A Forecast Model for the Level of Engineering Maturity Impact on Contractor’s Procurement and Construction Costs for Offshore EPC Megaprojects
Abstract
:1. Introduction
1.1. Existing Literature
1.2. Point of Departure and Research Contribution
2. Research Methodology
2.1. Existing DECRIS Model
= Construction labor hours increased by design change/Planned construction labor hours
= Vendor change order cost/Original purchase order price
= Additional engineering labor hours/Planned engineering labor hours
2.2. Artificial Neural Network
a1(2) = g(θ11(1)x1 + θ12(1)x2 + θ13(1)x3 + b1)
a2(2) = g(θ21(1)x1 + θ22(1)x2 + θ23(1)x3 + b2)
a3(2) = g(θ31(1)x1 + θ32(1)x2 + θ33(1)x3 + b3)
a1(3) = h(x) = h(θ11(2)a1(2) + θ12(2)a2(2) + θ13(2)a3(2))
sM = −2h’M(nM)(t − a) and sm = g’m(nm)(Wm+1)Tsm+1, m = M − 1, …, 2, 1
θ m(k + 1) = θ m(k) − αSm(am−1)T and bm(k + 1) = bm(k) − αSm
S(2) = −2h’(2)(n(2))(t − a(2)) and S(1) = g’(1)(n(1))(W(2))TS2
2.3. Trade-Off Using Monte-Carlo Simulation
3. DECRIS Model for Forecasting Procurement Performances
3.1. Definition of Key Engineering Gates for Major Equipment Procurement
3.2. Data Collection from Historical Projects
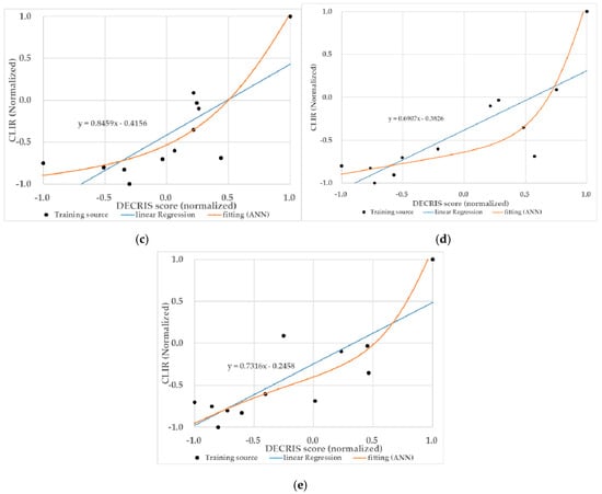
3.3. Forecasting Procurement Performance Using Artificial Neural Network
0.239/(1 + e−(0.513x − 1.971)) + 1.467/(1 + e−(2.012x − 2.458)) − 0.893
3.4. Forecasting Construction Performance Using Artificial Neural Network
4. Case Study: Forecasting Cost Performance of an EPC Project at Bidding Stage
4.1. DECRIS Assessments of a Sample Project
4.2. Sample Project Performance Prediction (ANN Network Test)
4.3. Mitigation Plan Using Trade-Off Optimization
- Input parameters taken from historical projects are distributed as normal distribution. Its appliance was already verified as shown in the research of Kim et al. [34].
- Ibbs described that productivity in the design phase is decreased up to 80%~93% of normal productivity when project changes occur [8]. In this research, 80% efficiency was considered in case of engineering resource enhancement.
- The slope of input variables against DECRIS scores is not linear as shown in the previous section taken by neural network. However, we used the constant slope of the trend line of linear regression to perform the trade-off optimization.
- 10,000 iterations were considered per one simulation.
- For verification purposes, optimization using at-Risk commercial program was also performed with genetic algorithm.
5. Application and Validation
5.1. Validation of DECRIS Cut-Off Score
5.2. Statistical Comparison of ANN and Regression Result
6. Conclusions
6.1. Summaries and Contributions
- At the bidding session, proposal teams of EPC contractors can review the FEED engineering maturities using the DECRIS model and can estimate the project procurement and construction risks as cost units. Then, EPC contractors can decide whether the cost risks are to be taken or to be incorporated into their bid price as contingency or allowance.
- On the project starting session, project management teams of EPC contractors can calculate the optimum range of engineering resources to minimize the cost impact risks during project execution.
- Before major equipment procurement, purchasing teams of EPC contractors can predict the VCOR and decide when purchase orders of the major equipment could be placed. If the detailed engineering is pre-matured and the expected delivery of the equipment has some free float by comparing a “required on site” date, and then they can adjust the date of the purchase order, when feasible.
- At the construction starting stage that is the most important decision of EPC execution, the EPC contractor’s decision maker can make a macroscopic review of the detailed engineering maturities and judge “go” or “no-go” decision for steel cutting. If construction cost risks caused by poor engineering maturities is not within the acceptable range, they can adjust the steel cutting and continue the engineering progress up to the DECRIS cut-off score.
- During the early stage of EPC execution, clients can monitor the project risks using the DECRIS model. Engineering progress or material procurement status shows just the details of EPC activities; however, it is not easy to project the project cost or the schedule risks with only limited information. With the involvement of a DECRIS assessment team, they can properly monitor the engineering, procurement, and construction risks and request mitigation plans to EPC contractors for reducing DECRIS score over the threshold at each engineering key gate.
6.2. Discussions and Future Research
Author Contributions
Funding
Acknowledgments
Conflicts of Interest
Abbreviation
| ANN | Artificial Neural Network |
| CLIR | Construction Labor-hour Increase rate |
| DECRIS | Detailed Engineering Completion Rating Index System |
| EPC | Engineering, Procurement and Construction |
| ERER | Engineering Resource Enhancement Rate |
| FEED | Front-End Engineering and Design |
| SSE | Sum Squared Error |
| VCOR | Vendor Change Order Rate |
References
- Kim, M.-H.; Lee, E.-B.; Choi, H.-S. Detail Engineering Completion Rating Index System (DECRIS) for Optimal Initiation of Construction Works to Improve Contractors’ Schedule-Cost Performance for Offshore Oil and Gas EPC Projects. Sustainability 2018, 10, 2469. [Google Scholar] [CrossRef]
- Shibani, A.; Arumugam, K. Avoiding cost overruns in construction projects in India. J. Manag. Stud. 2015, 3, 192–202. [Google Scholar]
- Hsieh, T.-Y.; Lu, S.-T.; Wu, C.-H. Statistical analysis of causes for change orders in metropolitan public works. Int. J. Proj. Manag. 2004, 22, 679–686. [Google Scholar] [CrossRef]
- Ssegawa, J.; Mfolwe, K.M.; Makuke, B.; Kutua, B. Construction variations: A scourge or a necessity. In Proceedings of the First International Conference of CIB W107, Stellenbosch, South Africa, 15–17 November 2002. [Google Scholar]
- Kaming, P.F.; Olomolaiye, P.O.; Holt, G.D.; Harris, F.C. Factors influencing construction time and cost overruns on high-rise projects in Indonesia. Constr. Manag. Econ. 1997, 15, 83–94. [Google Scholar] [CrossRef]
- Frimpong, Y.; Oluwoye, J.; Crawford, L. Causes of delay and cost overruns in construction of groundwater projects in a developing countries; Ghana as a case study. Int. J. Proj. Manag. 2003, 21, 321–326. [Google Scholar] [CrossRef]
- Creedy, G.D.; Skitmore, M.; Wong, J.K. Evaluation of risk factors leading to cost overrun in delivery of highway construction projects. J. Constr. Eng. Manag. 2010, 136, 528–537. [Google Scholar] [CrossRef]
- Ibbs, C.W. Quantitative impacts of project change: Size issues. J. Constr. Eng. Manag. 1997, 123, 308–311. [Google Scholar] [CrossRef]
- Wang, T.; Tang, W.; Qi, D.; Shen, W.; Huang, M. Enhancing design management by partnering in delivery of international EPC projects: Evidence from Chinese construction companies. J. Constr. Eng. Manag. 2015, 142, 04015099. [Google Scholar] [CrossRef]
- Thomas, H.R.; Napolitan, C.L. Quantitative effects of construction changes on labor productivity. J. Constr. Eng. Manag. 1995, 121, 290–296. [Google Scholar] [CrossRef]
- Kumaraswamy, M.M.; Chan, D.W. Contributors to construction delays. Constr. Manag. Econ. 1998, 16, 17–29. [Google Scholar] [CrossRef]
- Long, N.D.; Ogunlana, S.; Quang, T.; Lam, K.C. Large construction projects in developing countries: A case study from Vietnam. Int. J. Proj. Manag. 2004, 22, 553–561. [Google Scholar] [CrossRef]
- Elhag, T.; Boussabaine, A.; Ballal, T. Critical determinants of construction tendering costs: Quantity surveyors’ standpoint. Int. J. Proj. Manag. 2005, 23, 538–545. [Google Scholar] [CrossRef]
- Acharya, N.K.; Im, H.-M.; Lee, Y.-D. Investigating delay factors in construction industry: A Korean perspective. Korean J. Constr. Eng. Manag. 2006, 7, 177–190. [Google Scholar]
- Arain, F.M.; Pheng, L.S. Knowledge-based decision support system for management of variation orders for institutional building projects. Autom. Constr. 2006, 15, 272–291. [Google Scholar] [CrossRef]
- Moura, H.M.P.; Teixeira, J.M.C.; Pires, B. Dealing with cost and time in the Portuguese construction industry. In Construction for Developement: Proceedings of the CIB World Building Congress; CIB WORLD BUILDING CONGRESS: Cape Town, South Africa, 2007. [Google Scholar]
- Harisaweni. The Framework for Minimizing Construction Time and Cost Overruns in Padang and Pekanbaru, Indonesia; Universiti Teknologi Malaysia: Johor Bahru, Malaysia, 2007. [Google Scholar]
- Oladapo, A. A quantitative assessment of the cost and time impact of variation orders on construction projects. J. Eng. Des. Technol. 2007, 5, 35–48. [Google Scholar] [CrossRef]
- Azhar, N.; Farooqui, R.U.; Ahmed, S.M. Cost overrun factors in construction industry of Pakistan. In Proceedings of the First International Conference on Construction in Developing Countries (ICCIDC–I) “Advancing and Integrating Construction Education, Research & Practice”, Karachi, Pakistan, 4–5 August 2008. [Google Scholar]
- Le-Hoai, L.; Dai Lee, Y.; Lee, J.Y. Delay and cost overruns in Vietnam large construction projects: A comparison with other selected countries. KSCE J. Civ. Eng. 2008, 12, 367–377. [Google Scholar] [CrossRef]
- Abd El-Razek, M.; Bassioni, H.; Mobarak, A. Causes of delay in building construction projects in Egypt. J. Constr. Eng. Manag. 2008, 134, 831–841. [Google Scholar] [CrossRef]
- Enshassi, A.; Arain, F.; Al-Raee, S. Causes of variation orders in construction projects in the Gaza Strip. J. Civ. Eng. Manag. 2010, 16, 540–551. [Google Scholar] [CrossRef]
- Ameh, O.J.; Soyingbe, A.A.; Odusami, K.T. Significant factors causing cost overruns in telecommunication projects in Nigeria. J. Constr. Dev. Ctries. 2010, 15, 49–67. [Google Scholar]
- Memon, A.H.; Rahman, I.A.; Abdullah, M.R.; Azis, A.A.A. Factors affecting construction cost in Mara large construction project: Perspective of project management consultant. Int. J. Sustain. Constr. Eng. Technol. 2011, 1, 41–54. [Google Scholar]
- Mohammad, N.; Ani, A.I.C.; Rakmat, R.A.O.K.; Yusof, M.A. Investigation on the causes of variation orders in the construction of building project–a study in the state of Selangor, Malaysia. J. Build. Perform. 2010, 1, 73–81. [Google Scholar]
- Rahman, I.A.; Memon, A.H.; Karim, A.T.A. Significant factors causing cost overruns in large construction projects in Malaysia. J. Appl. Sci. 2013, 13, 286–293. [Google Scholar]
- Halwatura, R.N.; Ranasinghe, N.P.N.P. Causes of variation orders in road construction projects in Sri Lanka. ISRN Constr. Eng. 2013, 2013, 381670. [Google Scholar] [CrossRef]
- Gunduz, M.; Maki, O.L. Assessing the risk perception of cost overrun through importance rating. Technol. Econ. Dev. Econ. 2018, 24, 1829–1844. [Google Scholar] [CrossRef]
- Yadeta, A.E. Causes of Variation Orders on Public Building Projects in Addis Ababa. Int. J. Eng. Res. Gen. Sci. 2016, 4, 242–250. [Google Scholar]
- Ogunsanmi, O. Effects of procurement related factors on construction project performance in Nigeria. Ethiop. J. Environ. Stud. Manag. 2013, 6, 215–222. [Google Scholar] [CrossRef]
- Baloi, D.; Price, A.D. Modelling global risk factors affecting construction cost performance. Int. J. Proj. Manag. 2003, 21, 261–269. [Google Scholar] [CrossRef]
- Iyer, K.C.; Jha, K.N. Factors affecting cost performance: Evidence from Indian construction projects. Int. J. Proj. Manag. 2005, 23, 283–295. [Google Scholar] [CrossRef]
- Dikmen, I.; Birgonul, M.T.; Han, S. Using fuzzy risk assessment to rate cost overrun risk in international construction projects. Int. J. Proj. Manag. 2007, 25, 494–505. [Google Scholar] [CrossRef]
- Kim, M.-H.; Lee, E.-B.; Choi, H.-S. A Forecast and Mitigation Model of Construction Performance by Assessing Detailed Engineering Maturity at Key Milestones for Offshore EPC Mega-Projects. Sustainability 2019, 11, 1256. [Google Scholar] [CrossRef]
- Yoo, W.S.; Yang, J.; Kang, S.; Lee, S. Development of a computerized risk management system for international NPP EPC projects. KSCE J. Civ. Eng. 2017, 21, 11–26. [Google Scholar] [CrossRef]
- Kim, G.-H.; Yoon, J.-E.; An, S.-H.; Cho, H.-H.; Kang, K.-I. Neural network model incorporating a genetic algorithm in estimating construction costs. Build. Environ. 2004, 39, 1333–1340. [Google Scholar] [CrossRef]
- Hagan, M.T.; Demuth, H.B.; Beale, M.H.; De Jesús, O. Neural Network Design; PWS Publising Co.: Boston, MA, USA, 1996; ISBN 0-534-94332-2. [Google Scholar]
- Burmaster, D.E.; Anderson, P.D. Principles of good practice for the use of Monte Carlo techniques in human health and ecological risk assessments. Risk Anal. 1994, 14, 477–481. [Google Scholar] [CrossRef] [PubMed]










| Authors | Project Location | Inaccurate Cost Estimate | Design Changes * |
|---|---|---|---|
| Thomas and Napolitan [10] | - | O | |
| Kaming et al. [5] | Indonesia | O | O |
| Kumaraswamy et al. [11] | Hong Kong | O | |
| Ssegawa et al. [4] | South Africa | O | |
| Frimpong et al. [6] | Ghana | O | O |
| Hsieh et al. [3] | Taipei | O | |
| Long at al [12] | Vietnam | O | |
| Elhag et al. [13] | UK | O | |
| Acharya et al. [14] | Korea | O | O |
| Arain and Pheng [15] | Singapore | O | |
| Moura et al. [16] | Portugal | O | |
| Harisaweni [17] | Indonesia | O | O |
| Oladapo [18] | Nigeria | O | |
| Azhar et al. [19] | Pakistan | O | O |
| Le-Hoai et al. [20] | Vietnam | O | O |
| El-Razek et al. [21] | Egypt | O | |
| Enshassi et al. [22] | Gaza Strip | O | O |
| Ameh et al. [23] | Nigeria | O | |
| Memon et al. [24] | Malaysia | O | |
| Mohammad et al. [25] | Malaysia | O | |
| Rahman et al. [26] | Malaysia | O | O |
| Halwatura and Ranasinghe [27] | Sri Lanka | O | O |
| Shibani and Arumugam [2] | India | O | O |
| Gunduz and Maki [28] | - | O | O |
| Yadeta [29] | Ethiopia | O | O |
| Ogunsanmi [30] | Nigeria | O | |
| Creedy et al. [7] | Australia | O | O |
| Baloi and Price [31] | Developing Countries | O | O |
| Iyer and Jha [32] | India | O | O |
| Project | DECRIS Score at Gate1 | DECRIS Score at Gate2 | VCOR | Sampling |
|---|---|---|---|---|
| A | 817 | 661 | 4.36% | training |
| B | 872 | 725 | 22.22% | training |
| C | 785 | 630 | 7.14% | training |
| D | 822 | 665 | 12.17% | training |
| E | 790 | 644 | 1.59% | test |
| F | 814 | 687 | 13.48% | training |
| G | 806 | 661 | 4.46% | test |
| H | 824 | 668 | 3.94% | training |
| I | 790 | 628 | 2.93% | training |
| J | 799 | 641 | 5.18% | training |
| K | 808 | 638 | 2.51% | training |
| L | 796 | 630 | 8.55% | training |
| M | 813 | 658 | 7.21% | training |
| N | 848 | 696 | 7.15% | training |
| O | 841 | 701 | 8.11% | test |
| Risks | Gate | SSE | ||||
|---|---|---|---|---|---|---|
| n-4 | n-3 | n-2 | n-2 | n * | ||
| CLIR | #1 | 0.0861 | 0.0861 | 0.0861 | 0.0862 | 0.0862 |
| #2 | 0.0967 | 0.0966 | 0.0965 | 0.0964 | 0.0963 | |
| #3 | 0.0965 | 0.0965 | 0.0964 | 0.0963 | 0.0963 | |
| #4 | 0.1025 | 0.102 | 0.1015 | 0.1011 | 0.1006 | |
| #5 | 0.0923 | 0.0921 | 0.0919 | 0.0916 | 0.0914 | |
| VCOR | #1 | 0.1626 | 0.1626 | 0.1626 | 0.1626 | 0.1626 |
| #2 | 0.1633 | 0.1631 | 0.1630 | 0.1628 | 0.1626 | |
| Project | Project E | Project G | Project O |
|---|---|---|---|
| Area | South-East Asia | West Africa | South-East Asia |
| Project type | Fixed Platform | Floater | Floater |
| Project contract type | EPC | EPCIC | EPCI |
| Project period | 35 months | 32 months | 39 months |
| DECRIS score (Gate 1) | 790 | 806 | 841 |
| Actual VCOR | 1.59% | 4.46% | 8.11% |
| CLIR | VCOR | |||||||
|---|---|---|---|---|---|---|---|---|
| Gate | Gate 1 | Gate 2 | Gate 3 | Gate 4 | Gate 5 | Gate 1 | Gate 2 | |
| Project G | ANN Forecasting | 4.10% | 5.01% | 6.32% | 2.76% | 6.51% | 5.93% | 6.53% |
| Actual | 6.02% | 6.02% | 6.02% | 6.02% | 6.02% | 4.46% | 4.46% | |
| Difference | 1.91% | 1.01% | −0.30% | 3.26% | −0.49% | −1.47% | −2.07% | |
| Deviation | 0.42 σ | 0.22 σ | −0.07 σ | 0.7 σ | −0.11 σ | −0.26 σ | −0.37 σ | |
| Project E | ANN Forecasting | 2.87% | 3.27% | 3.09% | Outlier * | 4.57% | 5.55% | 5.34% |
| Actual | 1.61% | 1.61% | 1.61% | Outlier | 1.61% | 1.59% | 1.59% | |
| Difference | −1.26% | −1.66% | −1.48% | Outlier | −2.96% | −3.96% | −3.75% | |
| Deviation | −0.27 σ | −0.36 σ | −0.32 σ | Outlier | −0.65 σ | −0.71 σ | −0.67 σ | |
| CLIR | VCOR | ||||||
|---|---|---|---|---|---|---|---|
| Gate | Gate 1 | Gate 2 | Gate 3 | Gate 4 | Gate 5 | Gate 1 | Gate 2 |
| R2 (Linear Regression) | 0.739 | 0.731 | 0.594 | 0.660 | 0.686 | 0.425 | 0.545 |
| R2 (ANN) | 0.771 | 0.764 | 0.760 | 0.792 | 0.796 | 0.611 | 0.681 |
| R2 Increase | 4.33% | 4.51% | 28.0% | 20.0% | 16.0% | 44.0% | 24.9% |
| Mean Error (Linear Regression) | 0.242 | 0.239 | 0.286 | 0.228 | 0.238 | 0.366 | 0.314 |
| Mean Error (ANN) | 0.203 | 0.213 | 0.202 | 0.181 | 0.184 | 0.280 | 0.268 |
| Mean Error Increase | −16.1% | −10.9% | −29.4% | −20.6% | −22.7% | −23.5% | −14.6% |
© 2019 by the authors. Licensee MDPI, Basel, Switzerland. This article is an open access article distributed under the terms and conditions of the Creative Commons Attribution (CC BY) license (http://creativecommons.org/licenses/by/4.0/).
Share and Cite
Kim, M.-H.; Lee, E.-B. A Forecast Model for the Level of Engineering Maturity Impact on Contractor’s Procurement and Construction Costs for Offshore EPC Megaprojects. Energies 2019, 12, 2295. https://doi.org/10.3390/en12122295
Kim M-H, Lee E-B. A Forecast Model for the Level of Engineering Maturity Impact on Contractor’s Procurement and Construction Costs for Offshore EPC Megaprojects. Energies. 2019; 12(12):2295. https://doi.org/10.3390/en12122295
Chicago/Turabian StyleKim, Myung-Hun, and Eul-Bum Lee. 2019. "A Forecast Model for the Level of Engineering Maturity Impact on Contractor’s Procurement and Construction Costs for Offshore EPC Megaprojects" Energies 12, no. 12: 2295. https://doi.org/10.3390/en12122295
APA StyleKim, M.-H., & Lee, E.-B. (2019). A Forecast Model for the Level of Engineering Maturity Impact on Contractor’s Procurement and Construction Costs for Offshore EPC Megaprojects. Energies, 12(12), 2295. https://doi.org/10.3390/en12122295

