 376–384. [Google Scholar] [CrossRef]
- Cupertino, T.H.; Carneiro, M.G.; Zheng, Q.; Zhang, J.; Zhao, L. A scheme for high level data classification using random walk and network measures. Expert Syst. Appl. 2018, 92, 289–303. [Google Scholar] [CrossRef]
- Pons, P.; Latapy, M. Computing Communities in Large Networks Using Random Walks. J. Graph Algorithms Appl. 2006, 10, 191–218. [Google Scholar] [CrossRef]
- Backstrom, L.; Leskovec, J. Supervised random walks: predicting and recommending links in social networks. In Proceedings of the Fourth ACM International Conference on Web Search and Data Mining, Hong Kong, China, 9–12 February 2011; ACM: New York, NY, USA, 2011; pp. 635–644. [Google Scholar]
- Shaheen, S.A.; Chan, N.D.; Gaynor, T. Casual carpooling in the San Francisco Bay Area: Understanding user characteristics, behaviors, and motivations. Transp. Policy 2016, 51, 165–173. [Google Scholar] [CrossRef]
- Cervero, R.; Duncan, M. Walking, Bicycling, and Urban Landscapes: Evidence From the San Francisco Bay Area. Am. J. Public Health 2003, 93, 1478–1483. [Google Scholar] [CrossRef] [PubMed]









| n | Total number of stations |
| The edge between station and | |
| Capacity of station | |
| Available bikes of station at time t | |
| Walking distance from to | |
| The probability ride from to | |
| Trip duration by bike from to | |
| The time period in the day indexed by slice k | |
| / | The customer arrival rate for renting/returning at |
| The optimal state of during time | |
| The optimal station for renting at time t |
| Data source | Bay Area |
| Time span | 1 September 2015 to 31 August 2016 |
| Stations | 68 (ID, name, latitude, longitude, capacity, city, installation date) |
| Trajectory trips | 314,000 |
| Status records | 36 million (the number of available bikes and docks) |
| StationID (Capacity) | DR | Ours | ||
|---|---|---|---|---|
| Runtime (s) | Optimal State | Runtime (s) | Optimal State | |
| 2(27) | 13.352 | 8 | 0.026 | 6 |
| 5(19) | 9.765 | 5 | 0.008 | 5 |
| 6(15) | 10.533 | 8 | 0.014 | 9 |
| 4(11) | 7.224 | 8 | 0.012 | 7 |
© 2019 by the authors. Licensee MDPI, Basel, Switzerland. This article is an open access article distributed under the terms and conditions of the Creative Commons Attribution (CC BY) license (http://creativecommons.org/licenses/by/4.0/).
Share and Cite
Yi, P.; Huang, F.; Peng, J. A Rebalancing Strategy for the Imbalance Problem in Bike-Sharing Systems. Energies 2019, 12, 2578. https://doi.org/10.3390/en12132578
Yi P, Huang F, Peng J. A Rebalancing Strategy for the Imbalance Problem in Bike-Sharing Systems. Energies. 2019; 12(13):2578. https://doi.org/10.3390/en12132578
Chicago/Turabian StyleYi, Peiyu, Feihu Huang, and Jian Peng. 2019. "A Rebalancing Strategy for the Imbalance Problem in Bike-Sharing Systems" Energies 12, no. 13: 2578. https://doi.org/10.3390/en12132578
APA StyleYi, P., Huang, F., & Peng, J. (2019). A Rebalancing Strategy for the Imbalance Problem in Bike-Sharing Systems. Energies, 12(13), 2578. https://doi.org/10.3390/en12132578


