Wake Effect of a Horizontal Axis Wind Turbine on the Performance of a Downstream Turbine
Abstract
:1. Introduction
2. Wind Tunnel Experiments
2.1. Experimetal Setup
2.2. Performance of a Single HAWT
3. Wake Characteristics of a Single HAWT
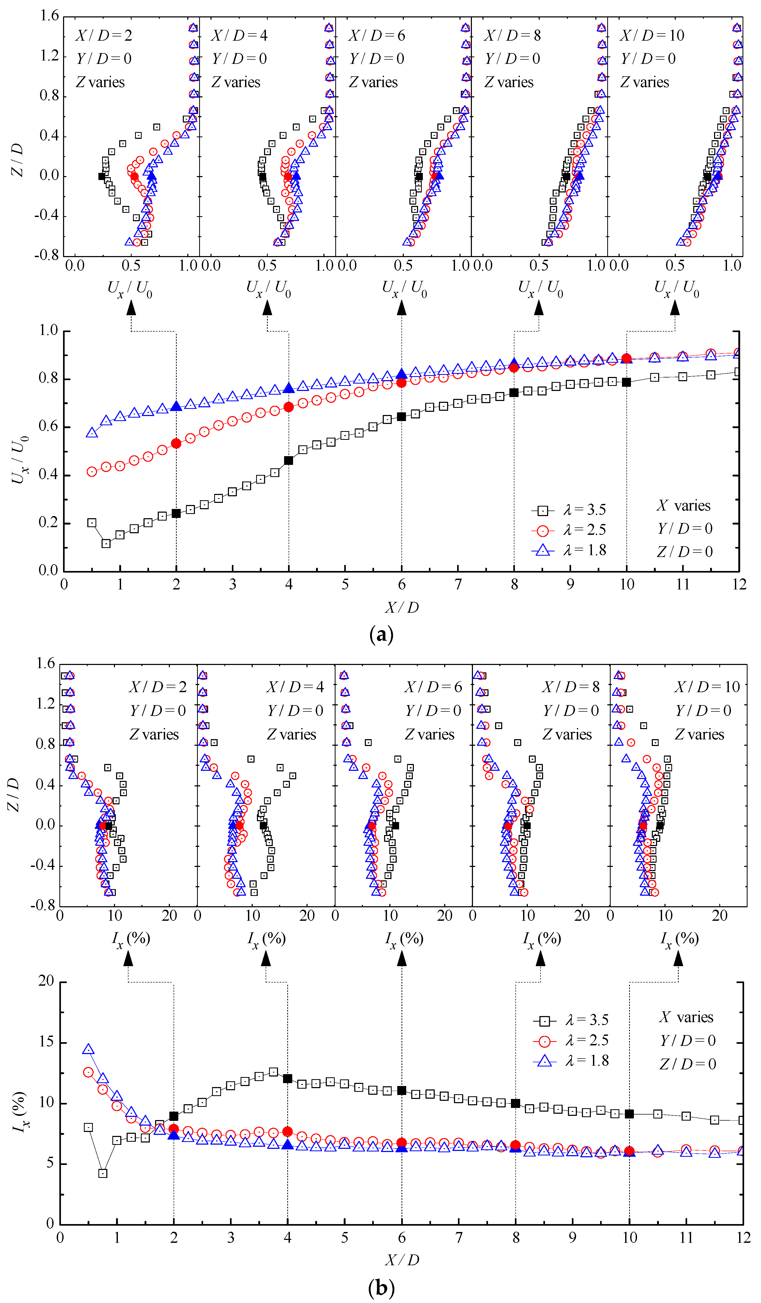
3.1. Wake Recovery
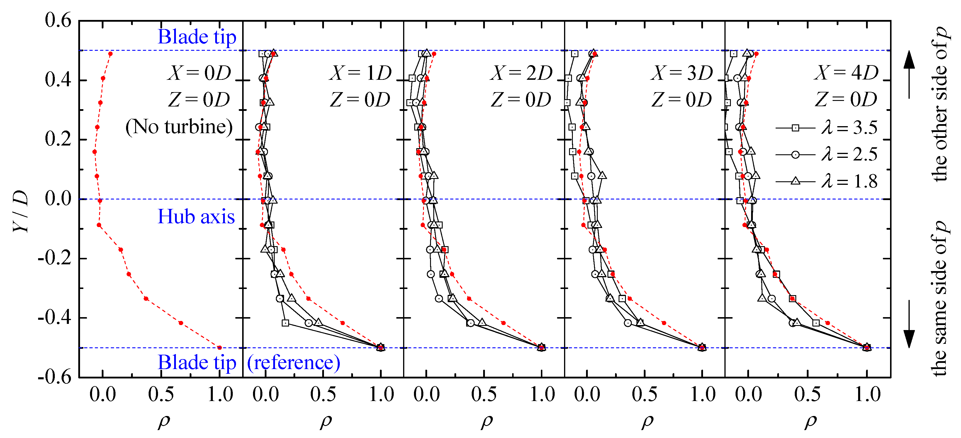
3.2. Wake Correlation
4. Wake Effects on a Downstream HAWT
5. Conclusions
- (1)
- At a fixed velocity of incoming flow, the rotational speed of the wind turbine decreased with the increase in blade pitch angle, especially when the pitch angle was between 7.5° and 22.5°. This led to a reduction of the power coefficient. With the increase in velocity of incoming flow, the rotational speed of the wind turbine increased stably but the power coefficient first increased to a peak value and then decreased again.
- (2)
- After passing through the wind turbine, the velocity of incoming flow decreased but the turbulence intensity increased significantly. These wake effects were strong within the blade swept area and decreased progressively from the hub center to the blade tip. A small pitch angle provided smaller disturbance to the flow, but the blades turned faster, leading to larger changes in the wind velocity and turbulence intensity due to the more frequent passage of the turbine blades. Compared with the region above the hub axis, the wake characteristics below the hub axis were more difficult to recover due to the presence of the ground surface and disruption of the flow from the supporting pole.
- (3)
- The turbine captured energy from the incoming flow and disturbed it, changing the correlation of the wake flow. Around the hub axis, the wake correlation decreased significantly from the freestream case, but this effect could be slightly weakened by the rotation of the turbine. The faster the rotational speed of the turbine was, the more this decreased correlation coefficient recovered. Overall, the decreased correlation within the blade swept area gradually recovered to the freestream values increased at increasing downstream locations. Moreover, an anti-correlated region can be observed at the two lateral sides of the turbine blade swept area.
- (4)
- Due to the aerodynamic interference between the two turbines in the tandem arrangement, their output powers both decreased when compared with a single isolated turbine, especially for the downstream one. The interference became weaker with the increase in their separation distance, so the output powers recovered gradually. As the performance of the downstream turbine was mainly determined by the wake of the upstream one, the output power of the downstream turbine decreased with the increase in rotational speed of the upstream turbine, but was less related to its own pitch angle. In the wake of the upstream turbine, the reduced mean wind velocity was the most dominant factor in determining the loss of power generation of the downstream turbine. Although higher turbulence intensities make the rotational speed of the turbine less stable, the unfavourable effect was limited. The wake correlation was another important factor governing the performance of the downstream turbine. The decrease in the correlation of the streamwise velocity within the blade swept area was accompanied with the increased correlation of the tangential velocity, which may be favorable to the downstream turbine performance.
- (5)
- This paper mainly focused on the wake characteristics of the wind turbine whose performance was evaluated based on its power generation only, while the changes in thrust force and power quality should be further investigated. Meanwhile, the Reynolds number in the present wind tunnel experiments was much smaller than those in most commercial wind turbine installations. Although previous studies have shown that the primary wake characteristics behind a turbine can be reproduced at relatively low Reynolds numbers, the Reynolds number effect on the results should be further studied by numerical simulations or field experiments.
Author Contributions
Funding
Conflicts of Interest
References
- Xie, W.; Zeng, P.; Lei, L.P. Wind tunnel experiments for innovative pitch regulated blade of horizontal axis wind turbine. Energy 2015, 91, 1070–1080. [Google Scholar] [CrossRef]
- Xie, W.; Zeng, P.; Lei, L.P. Wind tunnel testing and improved blade element momentum method for umbrella-type rotor of horizontal axis wind turbine. Energy 2017, 119, 334–350. [Google Scholar] [CrossRef]
- Sutrisno; Iswahyudi, S.; Wibowo, S.B. Dimensional analysis of power prediction of a real-scale wind turbine based on wind-tunnel torque measurement of small-scaled models. Energies 2018, 11, 2374. [Google Scholar] [CrossRef]
- Lee, M.H.; Shiah, Y.C.; Bai, C.J. Experiments and numerical simulations of the rotor-blade performance for a small-scale horizontal axis wind turbine. J. Wind Eng. Ind. Aerodyn. 2016, 146, 17–29. [Google Scholar] [CrossRef]
- Lin, Y.T.; Chiu, P.H.; Huang, C.C. An experimental and numerical investigation on the power performance of 150 kW horizontal axis wind turbine. Renew. Energy 2017, 113, 85–93. [Google Scholar] [CrossRef]
- Li, Q.A.; Maeda, T.; Kamada, Y.; Mori, N. Investigation of wake effects on a horizontal axis wind turbine in field experiments (Part I: Horizontal axis direction). Energy 2017, 134, 482–492. [Google Scholar] [CrossRef]
- Howard, K.B.; Guala, M. Upwind preview to a horizontal axis wind turbine: A wind tunnel and field-scale study. Wind Energy 2016, 19, 1371–1389. [Google Scholar] [CrossRef]
- Chamorro, L.P.; Arndt, R.E.A.; Sotiropoulos, F. Reynolds number dependence of turbulence statistics in the wake of wind turbines. Wind Energy 2012, 15, 733–742. [Google Scholar] [CrossRef]
- Park, Y.M.; Chang, B.H.; Cho, T.H. Numerical simulation of wind turbine scale effects by using CFD. In Proceedings of the 45th AIAA Aerospace Sciences Meeting and Exhibit, Reno, NV, USA, 8–11 January 2007. [Google Scholar]
- Ge, M.W.; Tian, D.; Deng, Y. Reynolds number effect on the optimization of a wind turbine blade for maximum aerodynamic efficiency. J. Energy Eng. 2016, 142, 04014056. [Google Scholar] [CrossRef]
- Li, X.X.; Yang, K.; Zhang, L.; Bai, J.Y. Experimental study of Reynolds number effects on performance of thick CAS wind turbine airfoils. J. Renew. Sustain. Energy 2017, 9, 063309. [Google Scholar] [CrossRef]
- Tarhan, C.; Yilmaz, İ. Numerical and experimental investigations of 14 different small wind turbine airfoils for 3 different reynolds number conditions. Wind Struct. 2019, 28, 141–153. [Google Scholar]
- Parker, C.M.; Leftwich, M.C. The effect of tip speed ratio on a vertical axis wind turbine at high Reynolds numbers. Exp. Fluids 2016, 57, 74. [Google Scholar] [CrossRef]
- Zanforlin, S.; Deluca, S. Effects of the Reynolds number and the tip losses on the optimal aspect ratio of straight-bladed vertical axis wind turbines. Energy 2018, 148, 179–195. [Google Scholar] [CrossRef]
- Leung, D.Y.C.; Yang, Y. Wind energy development and its environmental impact: A review. Renew. Sustain. Energy Rev. 2012, 16, 1031–1039. [Google Scholar] [CrossRef]
- Barthelmie, R.J.; Hansen, K.; Frandsen, S.T.; Rathmann, O.; Schepers, J.G.; Schlez, W.; Phillips, J.; Rados, K.; Zervos, A.; Politis, E.S.; et al. Modelling and measuring flow and wind turbine wakes in large wind farms offshore. Wind Energy 2009, 12, 431–444. [Google Scholar] [CrossRef]
- Porté-Agel, F.; Wu, Y.T.; Chen, C.H. A numerical study of the effects of wind direction on turbine wakes and power losses in a large wind farm. Energies 2013, 6, 5297–5313. [Google Scholar] [CrossRef]
- Medici, D.; Alfredsson, P.H. Measurements on a wind turbine wake: 3D effects and bluff body vortex shedding. Wind Energy 2006, 9, 219–236. [Google Scholar] [CrossRef]
- Hu, H.; Yang, Z.F.; Sarkar, P. Dynamic wind loads and wake characteristics of a wind turbine model in an atmospheric boundary layer wind. Exp. Fluids 2012, 52, 1277–1294. [Google Scholar] [CrossRef]
- Zhang, W.; Markfort, C.D.; Porté-Agel, F. Near-wake flow structure downwind of a wind turbine in a turbulent boundary layer. Exp. Fluids 2012, 52, 1219–1235. [Google Scholar] [CrossRef]
- Bastankhah, M.; Porté-Agel, F. Experimental and theoretical study of wind turbine wakes in yawed conditions. J. Fluid Mech. 2016, 806, 506–541. [Google Scholar] [CrossRef]
- Qian, Y.R.; Zhang, Z.Y.; Wang, T.G. Comparative study of the aerodynamic performance of the new MEXICO rotor under yaw conditions. Energies 2018, 11, 833. [Google Scholar] [CrossRef]
- Chu, C.R.; Chiang, P.H. Turbulence effects on the wake flow and power production of a horizontal-axis wind turbine. J. Wind Eng. Ind. Aerodyn. 2014, 124, 82–89. [Google Scholar] [CrossRef]
- Adaramola, M.S.; Krogstad, P.-Å. Experimental investigation of wake effects on wind turbine performance. Renew. Energy 2011, 36, 2078–2086. [Google Scholar] [CrossRef]
- Bastankhah, M.; Porté-Agel, F. Wind tunnel study of the wind turbine interaction with a boundary-layer flow: Upwind region, turbine performance, and wake region. Phys. Fluids 2017, 29, 1–24. [Google Scholar] [CrossRef]
- Talavera, M.; Shu, F.J. Experimental study of turbulence intensity influence on wind turbine performance and wake recovery in a low-speed wind tunnel. Renew. Energy 2017, 109, 363–371. [Google Scholar] [CrossRef]
- Theunissen, R.; Scarano, F.; Riethmuller, M.L. Spatially adaptive PIV interrogation based on data ensemble. Exp. Fluids 2010, 48, 875–887. [Google Scholar] [CrossRef]
- Willert, C.E.; Gharib, M. Digital particle image velocimetry. Exp. Fluids 1991, 10, 181–193. [Google Scholar] [CrossRef]











| Items | Root Pitch Angle β (°) | |||||
|---|---|---|---|---|---|---|
| 0 | 7.5 | 15 | 22.5 | 30 | 45 | |
| RPM | 880 | 810 | 585 | 420 | 316 | 220 |
| TSR | 3.8 | 3.5 | 2.5 | 1.8 | 1.4 | 1.0 |
| Total Correlation Coefficient | ||||||
|---|---|---|---|---|---|---|
| X = 0D | X = 2D | X = 4D | X = 6D | X = 8D | X = 10D | |
| 3.5 | 0.232 (no turbine) | 0.0676 | 0.1159 | 0.1051 | 0.1438 | 0.1598 |
| 2.5 | 0.0567 | 0.0625 | 0.0987 | 0.1042 | 0.1049 | |
| 1.8 | 0.0600 | 0.0515 | 0.0751 | 0.1254 | 0.1442 | |
| Average | 0.0614 | 0.0766 | 0.0930 | 0.1245 | 0.1363 | |
| Two HAWTs: | A Single HAWT: | ||||||
|---|---|---|---|---|---|---|---|
| Tested | Estimated | ||||||
| 2 | −62.2 | −58 | −100.0 | +29 | - | −71 | - |
| 4 | −43.3 | −43 | −86.8 | +25 | - | −50 | - |
| 6 | −31.9 | −31 | −69.2 | +17 | −1.4 | −55 | +38.7 |
| 8 | −25.3 | −24 | −54.5 | +13 | - | −38 | - |
| 10 | −23.1 | −19 | −43.6 | +11 | −4.9 | −31 | +25.4 |
© 2019 by the authors. Licensee MDPI, Basel, Switzerland. This article is an open access article distributed under the terms and conditions of the Creative Commons Attribution (CC BY) license (http://creativecommons.org/licenses/by/4.0/).
Share and Cite
Tang, H.; Lam, K.-M.; Shum, K.-M.; Li, Y. Wake Effect of a Horizontal Axis Wind Turbine on the Performance of a Downstream Turbine. Energies 2019, 12, 2395. https://doi.org/10.3390/en12122395
Tang H, Lam K-M, Shum K-M, Li Y. Wake Effect of a Horizontal Axis Wind Turbine on the Performance of a Downstream Turbine. Energies. 2019; 12(12):2395. https://doi.org/10.3390/en12122395
Chicago/Turabian StyleTang, Haojun, Kit-Ming Lam, Kei-Man Shum, and Yongle Li. 2019. "Wake Effect of a Horizontal Axis Wind Turbine on the Performance of a Downstream Turbine" Energies 12, no. 12: 2395. https://doi.org/10.3390/en12122395
APA StyleTang, H., Lam, K.-M., Shum, K.-M., & Li, Y. (2019). Wake Effect of a Horizontal Axis Wind Turbine on the Performance of a Downstream Turbine. Energies, 12(12), 2395. https://doi.org/10.3390/en12122395

