Abstract
With serious energy poverty, especially concerning power shortages, the economic development of India has been severely restricted. To some extent, power exploitation can effectively alleviate the shortage of energy in India. Thus, it is significant to balance the relationship between power supply and demand, and further stabilize the two in a reasonable scope. To achieve balance, a prediction of electricity generation in India is required. Thus, in this study, five methods, the metabolism grey model, autoregressive integrated moving average, metabolic grey model-auto regressive integrated moving average model, non-linear metabolic grey model and non-linear metabolic grey model-auto regressive integrated moving average model, are applied. We combine the characteristics of linear and nonlinear models, making a prediction and comparison of Indian power generation. In this way, we enrich methods for prediction research on electrical energy, which avoids large errors in trends of electricity generation due to those accidental factors when a single predictive model is used. In terms of prediction outcomes, the average relative errors from five models above are 1.67%, 1.62%, 0.84%, 1.84%, and 1.37%, respectively, which indicates high accuracy and reference value of these methods. In conclusion, India’s power generation will continue to grow with an average annual growth rate of 5.17% in the next five years (2018–2022).
1. Introduction
With rapid development of the economy, the aggregate energy consumption of the world continues growing correspondingly. The ratio of electricity generation to whole energy consumption has increased due to the substitution of traditional fossil energy. In addition, as a region with massive power demand all over the world, Asian power issues highlights this problem. As the third largest economy in Asia, the study of power development in India is becoming more and more significant. According to population statistics, India will soon become the most populous country in the world [1]. Currently, population in this country is 1.304 billion. With a massive scale of population and market, the “Economic Times” of India reported that in 2017 there were still more than 300 million people living in rural areas of India without electricity. More than 18,000 villages failed to be powered [2]. Moreover, 300 million Indians had no access to electricity during off-peak hours. According to prior studies, by 2035, India’s electricity demand is expected to double, which raises the question on growth of supply resources [3]. With regard to energy demand, India’s dependence on external energy has risen sharply due to the lack of domestic energy reserves, high primary energy consumption and low per capita energy consumption [4]. India’s energy structure is characterized by rich coal but poor oil and gas, which makes it difficult to meet domestic oil and nature gas demand and further reduce electricity supply. At the same time, large-scale power failure that broke out for two times in 2012 also revealed that power facility reform in India was incomplete and the transmission system was unable to achieve the domestic power distribution. As a result, at present, India’s power resource supplies fall short of demand. To maintain the economic development rate in India, from the perspective of balance between electricity supply and demand, the country needs be devoted to exploitation of power resources for adapting to the population growth and economic development.
India relied much on coal as the main fuel for power plants and it led to low energy efficiency, which not only resulted in energy supply shortage but also caused environmental pollution [5]. All issues above limited sustainable development of India. The population in India accounted for 18% of the whole world, but the ratio of energy reserves in this country was only 6% of the world, which indicated that India faced serious energy poverty [6]. To deal with these energy challenges, the utility of renewable energy generation, improvement of the environment and alleviation of energy poverty were primary goals for India’s current development. Indian government announced that by 2030, wind power would meet 16% of India’s electricity demand. The government also planned to replace high energy-consuming power equipment with 6 million energy-saving bulbs. Besides, a policy called “roof rental” would be implemented to achieve the goal of 40 GW of solar power installation capacity in 2022.
The study is aimed at balancing electricity supply and demand, and alleviating energy poverty in India’s power resources. Thus, we make a prediction on the expected output of electric energy so as to get appropriate power supply measures, reduce the proportion of personnel with non-electricity or small-scale electricity and promote national economic development. The development of electric energy is restricting the economic growth of developing countries. On the basis of prediction results for India’s power generation, we can provide experience for the development of other developing countries, which shows the increase of power supply, the adjustment for energy supply and demand balance, conversion in energy form and the growth of per capita energy consumption will contribute to economic promotion.
This paper is organized as follows: the second part is a literature review. The third part shows the methodology, which includes detailed calculation procedures for three prediction methods. The fourth part is a display and optimality analysis of prediction results, while the fifth part gives a summary of the whole paper.
2. Literature Review
Demand for electricity is growing. In the current field of energy research, people have largely focused on the development and use of electrical energy. In the era of power liberalization [7], the task of ensuring power supply has become more and more important. Researchers use different predictive models to conduct research and analysis on power in different countries or regions. At the same time, the flexible use of these predictive models can also be helpful for forecasting demand in other energy sectors. However, at present, there are not many shaping documents such as power prediction and accuracy comparison by using five methods at the same time.
2.1. Electric Power Research in India
The predictive power model refers to the prediction of data based on existing data with statistical parameters and budget of a country’s power development trends in the next several years. Based on mastering existing data sequences, there are many practical methods for predicting data in the future. Researchers also get interested in the Indian electricity market, using different models for multiple studies in the electricity market.
In 2012, S. Kannan et al. used the artificial neural network (ANN) model to predict the annual electricity consumption in India from 2011 to 2020 and grasped the demand for electricity in India [8]. Their prediction of India’s electricity demand was based on only a single model. In addition, they only showed the accuracy with the MAPE method. Then, S. Saravanan et al. used a principal component-based regression analysis to analyze electricity consumption in India and also verified that the model of PC-ANNs was more efficient and precise [9]. They also applied only the model of ANN for prediction, but selected three statistical parameters for accuracy testing.
In 2016, scholars combined the Harvey logistics model [10] and forecasted electricity supply and demand in India. Forecasting results for 2005–2026 indicated that if India was expected to achieve renewable energy development, the country had to increase its installed capacity of 40,130.39 MW of renewable energy. To achieve it, an investment of $466.2 billion was necessary to upgrade its transmission and distribution infrastructure [11].
In 2017, Dushant P.Singh et al. used the nonlinear grey Bernoulli model (NGBM) [12], which adjusted the stability of GM (1,1) appropriately with Bernoulli differential equation (BDE) [13]. Researchers compared the accuracy of the nonlinear grey Bernoulli (NGBM) model and the grey GM model with PRE and ARPE values, concluding that prediction results from NGBM (1,1) were more accurate than GM (1,1). Meanwhile, rising trend of Indian power generation in future years was estimated. Even when values of power generation were abrupt, prediction data originated from the NGBM model was still stable and accurate, which helped the government further expand the power generation plan [14]. However, the application of two models was still contingent, and conclusions required further demonstration.
In addition, the BP (back propagation) neural network model [15] is a popular predictive model for processing large amounts of nonlinear data with powerful nonlinear fitting functions [16]. The model is pretty suitable when there are many evaluation indicators and the data is complex.
Still, in 2017, some researchers, such as Tushar Verma, used the Levenberg-Marquardt algorithm (LMA) to predict solar power generation in India based on the ANN model [17]. An error of 3% existed in the experimental model. Thus, other models were applied to get higher precision. The wavelet neural network (WNN) [18] and NN model were constructed to predict and analyze short-term wind power in India, comparing results in different seasons and months. This model was suitable for wind power generation in all seasons of the year. The WNN model showed that the improvement of NMAE was 51.47%, more accurate than that of the NN model [19]. Atul Anand et al. established the ANN-PSO model to budget India’s electricity demand and compare it with results from the ARIMA and BP neural network models. They analyzed the degree of fitness through RMSE and MAPE, and concluded that ANN-PSO could more accurately predict power demand [20].
In 2018, Jatin Bedi et al. used a power demand model (D-FED) to predict electricity demand in Chandigarh, India. The model was advantageous to deal with non-linear and complex raw data. Also, it can be used to observe a specific period of time with high accuracy [21]. Later, researchers such as Habeebur Rahman et al. predicted the total energy consumption (TEC) of India in 2030 in order to explore India’s electricity demand. The model above was called the black box model [22].
A common connection exists in the prediction of energy, which is that the supply of energy is important for a country’s sustainable development. YW Bhowte et al. have developed three time-series models. The MAPE method for power consumption was expected to be 0.99%. They used these models to achieve the accuracy of 95%, but only one accuracy measure, the MAPE method, was used [23].
2.2. Overview of Forecasting Methods
In addition to India’s power forecasting, scholars use similar forecasting methods to analyze energy trends in different countries.
In early studies, researchers used the Engle-Granger method to predict South Africa’s electricity demand, which could also be used to estimate coal consumption [24]. Later in 2013, some scholars studied the optimization design of neural network (NN), and improved the accuracy of this model by using different aggregation algorithms. In this way, Hassan et al. effectively predicted the electricity demand in Australia and analyzed the accuracy through MAPE [25].
In 2014, Chinese researchers predicted electricity demand in New South Wales. They used the cuckoo search algorithm (CS) algorithm to compute the GM (1,1) model [26]. Meanwhile, Mousavi et al. proposed a genetic programming method (GEP) and forecasted Thailand’s electricity demand with it. In addition, they used R, RMSE and MAPE to perform performance analysis on the predicting structure of the model and obtained higher accuracy [27]. Wang and Song developed novel NMGM (1, 1, α) to predict oil demand in China [28]. Besides, mean absolute error (MAE), mean absolute percentage error (MAPE) and error rate (C) for prediction were applied based on the model.
In 2015, Fazil et al. used the ANN technique and the least squares support vector machine (LS-SVM) [29] to analyze electricity demand in Turkey [30]. LEAP [31] was a popular energy system model, modeling work of which required lower initial data [32]. With this model, Abolfazl Aghasi predicted the output and consumption of Iran’s electrical industry [33].
In 2016, the seasonal autoregressive integrated moving average (SARIMA) model [34] was applied to predicting short-term photovoltaic generation in Greece, which was applicable to sequences with periodic variations [35]. In addition, Kusakci used the grey prediction model of the rolling mechanism (RM) to budget the annual net electricity consumption in Turkey [36].
In previous studies, some nonlinear models were applied to predict energy demand. The popular method was the neural network method. Wang et al. combined Artificial neural network (BP) and grey forecasting model (NMGM) to develop NMGM-BP model for forecasting coal consumption in the United States [37]. The BP neural network could effectively perform nonlinear approximation and operations according to the error reverse propagation algorithm. Due to better classification ability, the BP neural network was widely used in other countries. In addition, scholars also used artificial neural network (ANN) models to predict wind power generation [38] and photovoltaic generation in different countries [39].
Moreover, combined models were also often used to predict experimental data. In 2016, G.W. Chang et al. used a hybrid ARIMA-NN model to predict wind power generation in Taiwan, pointing that this method was suitable for short-term prediction [40]. In 2017, some researchers combined FFNN [41], genetic algorithm (GA) [42] and adaptive neuro-fuzzy inference system (ANFIS) to predict photovoltaic power generation in southern Greece. It was concluded that the prediction accuracy with combined models was much greater than that of a single model [43]. In 2019, some researchers proposed Nonlinear metabolic grey models (NMGM)-ARIMA [44] and Artificial neural networks (ANN)-ARIMA. These models are used to predict shale gas production in Pennsylvania and Texas of the United States [45]. They use a linear model to correct for nonlinear models. This technology helps to better understand the energy market [46]. They have also used NMGM-ARIMA technology to make timely and accurate forecasts of US shale oil production. A valuable conclusion was drawn from the study of the combined model [47].
Then, Sarkodie et al. predicted Ghana’s electricity consumption until 2030, with the Autoregressive Integrated Moving Average (ARIMA) model [48]. It was able to distinguish internal information of the non-stationary time series, fit the process and transform the non-stationary sequence through the difference to make it smooth. With the ARIMA model, researchers concluded that Ghana needed to encourage the inclusion of renewable energy technologies and improve energy structures to meet projected electricity demand [49]. They used a series of goodness-of-fit measures: RMSE (0.419), MAPE (5.34%), MAE (0.297). The downside of the study was that there was only one choice of models. The method of bagging ARIMA and smoothing index were also used by some scholars to predict medium-term and long-term power consumption [50], which to some extent, improved the accuracy of power demand forecasting. These scholars tested the predictions and got a lower value for MAPE. Among predictions, the accuracy of result for Italy was only 1.3%. Many researchers have made different predictions about the electricity consumption in Turkey. Then Yi-Chung Hu et al. applied a neural network-based grey model NNGM (1,1) to study and forecasted the electricity demand in Turkey. The MAPE value of the total electricity demand in Turkey was 3.41% [51]. Furthermore, Xu Ning improved the grey model and obtained the new model IRGM (1,1). He forecasted China’s electricity demand for 2015–2020 and compared the forecast results with traditional GM (1,1), NP-GM (1,1) and optimized initial condition GM (1,1) model (OICGM). The conclusion proved that the IRGM model significantly improved the modeling accuracy [52]. On the basis of previous studies, Laouafi, Abderrezak et al. used the HFCM-TM method and made a short-term forecast of France’s electricity demand, resulting in a MAPE value of 0.478% [53]. The researchers then compared the accuracy of outcomes of Australian power predictions obtained by HFCM-TM and that of AWNN [54]. The result showed that the new technology optimized MAPE by 8.316%.
2.3. Research Implication
According to data of BP Data Energy Statistical Yearbook, this study applies five prediction methods, MGM, ARIMA, MGM-ARIMA, NMGM, NMGM-ARIMA, to predicting data of Indian power generation data from 2018–2022 according to existing data from 1990–2017. Besides, the study gives an analysis of results, in order to grasp the general direction of India’s power generation trend.
Implications of this study:
- (1)
- Methods are changeable. In the research process, linear and nonlinear models are used together, including both independent and combined ones. The five prediction results are compared with each other, and each factor is analyzed in detail to make the research results scientific and persuasive.
- (2)
- The paper uses three statistical parameters (MSE, MSPE, MAPE) to analyze the accuracy of forecast data and calculate the error in each model.
- (3)
- Fill in the research gap of previous methods with linear models or nonlinear models, respectively. Comprehensive applications of predictive models have been expanded, which enriches the research and makes it realistic and applicable.
3. Methods
3.1. MGM (1,1) Model
The theory of grey system is a new and cross-disciplinary subject founded by Professor Deng Julong, a famous Chinese scholar in 1982 [55]. It is based on a structural model in which “partial information is known and part of information is unknown”. The uncertainty system of “small sample” and “poor information” is the research object. Mainly through the generation and development of some known information and the extraction of valuable information, the correct understanding and exact description of the system operation law can be realized. It is convenient for researchers to make reasonable predictions based on the scientific principles of the system. The grey system is a system composed of unknown information and known information. The model abstracted by the grey system is called a grey model. It has a predictive effect on data with small samples, incomplete information, and an overall trend of rising or decreasing trends. When MGM (1,1) is modeled, the original data is first accumulated, and then the new sequence is analyzed by differential equations to achieve short-term prediction. To better explain the model, we applied some parameters and explained them in Table 1. Figure 1 shows the flow chart of the MGM (1,1) model.
Table 1.
Explanation of the symbols in the following formulas.
Figure 1.
Method flow chart of MGM (1,1) model.
First, the existing sequence can be expressed as: . Because the original data usually presents a chaotic state, it is more regular to use . The sequence, 1-AGO, is represented as: .
In the second step, has an exponential growth law and the solution of the first-order differential equation is also a form of exponential growth, so the first-order differential equation is established. Deformed as: . It is proved that the accumulated is satisfied by the above formula, and then the above formula is a linear regression satisfying . Solving the first order differential equation:
In the third step, it can be seen from the analysis that the constant coefficient parameters “a” and “b” are the key to solving the above formula. The constant parameter satisfies: . The unknowns “a” and “b” are interpreted by the matrices “” and “”.
Bring the “” and “” values in, and replace “” and “”.
The fourth step, the prediction formula of the grey response expression:
3.2. ARIMA
ARIMA is also called the autoregressive integral moving average model. In the early 1970s, the famous Time-series Approach prediction method was proposed by Box and Jenkins [56]. The ARIMA model excels at handling non-stationary sequences. The model consists of three parts, namely AR, I, and MA. AR (auto regression) is an autoregressive model for predicting future data based on past data values of smoothed time series. (integration) is a single integer order. The time series model must be a stationary sequence to establish a metrology model. First, the unit root test is performed on the time series. If it is a non-stationary sequence, it is converted into a stationary sequence by difference. After several differential transformations into a stationary sequence, it is called several orders integration. MA (moving average) is a moving average model that judges future data trends by using the error of the fitted data. It can be seen that the ARIMA model is actually a combination of the AR model and the MA model. ARIMA contains three important parameters (autoregressive term), (differential number) and (moving average term). The values of p and q can be identified by autocorrelation function (ACF) and partial autocorrelation function (PACF). Table 2 shows the meaning of the various symbols of this model.
Table 2.
Explanation of the symbols in the following formulas.
is white noise time series and c is a constant. MA model is expressed as:
ARMA () is represented as a combination of two models:
ARIMA ():
ARIMA can be expressed as:
3.3. MGM-ARIMA
The MGM-ARIMA model combines the advantages of the ARIMA model with the MGM (1,1) model, diluting both deficiencies. It is convenient to obtain more accurate prediction data. This is a method that first establishes the ARIMA model for residual sequence of MGM (1,1) and then obtains the predicted value of mixed model. Because the predicted data obtained by the rolling metabolic grey model has fluctuations, the residual value obtained by MGM (1,1) is revised as the original data by using ARIMA, which can reduce the error of the predicted value and make the obtained data have higher reference value.
The specific operation can be divided into three steps:
Step 1: Using MGM (1,1) to get the predicted value from the original data and calculate the residual.
Step 2: Perform ARIMA correction on the residual value and get a new residual value.
Step 3: For the part of the true value of the known year, the sum of the new residual value and the true value of the original data is taken as the new predicted value. For the unknown real value part, using the predicted value to subtract the new residual is worth the new predicted value in unknown years.
Figure 2 shows the flow chart of the MGM-ARIMA model.
Figure 2.
Method flow chart of MGM-ARIMA model.
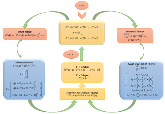
3.4. Nonlinear Metabolic Grey Model
The nonlinear metabolic grey model has the same operational flow as the rolling metabolic grey model, and the only difference between the two is the addition or absence of the parameter ‘α’. The power function coefficient ‘α’ is a core element in transforming a linear model into a nonlinear model, and also reveals the nature of the NMGM model. The nonlinear grey model is free from the limitation of the linear sequence of the traditional grey model. By adjusting the coefficient ‘α’, the sequence has different nonlinearities and the prediction accuracy is improved. Figure 3 shows the flow chart of the NMGM (1,1) model.
Figure 3.
Method flow chart of NMGM (1,1) model.
According to the introduction of the MGM model, the original sequence:
The accumulated sequence: We define the core equation of the NMGM model as:
The first-order cumulative sequence satisfies the following differential equation:
Find the coefficients ‘a’ and ‘b’ using the least squares method:
Use fourth-order Runge-Kutta with the help of MATLAB software:
3.5. NMGM-ARIMA.
The NMGM-ARIMA model has the same principle as the MGM-ARIMA model. The model combines linear and nonlinear operations, processes them, and performs predictive operations. The residual for NMGM was corrected by the ARIMA model. The specific operation can still be divided into three steps:
Step 1: is to use the NMGM model to obtain the predicted values and perform the residual calculation.
Step 2: Perform ARIMA correction on the residual value and get a new residual value.
Step 3: For the part of the true value of the known year, the sum of the new residual value and the true value of the original data is taken as the new predicted value. For the unknown real value part, the new predicted value of the unknown year is obtained by using the predicted value and the new residual value as the difference.
4. Empirical Result
This study uses five methods to make a reasonable prediction of the amount of electricity generated in India. The design principle is based on actual data, and the process of reasonable prediction and extrapolation of future unknown data. The prediction system is divided into two parts, the actual real value part and the system prediction value part. In this paper, the data of the “BP Data Statistical Yearbook” is used to record the changes in the total power generation and the growth rate of India in 1990–2017. The details are presented by the Pareto diagram (Figure 4), and the left ordinate shows the power generation (GWh) and the right ordinate shows the growth rate. Overall, India’s power generation has increased year by year, with an average growth rate of 6.32%. In 1991, 1995, 2011 and 2014, the total growth rate of power generation exceeded 10%. Due to the large population of India, the shortage of electricity supply is more obvious, forcing India to increase its power generation.
Figure 4.
The Indian power generation: 1990–2017, GWh, and the growth rates: 1990–2017.
4.1. Fitting Process
This phase is the process of combining data with the model. Combine the known data with the five models to obtain the 1990–2017 forecast. The applicability of these model is determined by the control of the prediction accuracy, the analysis of the degree of fitting, and the comparison of the predicted values of the five models. Then it is reasonably extrapolated to 2022 to continue its forecasting effect.
4.1.1. MGM (1,1)
The metabolic grey model is based on the idea of the traditional grey model, which abandons the shortcomings of the long-term prediction effect of the traditional grey model, and brings the adverse influence factors into the system for further calculation through iterative methods. Can be understood as: the process of exchanging from and swapping to get the result.
In this paper, the fifth-order data is used to calculate the model. Based on the known data from 1990 to 1994, we can get the forecast data for 1995. After predicting the 1995 data, replace the sequence of operations with 1991–1995 and re-enter the known procedures. The forecast data for the year will continue to be iterated over time. Figure 5 represents the cyclic mode of the prediction model. Figure 6 and Figure 7 represent values indicating parameters ‘’ and ‘’, respectively.
Figure 5.
The cyclic mode of the MGM (1,1) model.
Figure 6.
The value of parameter ‘’.
Figure 7.
The value of parameter ‘’.
4.1.2. ARIMA
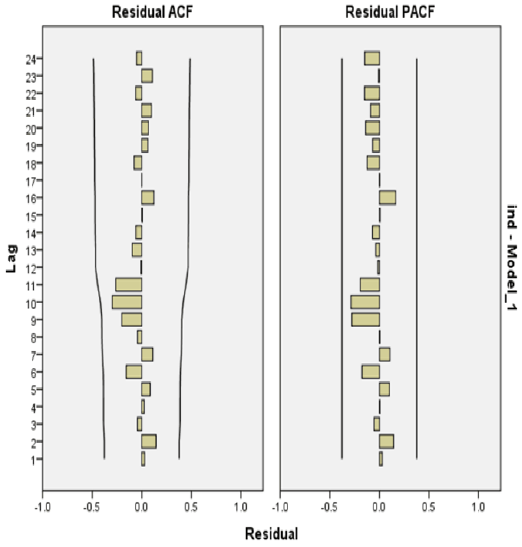
According to ARIMA modeling method, India’s power generation from 1990 to 2017 is identified, estimated, diagnosed and predicted. Figure 8 shows that after the first-order difference, the p value is significantly less than 0.05, which in turn indicates that the sequence passed the static test successfully. By observing the autocorrelation and partial correlation images of the sequence, the autocorrelation coefficient is basically within the confidence band when it is greater than 4, so q takes 4. Similarly, when the partial correlation coefficient is p = 2, the subsequent data is in the confidence band, and the determination of the p and q orders is completed. ARIMA (2, 1, 4) was subjected to SPSS analysis. Table 3 is the model statistics, the square of R reaches 0.998, indicating a good degree of fit. Figure 9 shows the residual ACF and PACF, both of which exhibit a stationary form, so ARIMA (2, 1, 4) is reasonable. Finally, the fitting prediction is performed. It can be seen from Figure 10 that the fitting effect is good.
Figure 8.
Stationary test result and Autocorrelation (partial autocorrelation) coefficient map of ARIMA using Eviews 7.2.
Table 3.
The model statistics for ARIMA.
Figure 9.
The residual ACF and PACF.
Figure 10.
Degree of fitting of the ARIMA model.
4.1.3. MGM-ARIMA
The model is divided into two parts, the first part is the operation of the metabolic grey model, and the second part is the ARIMA optimization processing of the residual sequence of the grey model. At the same time, the second part is also the core of the model. It is to replace the original sequence with a residual sequence. It is the process of performing ARIMA operation with = instead of . Figure 11 is the predicted unstable residual. Figure 12 shows that the sequence passes the static test after the zero-order difference and shows the state of the autocorrelation and partial correlation coefficients. After SPSS analysis, MGM-ARIMA is determined as (6, 0, 10), and the obtained residual optimization value is defined as . The final model prediction value is calculated in two parts, one is expressed as from 1990–2017, and the second is expressed as from 2018–2022. Figure 13 shows the degree of coincidence between the actual power generation in India and the predicted power generation of the MGM-ARIMA model. The degree of agreement is good and indicates that the optimization objective of using the model is achieved.
Figure 11.
The value of residual.
Figure 12.
Stationary test result and autocorrelation (partial autocorrelation) coefficient map of MGM-ARIMA using Eviews 7.2.
Figure 13.
The degree of coincidence between the actual power generation in India and the predicted power generation of the MGM-ARIMA.
4.1.4. NMGM
The biggest difference between this model and the MGM model is the addition of power coefficients. The participation of power coefficients changes the application scope of the model. When is a linear model. When α is far from 1, the nonlinearity of the model becomes more pronounced. Figure 14 is a numerical display of the power coefficient α. Figure 15 represents the variation of the values of the parameters ‘a’ and ‘b’. Figure 16 shows the fitting degree between the generation capacity of NMGM model and the actual generation capacity.
Figure 14.
The value of the power coefficient model in GWh.
Figure 15.
The value of ‘’ and ‘ ’.
Figure 16.
The fitting degree between the NMGM model in GWh and the actual generation capacity, 1990–2022.
4.1.5. NMGM-ARIMA
This model is similar to the analysis method of the MGM-ARIMA model and is divided into two parts. The first part is the operation of the NMGM model, and the second part is the ARIMA optimization processing of the residual sequence of the NMGM. Figure 17 is the unstable residual predicted by NMGM, and Table 4 shows that the sequence passes the static test after the zero-order difference. After SPSS analysis, the () of the NMGM-ARIMA model is determined as (7, 0, 2). Figure 18 shows the degree of coincidence between the actual power generation in India and the predicted power generation of the NMGM-ARIMA model. By observing, the degree of fit is good. This indicates that the optimization goal of using this model is achieved. In Figure 19, we compare the annual relative error of the NMGM-ARIMA model with the overall mean error. This figure visually demonstrates the small error and better proves the accuracy of the model.
Figure 17.
The value of residual.
Table 4.
The model statistics for NMGM-ARIMA.
Figure 18.
Stationary test result and autocorrelation (partial autocorrelation) map of NMGM ARIMA.
Figure 19.
Comparison of relative error of NMGM-ARIMA model coefficient map developed using Eviews 7.2.
4.2. Optimization Analysis
First, use the trend chart for preliminary analysis, as shown in Figure 20. There are six curves in the figure, light blue, orange, grey, yellow, blue, and green represent the original true value, MGM, ARIMA, MGM-ARIMA, NMGM, NMGM-ARIMA data sequence. The overall power generation in India has shown a steady upward trend, and the curves of the three methods are consistent with the real power generation curve. Considering that the trend graph has defected that cannot be accurately characterized, we consider introducing a fitting value analysis method for further precision.
Figure 20.
The predicted value of the five models and the actual power generation. (Line chart, GWh).
To avoid the effect of over-fitting effectively, we need some evaluation criteria to consider the fitting degree under the restriction of real value. Here we list the three methods of mean absolute percentage error (MAPE), mean squared error (MSPE) and mean square error (MSE). Table 5 is a fitness evaluation of the five models using three methods.
Table 5.
The MSE, MSPE and MAPE values for five models.
The MAPE values of the five models were 0.5–2%, and the MSPE values were less than 0.5%. In particular, the MAPE value of MGM-ARIMA is 0.8408%, and the MSPE value is 0.2119%. The prediction accuracy is quite high.
At the same time, Figure 21 the radar chart visually shows that the average accuracy of the five models is about 98.53%. The lowest one is the prediction of 1991 by using ARIMA model, and its accuracy is 94%. It is enough to see that the prediction results of these five methods are very reliable.
Figure 21.
The mean absolute percent error of the five models.
5. Forecasting Results and Discussion
We use five models to quantitatively predict Indian power generation. Figure 22, using the line chart can clearly reflect the forecasting trend of the total power generation in India and the degree of coincidence with the advancement of the year. Figure 23 shows the average annual growth rate predicted by five models of Indian power generation from 2018 to 2022, with an average annual growth rate of 5.17%. Figure 24 clearly shows the changes and fluctuations in the growth rate of total power generation in India. From 1999 to 2001, India’s power generation growth rate dropped significantly by about 6%, and it was able to rebound to the average level after 2003. Since 2010, the growth rate had increased significantly by about 5% from the previous year. Among them, in the four years of 1991, 1995, 2011 and 2014, the growth rate of power generation in India had been significantly improved, and both reached 10%.
Figure 22.
The predicted value of the five models and the actual power generation. (Column chart, GWh).
Figure 23.
The growth rate of five models, 2018–2022.
Figure 24.
The growth rate of five models,1990–2022. (GWh).
India has always encouraged the development of electricity. At present, India’s electricity production is in short supply, and market competition is fierce. It is expected that the power generation in India will continue to grow steadily in the next five years.
6. Conclusions
Linear, nonlinear, and the combination of linear and nonlinear methods can make the data budget more comprehensive, and can provide a variety of analytical ideas for research in this direction. In this research work, we use three linear models (MGM, ARIMA, MGM-ARIMA), one nonlinear model (NMGM) and one linear and nonlinear combination model (NMGM-ARIMA) to make a reasonable prediction of India’s power generation.
Through the calculation of different methods, (MGM, ARIMA, MGM-ARIMA, NMGM, NMGM-ARIMA), the average relative errors of the five models are 1.67%, 1.62%, 0.84%, 1.84%, and 1.37%, respectively. The error value is very small, which proves that the five research models adopted in this study are meaningful and highly reliable. The trends of the five models are consistent. Each group of forecast results shows that India’s electricity demand is a growing trend. These almost consistent forecast data have repeatedly consolidated the conclusions. They also strengthened the rationality and reliability of the results. Such stable conclusions have certain value for future energy forecasting and solving supply and demand problems. The forecast result shows that India’s power generation will continue to increase in the next five years, with an average annual growth rate of 5.17%. Compared with the annual average of 6.34% of the growth rate in 1990–2017, it decreased by 1.17%. Although the growth rate is slightly lower than before, the annual average increase in power generation will be much larger than that in the past. Researchers have used linear and nonlinear models to predict and analyze Indian energy demand. We all use the same model, such as the MGM (1,1) model, the MGM-ARIMA and the NMGM model. In addition, in order to get more accurate conclusions, we have added two models of ARIMA and NMGM-ARIMA. It is concluded that the annual growth rate of India’s energy demand will be between 0.58% and 7.04% from 2017–2026 [57]. This forecast is consistent with our Indian electricity demand forecast. We use five models to estimate an average annual growth rate of 5.17% over the next five years. This value is between the above ranges. India’s power generation has increased significantly year by year. This has played a very positive role in alleviating the current situation of energy poverty and balancing the relationship between supply and demand. It can be seen that India’s power development is continuing increasingly, and the energy market still has strong operational vitality.
Author Contributions
R.L. conceived and designed the experiments and wrote the paper; Y.A. performed the experiments, and analyzed the data; Y.Z. contributed reagents/materials/analysis tools. All authors read and approved the final manuscript.
Funding
Current work is supported by the Recruitment Talent Fund of China University of Petroleum (East China) (YJ2016002). We have received the grants in support of our research work.
Conflicts of Interest
The authors declare no conflict of interest.
References
- Samir, K.C.; Wurzer, M.; Speringer, M.; Lutz, W. Future population and human capital in heterogeneous India. Proc. Nat. Acad. Sci. USA 2018, 115, 8328–8333. [Google Scholar] [CrossRef]
- Bhanja, S.N.; Mukherjee, A.; Rodell, M. Groundwater Storage Variations in India. In Groundw. South Asia; Mukherjee, A., Ed.; Springer: Singapore, 02 June 2018; pp. 49–59. ISBN 978-981-10-3889-1. [Google Scholar] [CrossRef]
- Shahbaz, M.; Mallick, H.; Mahalik, M.K.; Sadorsky, P. The role of globalization on the recent evolution of energy demand in India: Implications for sustainable development. Energy Econ. 2016, 55, 52–68. [Google Scholar] [CrossRef]
- Xing, W.L.; Chen, Y.C.; Wang, A.J.; Zhou, F.Y.; Yan, Q. India’s future energy demand and its impact on China’s obtaining of overseas resources. Acta. Geosci. Sin. 2017, 38, 45–53. [Google Scholar] [CrossRef]
- Kumar, R.; Jilte, R.; Nikam, K.C.; Ahmadi, M.H. Innovation, Status of carbon capture and storage in India’s coal fired power plants: A critical review. Environ. Tech. Innov. 2018, 13, 94–103. [Google Scholar] [CrossRef]
- Sadath, A.C.; Acharya, R.H. Assessing the extent and intensity of energy poverty using Multidimensional Energy Poverty Index: Empirical evidence from households in India. Energy Policy 2017, 102, 540–550. [Google Scholar] [CrossRef]
- Catia, C.; Reza, M. Household and industrial electricity demand in Europe. Energy Policy 2018, 112, 592–600. [Google Scholar] [CrossRef]
- Saravanan, S.; Kannan, S.; Thangaraj, C. Forecasting India’s electricity demand using Artificial Neural Network. In Proceedings of the IEEE International Conference on Advances in Engineering, Nagapattinam, Tamil Nadu, India, 30–31 March 2012. [Google Scholar]
- Saravanan, S.; Kannan, S.; Thangaraj, C. India’s Electricity Demand forecast using Regression Analysis and Artificial Neural Networks based on principal components. ICTACT J. Soft Comput. 2012, 2, 365–370. [Google Scholar] [CrossRef]
- Mohamed, Z.; Bodger, P. A comparison of Logistic and Harvey models for electricity consumption in New Zealand. Tech. Forecast. Soc. Chang. 2005, 72, 1030–1043. [Google Scholar] [CrossRef]
- Bhowte, Y.W. Forecasting the load of demand and supply of Electricity in India. 2016 International Conference on Computation of Power. In Proceedings of the IEEE Energy Information and Commuincation (ICCPEIC), Chennai, India, 20–21 April 2016. [Google Scholar]
- Singh, D.P.; Gadakh, P.J.; Dhanrao, P.M.; Mohanty, S.; Swain, D.; Swain, D. An Application of NGBM for Forecasting Indian Electricity Power Generation. Adv. Int. Syst. Comput. 2017, 556, 203–214. [Google Scholar] [CrossRef]
- Tisdell, C.C. Technology, Alternate solution to generalized Bernoulli equations via an integrating factor: An exact differential equation approach. Int. J. Math. Educ. Sci. Technol. 2017, 48, 913–918. [Google Scholar] [CrossRef]
- Chen, C.I.; Chen, H.L.; Chen, S.P. Forecasting of foreign exchange rates of Taiwan’s major trading partners by novel nonlinear Grey Bernoulli model NGBM(1,1). Commun. Nonlinear Sci. Numer. Simul. 2008, 13, 1194–1204. [Google Scholar] [CrossRef]
- Luo, G.; Ma, Y.; Ju, Z.; Zhang, B. Application of BP neural network model to study the coal dust wettability. J. Liaoning Tech. Univ. 2017, 36, 593–597. [Google Scholar] [CrossRef]
- Wang, B.; Gu, X.; Li, M.; Yan, S. Temperature Error Correction Based on BP Neural Network in Meteorological Wireless Sensor Network. Int. J. Sens. Netw. 2017, 23, 265. [Google Scholar] [CrossRef]
- Verma, T.; Tiwana, A.P.S.; Reddy, C.C.; Arora, V.; Devanand, P. Data Analysis to Generate Models Based on Neural Network and Regression for Solar Power Generation Forecasting. In Proceedings of the IEEE International Conference on Intelligent Systems, Bangkok, Thailand, 25–27 January 2016. [Google Scholar] [CrossRef]
- Saljoughi, B.S.; Hezarkhani, A. A comparative analysis of artificial neural network (ANN), wavelet neural network (WNN), and support vector machine (SVM) data-driven models to mineral potential mapping for copper mineralizations in the Shahr-e-Babak region, Kerman, Iran. Appl. Geomat. 2018, 1–28. [Google Scholar] [CrossRef]
- Abhinav, R.; Pindoriya, N.M.; Wu, J.; Chao, L.J.E.P. Short-term wind power forecasting using wavelet-based neural network. Energy Proc. 2017, 142, 455–460. [Google Scholar] [CrossRef]
- Anand, A.; Suganthi, L.; Anand, A.; Suganthi, L. Forecasting of Electricity Demand by Hybrid ANN-PSO Models. Int. J. Energy Optim. Eng. 2017, 6, 66–83. [Google Scholar] [CrossRef][Green Version]
- Bedi, J.; Toshniwal, D.J.I.A. Empirical Mode Decomposition Based Deep Learning for Electricity Demand Forecasting. IEEE Access 2018, 6, 49144–49156. [Google Scholar] [CrossRef]
- Ghalehkhondabi, I.; Ardjmand, E.; Weckman, G.R.; Young, W.A. An overview of energy demand forecasting methods published in 2005–2015. Energy Syst. 2016, 8, 1–37. [Google Scholar] [CrossRef]
- Kumar, U.; Jain, V.K.J.E. Time series models (Grey-Markov, Grey Model with rolling mechanism and singular spectrum analysis) to forecast energy consumption in India. Energy 2010, 35, 1709–1716. [Google Scholar] [CrossRef]
- Inglesi, R.J.A.E. Aggregate electricity demand in South Africa: Conditional forecasts to 2030. Appl. Energy 2010, 87, 197–204. [Google Scholar] [CrossRef]
- Hassan, S.; Khosravi, A.; Jaafar, J. Neural network ensemble: Evaluation of aggregation algorithms for electricity demand forecasting. In Proceedings of the IEEE International Joint Conference on Neural Networks, Dallas, TX, USA, 4–9 August 2013. [Google Scholar] [CrossRef]
- Jiang, P.; Zhou, Q.; Jiang, H.; Dong, Y. Applied Analysis, An Optimized Forecasting Approach Based on Grey Theory and Cuckoo Search Algorithm: A Case Study for Electricity Consumption in New South Wales. Abstr. Appl. Anal. 2014, 9, 1–13. [Google Scholar] [CrossRef]
- Mousavi, S.M.; Mostafavi, E.S.; Hosseinpour, F.J.C.; Engineering, I. Gene expression programming as a basis for new generation of electricity demand prediction models. Comput. Ind. Eng. 2014, 74, 120–128. [Google Scholar] [CrossRef]
- Wang, Q.; Song, X. Forecasting China’s oil consumption: A comparison of novel nonlinear-dynamic grey model (GM), linear GM, nonlinear GM and metabolism GM. Energy 2019, 183, 160–171. [Google Scholar] [CrossRef]
- Kankal, M.; Uzlu, E. Applications, Neural network approach with teaching–learning-based optimization for modeling and forecasting long-term electric energy demand in Turkey. Neural Comput. Appl. 2017, 28, 737–747. [Google Scholar] [CrossRef]
- Kaytez, F.; Taplamacioglu, M.C.; Cam, E.; Hardalac, F. Forecasting electricity consumption: A comparison of regression analysis, neural networks and least squares support vector machines. Int. J. Electr. Power Energy Syst. 2015, 67, 431–438. [Google Scholar] [CrossRef]
- Emodi, N.V.; Emodi, C.C.; Murthy, G.P.; Emodi, A.S.A.J.R.; Reviews, S.E. Energy policy for low carbon development in Nigeria: A LEAP model application. Renew. Sustain. Energy Rev. 2017, 68, 247–261. [Google Scholar] [CrossRef]
- Mirjat, N.H.; Uqaili, M.A.; Harijan, K.; Walasai, G.D.; Mondal, M.A.H.; Sahin, H.J.E. Long-term electricity demand forecast and supply side scenarios for Pakistan (2015–2050): A LEAP model application for policy analysis. Energy 2018, 165, 512–526. [Google Scholar] [CrossRef]
- Aghasi, A. Iranian Electrical Production and Consumption System Modeling: A Theoretical Study for Investigation of Possible Scenarios. In Proceedings of the IEEE 30th International Power System Conference (PSC), Tehran, Iran, 23–25 November 2015. [Google Scholar] [CrossRef]
- Wang, L.; Li, Z.; Song, C. Network traffic prediction based on seasonal ARIMA model. In Proceedings of the IEEE World Congress on Intelligent Control & Automation, Hangzhou, China, 15–19 June 2004; pp. 1425–1428. [Google Scholar] [CrossRef]
- Vagropoulos, S.I.; Chouliaras, G.I.; Kardakos, E.G.; Simoglou, C.K.; Bakirtzis, A.G. Comparison of SARIMAX, SARIMA, Modified SARIMA and ANN-based Models for Short-Term PV Generation Forecasting. In Proceedings of the IEEE Energy Conference 2016, Leuven, Belgium, 4–8 April 2016. [Google Scholar] [CrossRef]
- Kusakci, A.O.; Ayvaz, B. Electrical energy consumption forecasting for Turkey using grey forecasting technics with rolling mechanism. In Proceedings of the IEEE international Conference on Knowledge-based Engineering & Innovation, Tehran, Iran, 23–25 November 2015. [Google Scholar]
- Wang, Q.; Li, S.; Li, R. Will Trump’s coal revival plan work?–Comparison of results based on the optimal combined forecasting technique and an extended IPAT forecasting technique. Energy 2019, 169, 762–775. [Google Scholar] [CrossRef]
- Varanasi, J.; Tripathi, M.M. Artificial Neural Network based wind speed & power forecasting in US wind energy farms. In Proceedings of the 2016 IEEE 1st International Conference on Power Electronics, Intelligent Control and Energy Systems (ICPEICES), Delhi, India, 4–6 July 2016. [Google Scholar]
- Netsanet, S.; Zhang, J.; Zheng, D.; Ma, H. Input Parameters Selection and Accuracy Enhancement Techniques in PV Forecasting Using Artificial Neural Network. In Proceedings of the IEEE Power & Renewable Energy, Shanghai, China, 21–23 October 2016. [Google Scholar] [CrossRef]
- Chang, G.W.; Lu, H.J.; Hsu, L.Y.; Chen, Y.Y. A hybrid model for forecasting wind speed and wind power generation. In Proceedings of the Power & Energy Society General Meeting, Boston, MA, USA, 17–21 July 2016. [Google Scholar] [CrossRef]
- Sreekanth, P.D.; Sreedevi, P.D.; Ahmed, S.; Geethanjali, S. Comparison of FFNN and ANFIS models for estimating groundwater level. Environ. Earth Sci. 2011, 62, 1301–1310. [Google Scholar] [CrossRef]
- Kumar, G.N.; Penchalaiah, D.; Sarkar, A.K.; Talole, S.E. Hypersonic Boost Glide Vehicle Trajectory Optimization Using Genetic Algorithm. IFAC-PapersOnLine 2018, 51, 118–123. [Google Scholar] [CrossRef]
- Panapakidis, I.P.; Christoforidis, G.C. A hybrid ANN/GA/ANFIS model for very short-term PV power forecasting. In Proceedings of the IEEE International Conference on Compatibility, Cadiz, Spain, 4–6 April 2017. [Google Scholar] [CrossRef]
- Wang, Q.; Li, S.; Li, R. China‘s dependency on foreign oil will exceed 80% by 2030: Developing a novel NMGM-ARIMA to forecast China‘s foreign oil dependence from two dimensions. Energy 2018, 163, 151–167. [Google Scholar] [CrossRef]
- Wang, Q.; Jiang, F. Integrating linear and nonlinear forecasting techniques based on grey theory and artificial intelligence to forecast shale gas monthly production in Pennsylvania and Texas of the United States. Energy 2019, 178, 781–803. [Google Scholar] [CrossRef]
- Wang, Q.; Li, S.; Li, R.; Ma, M.; Forecasting, U.S. shale gas monthly production using a hybrid ARIMA and metabolic nonlinear grey model. Energy 2018, 160, 378–387. [Google Scholar] [CrossRef]
- Wang, Q.; Song, X.; Li, R. A novel hybridization of nonlinear grey model and linear ARIMA residual correction for forecasting U.S. shale oil production. Energy 2018, 165, 1320–1331. [Google Scholar] [CrossRef]
- Eldali, F.A.A.; Hansen, T.M.; Suryanarayanan, S.; Chong, E.K.P. In Employing ARIMA Models to Improve Wind Power Forecasts: A Case Study in ERCOT. In Proceedings of the North American Power Symposium, Denver, CO, USA, 18–20 September 2016. [Google Scholar] [CrossRef]
- Sarkodie, S.A. Estimating Ghana’s electricity consumption by 2030: An ARIMA forecast. Energy Sour. Part B Econ. Plan. Policy 2017, 1–9. [Google Scholar] [CrossRef]
- Oliveira, E.M.D.; Oliveira, F.L.C. Forecasting mid-long term electric energy consumption through bagging ARIMA and exponential smoothing methods. Energy 2018, 144, 776–788. [Google Scholar] [CrossRef]
- Hu, Y.C. Electricity consumption prediction using a neural-network-based grey forecasting approach. J. Opt. Res. Soc. 2017, 68, 1–6. [Google Scholar] [CrossRef]
- Ning, X.; Dang, Y.; Gong, Y.J.E. Novel grey prediction model with nonlinear optimized time response method for forecasting of electricity consumption in China. Energy 2017, 118, 473–480. [Google Scholar] [CrossRef]
- Laouafi, A.; Mordjaoui, M.; Haddad, S.; Boukelia, T.E.; Ganouche, A. Online electricity demand forecasting based on an effective forecast combination methodology. Electric Power Syst. Res. 2017, 148, 35–47. [Google Scholar] [CrossRef]
- Bhaskar, K.; Singh, S.N. AWNN-Assisted Wind Power Forecasting Using Feed-Forward Neural Network. IEEE Trans. Sustain. Energy 2012, 3, 306–315. [Google Scholar] [CrossRef]
- Liu, S.; Tao, L.; Xie, N.; Yang, Y. On the new model system and framework of grey system theory. In Proceedings of the IEEE International Conference on Grey Systems & Intelligent Services, Leicester, UK, 18–20 August 2015. [Google Scholar] [CrossRef]
- Fahmi, F.; Sofyan, H. Forecasting household electricity consumption in the province of Aceh using combination time series model. In Proceedings of the International Conference on Electrical Engineering & Informatics, Banda Aceh, Indonesia, 18–20 October 2017. [Google Scholar] [CrossRef]
- Wang, Q.; Li, S.; Li, R. Forecasting energy demand in China and India: Using single-linear, hybrid-linear, and non-linear time series forecast techniques. Energy 2018, 161, 821–831. [Google Scholar] [CrossRef]
© 2019 by the authors. Licensee MDPI, Basel, Switzerland. This article is an open access article distributed under the terms and conditions of the Creative Commons Attribution (CC BY) license (http://creativecommons.org/licenses/by/4.0/).























