Abstract
Considering the helicity of Archimedean spiral coils, this paper proposes accurate expressions of mutual inductance and their numerical calculation methods, which can be applied in the wireless power transmission field, etc. Accurate expressions of mutual inductance are deduced respectively for two coils that are coaxial, laterally misaligned, or non-parallel, and numerical calculations are performed using Gaussian integration as well. In the case of coaxial coils, the calculation results are verified by the 3D finite element method (3D FEM) and compared with the results gained by the traditional method that approximates two spiral coils to two clusters of series-connected circular coils ignoring helicity. The comparison of the three methods shows that results achieved by the proposed expression are close to that of 3D FEM, while there is increasing error with the screw pitches of the coils when using the traditional circular coil approximation method. The influence of relative position on the mutual inductance of the two coils is also studied and it is further explained through magnetic field distribution. Finally, the validity of the proposed expressions of mutual inductance is verified by experimental results.
  1. Introduction
Planar spiral coils have been widely used in high-frequency fields such as wireless power transmission [,], printed circuit board-based magnetic components, and on-chip coils [,]. In the design of the coils, mutual inductance is an important parameter [,]. Since Maxwell’s study, mutual inductance calculation has been considered as a basic scientific problem for all coupling coils []. The mutual inductance between circular filaments was first studied by Maxwell from the perspective of energy, and for the case of two coaxial coils, the mutual inductance expression containing a complete elliptic integral [] was given. Based on the definition of mutual inductance in circuit theory and the concept of vector potential, Neumann’s formula of the mutual inductance between any two filaments was presented, and the mutual inductance between two parallel circular coils was calculated in [,]. By means of reciprocal distance under cylindrical coordinates, the variables in the mutual inductance expression of parallel circular coils was decoupled in []. The conclusion of [] was applied in [] to calculate the mutual inductance between coaxial coils considering the current distribution of the coils’ cross section. The mutual inductance of circular coils was studied in [] and [] under lateral misalignment and non-parallel occasions, respectively.
In industrial application fields like wireless power transmission, air core planar spiral coils with constant screw pitches, namely Archimedean spiral coils, are commonly used as the magnetic coupling mechanism [,]. In the calculation of the mutual inductance of planar spiral coils, the circular coils approximation method is commonly used in the existing literature. With this method, each of the two coils is approximately a cluster of concentric circular loops in series, and the total mutual inductance is the superposition of the mutual inductance of these loops [,,,], where the helicity of the coils is ignored. This approximation is reasonable when the coils’ screw pitches are far less than the radii, due to the destruction of axial symmetry not being evident. However, with regard to high-frequency magnetic coupling resonance wireless power transmission coils with a large transmission distance, the screw pitches are often large, which reduces the distributed capacitor and improves the Q value []. For helical coils, or namely solenoids, [] figured out that helicity cannot be ignored at large pitch length, and mutual inductance between coaxial helical coils are presented analytically. Hence, the helicity of Archimedean spiral coils with large screw pitches should also be taken into account. However, unfortunately, there are few relevant studies on how helicity affects mutual inductance calculation results.
On the basis of Neumann’s formula [] and the equation of the Archimedean spiral [,], accurate expressions of mutual inductance of Archimedean spiral coils applicable to arbitrary pitches are derived in this paper, and the corresponding numerical calculation methods are chosen as well. The double integral expressions of mutual inductance of a couple of Archimedean spiral coils at different relative positions are achieved with helicity taken into consideration, and these expressions are numerically solved by the Gaussian integral. When the two coils are coaxial, the calculation results are verified by the finite element software ANSYS Maxwell 3D simulation and compared with the traditional circular coils approximation method. The influence of the two coils’ relative position on mutual inductance is studied, and this is explained by magnetic field distribution analysis of a single current-carrying Archimedean spiral coil. Finally, a couple of Archimedean spiral coils are fabricated, and the experimental result verify the correctness of the analysis.
The paper is arranged as follows: Section 2 proposes the accurate expression of mutual inductance of a couple of coaxial Archimedean spiral coils, solves this expression numerically, and compares it with the traditional method; Section 3 proposes the accurate expression of mutual inductance of a couple of Archimedean spiral coils with lateral misalignment and studies the influence of distance and lateral misalignment on mutual inductance; Section 4 proposes the accurate expression of mutual inductance of a couple of Archimedean spiral coils with arbitrary relative position and studies the influence of angular misalignment on mutual inductance; Section 5 depicts the magnetic field distribution of an Archimedean spiral coil to explain the influence of relative position on mutual inductance; and Section 6 is the experimental verification.
2. Mutual Inductance between a Couple of Coaxial Archimedean Spiral Coils
2.1. Accurate Expression of Mutual Inductance of Coaxial Archimedean Spiral Coil
The mutual inductance between any coils C1 and C2 can be expressed by Neumann’s formula [,]:
      
        
      
      
      
      
    
        where dl1 and dl2 represent tangential elements at either point on C1 and C2, and r is the distance between these two points.
Figure 1 shows an Archimedean spiral curve, whose polar coordinate equation is []:
      
        
      
      
      
      
    
        where s is the screw pitch. Suppose Ri and Ro are the inner and outer radius of the spiral, respectively, and s/(2π) = a, so Φi = Ri/a; Φo = Ro/a.
 
      
    
    Figure 1.
      An Archimedean spiral curve.
  
Under the rectangular coordinate system, the equation of the spiral containing the parameter φ is:
      
        
      
      
      
      
    
Therefore, at a point Q on the spiral, the tangential vector is:
      
        
      
      
      
      
    
        where i and j are unit vectors in the x and y direction, respectively.
A couple of coaxial Archimedean spiral coils C1, C2 are shown in Figure 2. The screw pitches of the spirals are s1 and s2, respectively, and the inner and outer radii are Ri1, Ro1, Ri2, and Ro2, respectively. The equations of C1 and C2 are as follows:
       
      
      
      
    
        where a1 = s1/(2π), a2 = s2/(2π), Φi1 = Ri1/a1, Φo1 = Ro1/a1, Φi2 = Ri2/a2, and Φo2 = Ro2/a2.
        ρ1 = a1φ1, Φi1 ≤ φ1 ≤ Φo1, z1 = 0;
ρ2 = a2φ2, Φi2 ≤ φ2 ≤ Φo2, z2 = h;
      ρ2 = a2φ2, Φi2 ≤ φ2 ≤ Φo2, z2 = h;
 
      
    
    Figure 2.
      Coaxial Archimedean spiral coils.
  
Q is taken arbitrarily from C1, and P is taken arbitrarily from C2. Expressing the rectangular coordinates with the cylindrical coordinates, the distance between the two points Q (ρ1cosφ1, ρ1sinφ1, 0) and P (ρ2cosφ2, ρ2sinφ2, h) is:
      
        
      
      
      
      
    
The tangential vector at points Q and P and their inner product are:
      
        
      
      
      
      
    
      
        
      
      
      
      
    
      
        
      
      
      
      
    
Substituting Equations (5) and (6) into Equation (1), the accurate expression of mutual inductance between coaxial Archimedean spiral coils can be obtained by:
      
        
      
      
      
      
    
2.2. Numerical Calculation and Verification of the Accurate Expression of Mutual Inductance and Its Comparison with the Traditional Mutual Inductance Calculation Method
2.2.1. Method Proposed in This Paper
Equation (7) in this paper is a double integral, so its integrand can not be represented by an elementary function. Thus, the composite integral method combined with Gaussian quadrature formula with four points [] is adopted to solve the double integrals numerically in the whole paper. As the integrand is a continuous function of the integral variables φ1 and φ2, the calculation precision of (7) can be increased through reducing the step length of the integral variables Δφ1 and Δφ2. The step length in this paper is set as π/16, to ensure that compared to the step size of π/32, the mutual inductance calculated in the following examples has the same first five or more significant digits. Thus, mutual inductance can be obtained for a couple of coaxial Archimedean spiral coils as shown in Figure 2 with known screw pitches, inner radii, and outer radii at different distances.
2.2.2. Conventional Circular Coils Approximation Method
In the traditional method, each planar spiral coil is approximate to a cluster of series-connected concentric circular coils. If the inner and outer radii of a spiral coil are Ri and Ro, respectively, there are N turns in the approximate cluster of concentric circular coils, so the radius of the innermost turn is Ri = Ro − (N − 1)s, and the radius of the jth turn is Ri + (j − 1)s, j = 1,2,…,N []. In this way, a couple of spiral coils as shown in Figure 2 is approximate to two clusters of concentric circular loops, and their number of turns are N1 and N2, respectively. The mutual inductance between such a couple of coils can be expressed as [,]:
      
        
      
      
      
      
    
          where i and j represent the ith and jth turn of the two coils, respectively. Mij is the mutual inductance between the ith approximate circular loop of C1 (radius R1i) and the jth approximate circular loop of C2 (radius R2j). Mij is calculated by Maxwell’s formula []:
      
        
      
      
      
      
    
          where , K(m), and E(m) are complete elliptic integrals of the first and second kind []. The complete elliptic integral in (9) is approximated by the series expansion method.
2.2.3. Verification of the Method Proposed in This Paper and Its Comparison with the Traditional Methods
Equation (7) is an exact expression expressed by a double integral, which is concise in form and convenient to use. However, the traditional method is an approximation approach, which needs to calculate the radius of each circle of these two clusters of concentric coils, then through series expansion calculation and finally double summation, mutual inductance can be obtained.
The calculation results of Equation (7) are verified by the 3D finite element method (FEM). Their differences with the traditional method can be compared through the specific examples below, and the influences of coil parameters on mutual inductance can be studied. For a couple of coaxial spiral coils with five turns each, the solution type of the 3D FEM model is chosen as “Magnetostatic”, the current is uniformly distributed on the coil’s cross section, the mesh is assigned as “length based”, and the maximum length of elements is set as the default value.
(a) Variation of the distance
Table 1 shows the mutual inductance calculation results at three different distances for a couple of coaxial spiral coils with outer radii Ro1 = Ro2 = 0.1 m and screw pitches s1 = s2 = 0.01 m. M3D stands for 3D FEM results; MS represents the results of Equation (7) and ES represents their errors relative to M3D; MT represents the results of the traditional circular coils approximation method and ET represents their errors relative to M3D.
 
       
    
    Table 1.
    Mutual inductance at different distances.
  
(b) Variation of the screw pitches
Table 2 shows the mutual inductance calculation results at three different screw pitches for a couple of coaxial spiral coils with Ro1 = Ro2 = 0.1 m and distances h = 0.02 m.
 
       
    
    Table 2.
    Mutual inductance at different screw pitches.
  
(c) Variation of the external radius
Table 3 shows mutual inductance calculation results at three different outer radii for a couple of coaxial spiral coils with h = 0.02 m and s1 = s2 = 0.01 m.
 
       
    
    Table 3.
    Mutual inductance at different external radii.
  
(a) The calculation results of Equation (7) in this paper are close to that from Maxwell 3D with little difference. The test shows that the larger the 3D region of the simulation setting is, the smaller the differences are, but the simulation time will be longer.
(b) The relative errors between the traditional circular coils approximation method and the 3D FEM results are obvious. For the traditional method, the error increases with distances when outer radii and screw pitches are fixed; the error increases with screw pitches when outer radii and distances are fixed; the error decreases with outer radii when distances and screw pitches are fixed.
(c) The mutual inductance decreases with distances at fixed outer radii and screw pitches, decreases with screw pitches at fixed outer radii and distances, and increases with outer radii at fixed distances and screw pitches.
In terms of computational efficiency, for the above example, the calculation time of the proposed method is in the level of 10−1 s, while the traditional method is in the level of 10−2 s. However, it takes more than 10 h to simulate a 3D model established by ANSYS Maxwell considering the helicity.
3. Mutual Inductance between a Couple of Archimedean Spiral Coils with Lateral Misalignment
3.1. Accurate Expression of Mutual Inductance between Archimedean Spiral Coils with Lateral Misalignment
The relative position relationship of a couple of Archimedean spiral coils with lateral misalignment and with a distance h is shown in Figure 3.
 
      
    
    Figure 3.
      Archimedean spiral coils with lateral misalignment.
  
C1 is in the plane xoy and its axis passes through the origin; C2 is in the plane z = h; d is the lateral misalignment, i.e., the distance between the axes of C1 and C2; O′′ is the projection of O′ on the xoy plane; and the angle between OO′′ and the x axis is α.
In this case, by adding the bases of the three terms in Equation (5) to the axial lateral shifting coordinate of C2 (dcosα, dsinα, 0) and replacing the denominator of the integrand in Equation (7), exact expression of mutual inductance between Archimedean spiral coils C1 and C2 with lateral misalignment can be obtained by:
      
        
      
      
      
      
    
If setting d = 0, Equation (10) will be simplified to Equation (7), i.e., Equation (7) is a special case of Equation (10).
3.2. The Influence of Distance and Lateral Misalignment on Mutual Inductance
The parameters of two parallel spiral coils C1 and C2 are given in Table 4. Equation (10) is solved numerically under different conditions.
 
       
    
    Table 4.
    Parameter of the spiral coils.
  
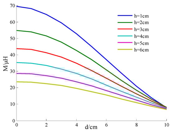
At a fixed distance h = 20 mm, the influence of lateral misalignment d and the azimuth angle α on mutual inductance M between the two spiral coils is shown in Figure 4.
 
      
    
    Figure 4.
      Influence of horizontal relative position on mutual inductance.
  
It can be seen that M decreases obviously with d, while α has little influence on M.
 
      
    
    Figure 5.
      Influence of distance and lateral misalignment on mutual inductance.
  
It can be seen that with the increase of h, M decreases, while the influence of d on M declines. Similarly, with the increase of d, M decreases, while the influence of h on M declines.
4. Mutual Inductance of Archimedean Spiral Coils with Arbitrary Relative Position
4.1. Mutual Inductance Expression of a Couple of Non-Parallel Archimedean Spiral Coils
The spatial position of a rigid body can be described by three translational degrees of freedom and three rotational degrees of freedom, and rotational degrees of freedom can be expressed by the Euler angle []. The Euler angle includes the precession angle, nutation angle, and spin angle. As can be seen from Figure 4, the precession angle and spin angle have little influence on the mutual inductance between spiral coils. Hence, only the case shown in Figure 6 needs to be studied: C1 is in the plane xoy and its axis passes through the origin, O′(x0,y0,z0) is the center of C2, the axis of C2 maintains parallel position to the plane xoz, and the nutation angle between its axis and the z axis is θ.
 
      
    
    Figure 6.
      A couple of non-parallel Archimedean spiral coils.
  
Under the rectangular coordinate system, the equation of C1 containing the parameter φ1 is:
      
      
      
    
       the equation of C2 containing the parameter φ2 is:
      
      
      
    
       thus:
      
        
      
      
      
      
    
        x1 = a1φ1cosφ1, y1 = a1φ1sinφ1, z1 = 0;
      
      
        x2 = x0 + a2φ2cosφ2cosθ, y2 = y0 + a2φ2sinφ2, z2 = z0 − a2φ2cosφ2sinθ,
      
      Combining Equation (1), the exact expression of mutual inductance in the case of Figure 6 can be obtained by:
      
        
      
      
      
      
    
If θ = 0, and (x0,y0,z0) in rectangular coordinates are expressed as (dcosα, dsinα, h) in cylindrical coordinates, Equation (12) will be simplified to Equation (10), i.e., Equations (7) and (10) are two special cases of Equation (12).
4.2. The Influence of Relative Rotational Angle on the Mutual Inductance of the Coils
The parameters of the two spiral coils C1 and C2 are given in Table 4. The values of x0, y0, z0, and θ are selected properly to ensure that the two spiral coils do not cross. Equation (12) is solved numerically under different conditions.
 
      
    
    Figure 7.
      Relationship between M and θ under different values of z0.
  
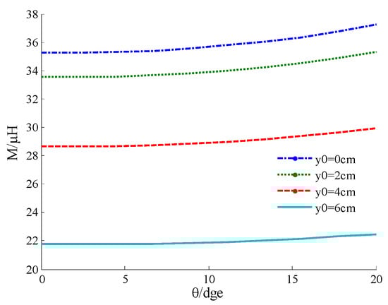
Taking x0 = 0 and z0 = 40 mm, the trend of M changing with θ at different values of y0 is shown in Figure 8.
 
      
    
    Figure 8.
      Relationship between M and θ under different values of y0.
  
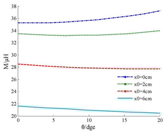
Taking y0 = 0 and z0 = 40 mm, the trend of M changing with θ at different values of x0 is shown in Figure 9.
 
      
    
    Figure 9.
      Relationship between M and θ under different values of x0.
  
5. Interpretation of the Relationship between Mutual Inductance and Relative Position of Archimedean Spiral Coils from the Perspective of Magnetic Field Distribution
In order to further explain the relationship between the relative position of a couple of Archimedean spiral coils and their mutual inductance, it is necessary to analyze the magnetic field spatial distribution of a single current-carrying Archimedean spiral coil. Let us assume that a spiral coil C1 carrying current I is located in the plane xoy and its axis is the z axis. The coordinate of the detecting point P is (x,y,z). According to the Biot–Savart law, the magnetic induction intensity at point P can be expressed as:
      
        
      
      
      
      
    
     where:
      
        
      
      
      
      
    
Each component of  can be expressed as:
      
        
      
      
      
      
    
      
        
      
      
      
      
    
      
        
      
      
      
      
    
It can be seen from Equations (14)–(16) that Bx(–z) = –Bx(z), By(–z) = –By(z), Bz(–z) = Bz(z), and Bx = By = 0 on the plane xoy where the spiral coil is located. This indicates that the magnetic field distribution has symmetry with respect to the plane xoy.
The parameters of C1 are given in Table 4, which carries the current of 6A. The contour map of Bz on the plane y = 0 is drawn according to the numerical calculation of Equation (16), as shown in Figure 10.
 
      
    
    Figure 10.
      Bz distribution on the y = 0 plane.
  
 
      
    
    Figure 11.
      Bz distribution on the z = 2 plane.
  
The influence of relative position on the mutual inductance of a couple of parallel Archimedean spiral coils in Figure 4 and Figure 5 can be explained by Figure 10 and Figure 11. The farther away the two coils are, the weaker the magnetic field is, and thus the smaller the mutual inductance will be. The distribution of Bz in Figure 11 is almost axial symmetric, hence α has little influence on M in Figure 4.
The distribution of the tangential magnetic field  module (contour map) and direction (arrow) on the plane y = 0 is shown in Figure 12.
 
      
    
    Figure 12.
      Module and direction distribution of the tangential magnetic field on the y = 0 plane.
  
Supposing that above the coil C1, there is another coil C2 with a fixed center O′ and tilted axis as shown in Figure 6, when the axis of C2 is parallel to the plane xoz and its tilt angle θ is small, Figure 7, Figure 8 and Figure 9 can be explained as follows:
When O′ is on the z axis (as shown in Figure 7) or directly above the y axis (as shown in Figure 8), it can be seen by combining Figure 6 with Figure 12 that the magnetic flux of the lower part of C2 increases with θ due to the normal magnetic field increases, yet the flux of the upper part decreases with θ. As the lower part of C2 is closer to C1, it has a greater contribution to the flux than the upper part, i.e., the mutual inductance between C1 and C2 increases with θ.
For the case that O′ is directly above the x axis as shown in Figure 9, while x0 is smaller, similar to the case in Figure 7 when O′ is on the z axis, M increases with θ; however, while x0 is larger, as the upper part of C2 is closer to C1, its contribution to the flux is greater than the lower part, and M decreases with θ.
6. Experimental Verification
In order to verify the correctness of the mutual inductance calculation method proposed in this paper, a couple of Archimedean spiral coils C1 and C2 (their parameters are shown in Table 4) were fabricated with Litz wire (the diameter of each strand of wire was 0.1 mm, so the skin effect could be ignored under the testing frequency of 100 kHz), as shown in Figure 13.
 
      
    
    Figure 13.
      Archimedean spiral coils sample.
  
These two spiral coils were fixed on the square insulating hardboard, and the lateral misalignment d, i.e., the distance between the axes of the two parallel coils could be adjusted conveniently by the scales on the insulating board. The distance h between two parallel coils could also be conveniently adjusted by placing a hard insulating block of known thickness between the two insulating hardboards (considering the thickness of the coils, h started from the horizontal cross-section of each coil). The method for measuring mutual inductance was as follows: First measure the inductance values when the two coils are in the same directional series and in reverse directional series, respectively, then subtract the two values and divide them by 4 []. The measuring instrument was a type 3250 transformer tester produced by Chroma, and the testing frequency was selected as 100 kHz.
First, the mutual inductance of the two spiral coils in Figure 13 was measured in parallel state, under conditions of different d and h, and compared with the mutual inductance calculated by Equation (10), the results were sorted out as shown in Figure 14.
 
      
    
    Figure 14.
      Comparison of mutual inductance measurement results and calculation results of a couple of spiral coils with lateral misalignment.
  
The calculation results in Figure 14 are equivalent to that in Figure 7 (observing some special points with the same h and d). As can be seen from Figure 14, similar to the simulation results in Table 1, the relative error between the measurement result and the calculation result increased with h.
Then, a wedge with a 20° angle of gradient was machined using easy cutting insulation materials such as hard foam, C1 and θ = 20° were fixed according to Figure 6, and x0, y0, z0 were adjusted.
Taking x0 = y0 = 0, the mutual inductance measurement results and calculation results according to Equation (12) at different values of z0 are listed in Table 5.
 
       
    
    Table 5.
    Mutual inductance when θ = 20° and x0 = y0 = 0.
  
Taking y0 = 0, z0 = 40 mm, the mutual inductance measurement results and calculation results according to Equation (12) at different values of x0 are listed in Table 6.
 
       
    
    Table 6.
    Mutual inductance when θ = 20°, y0 = 0, and z0 = 40 mm.
  
Taking x0 = 0, z0 = 40 mm, the mutual inductance measurement results and calculation results according to Equation (12) at different values of y0 are listed in Table 7.
 
       
    
    Table 7.
    Mutual inductance when θ = 20°, x0 = 0, and z0 = 40 mm.
  
7. Conclusions
Aiming at improving the calculation accuracy of the mutual inductance of Archimedean spiral coils, this paper proposed accurate expressions of mutual inductance that considered the helicity of the coils and corresponding numerical calculation methods. The expressions of mutual inductance when the two coils are in different relative positions were given in the form of a double integral, and Gaussian integral method was used to solve these expressions numerically. For the coaxial case, 3D FEM results were taken as reference values, and the proposed method was compared with the traditional method. The simulation results showed that the traditional method without considering the helicity of the coils had a larger error, especially when the pitches were wider. The influence of the relative position of the two coils on mutual inductance was also studied and explained by magnetic field distribution. Finally, a couple of Archimedean spiral coils were fabricated to verify the theoretical formula. The experimental results showed that the relative error of the mutual inductance calculation method proposed in this paper was within 3 %, which confirms the correctness of the theoretical formula.
Author Contributions
S.L. proposed the theoretical models and conducted the experiment, J.S. and J.L. provided guidance.
Funding
This research was funded by the national key research and development program funding of China, grant number: 2017YFB0903503.
Conflicts of Interest
The authors declare no conflict of interest.
References
- Nguyen, M.Q.; Hughes, Z.; Woods, P.; Seo, Y.S.; Rao, S.; Chiao, J.C. Field Distribution Models of Spiral Coil for Misalignment Analysis in Wireless Power Transfer Systems. IEEE Trans. Microw. Theory Tech. 2014, 62, 920–930. [Google Scholar] [CrossRef]
- Raju, S.; Wu, R.; Chan, M.; Yue, C.P. Modeling of Mutual Coupling Between Planar Inductors in Wireless Power Applications. IEEE Trans. Power Electron. 2014, 29, 481–490. [Google Scholar] [CrossRef]
- Hurley, W.G.; Duffy, M.C. Calculation of Self and Mutual Impedances in Planar Magnetic structures. IEEE Trans. Magn. 1995, 31, 2416–2422. [Google Scholar] [CrossRef]
- Rana, M.; Xiang, W. IoT Communications Network for Wireless Power Transfer System State Estimation and Stabilization. IEEE Internet Things J. 2018, 5, 4142–4150. [Google Scholar] [CrossRef]
- Rana, M.; Xiang, W.; Wang, E.; Li, X.; Choi, B.J. Internet of Things Infrastructure for Wireless Power Transfer Systems. IEEE Access 2018, 6, 19295–19303. [Google Scholar] [CrossRef]
- Maxwell, J.C. A Treatise on Electricity and Magnetism; Oxford Clarendon Press: Oxford, UK, 1873. [Google Scholar]
- Good, R.H. Elliptic integrals, the forgotten functions. Eur. J. Phys. 2001, 22, 119–126. [Google Scholar] [CrossRef]
- Kalantarov, P.L. Inductance Calculations; National Power Press: Moscow, Russia, 1955. [Google Scholar]
- Ramo, S.; Whinnery, J.R.; Duzer, T.V. Fields and Waves in Communication Electronics; John Wiley & Sons Inc.: Hoboken, NJ, USA, 1994. [Google Scholar]
- Havelock, T.H. On Certain Bessel Integrals and the Coefficients of Mutual Induction of Coaxial Coils. Lond. Edinb. Dublin Philos. Mag. J. Sci. 1908, 15, 332–345. [Google Scholar] [CrossRef]
- Babic, S.I.; Sirois, F.; Akyel, C. Validity Check of Mutual Inductance Formulas for Circular Filaments with Lateral and Angular Misalignments. Prog. Electromagn. Res. 2009, 8, 15–26. [Google Scholar] [CrossRef]
- Babic, S.; Sirois, F.; Akyel, C.; Girardi, C. Mutual Inductance Calculation Between Circular Filaments Arbitrarily Positioned in Space: Alternative to Grover’s Formula. IEEE Trans. Magn. 2010, 46, 3591–3600. [Google Scholar] [CrossRef]
- Lockwood, E.H. A Book of Curves; Cambridge University Press: Cambridge, MA, USA, 2007. [Google Scholar]
- Khan, S.R.; Pavuluri, S.K.; Desmulliez, M.P.Y. Accurate Modeling of Coil Inductance for Near-Field Wireless Power Transfer. IEEE Trans. Microw. Theory Tech. 2018, 66, 4158–4169. [Google Scholar] [CrossRef]
- Luo, Z.; Wei, X. Analysis of Square and Circular Planar Spiral Coils in Wireless Power Transfer System for Electric Vehicles. IEEE Trans. Ind. Electron. 2018, 65, 331–341. [Google Scholar] [CrossRef]
- Raju, S.; Wu, R.; Chan, M. Modeling of Mutual Inductance for Planar Inductors Used in Inductive Link Applications. In Proceedings of the 2012 IEEE International Conference on Electron Devices and Solid State Circuit (EDSSC 2012), Bangkok, Thailand, 3–5 December 2012; pp. 1–2. [Google Scholar]
- Zierhofer, C.M.; Hochmair, E.S. Geometric approach for coupling enhancement of magnetically coupled coils. IEEE Trans. Biomed. Eng. 1996, 43, 708–714. [Google Scholar] [CrossRef] [PubMed]
- Covic, G.A.; Boys, J.T. Modern Trends in Inductive Power Transfer for Transportation Applications. IEEE J. Emerg. Sel. Top. Power Electron. 2013, 1, 28–41. [Google Scholar] [CrossRef]
- Zhou, X.; Chen, B.; Luo, Y.; Zhu, R. Analytical Calculation of Mutual Inductance of Finite-Length Coaxial Helical Filaments and Tape Coils. Energies 2019, 12, 566. [Google Scholar] [CrossRef]
- Jacques, I.; Judd, C. Numerical Analysis; Chapman and Hall: London, UK, 2011. [Google Scholar]
- Mondal, C.R. Classical Mechanics; Phi Learning Pvt Ltd.: New Delhi, India, 2008. [Google Scholar]
- Su, Y.P.; Liu, X.; Ronhui, S.Y. Mutual Inductance Calculation of Movable Planar Coils on Parallel Surfaces. IEEE Trans. Power Electron. 2009, 24, 1115–1124. [Google Scholar] [CrossRef]
© 2019 by the authors. Licensee MDPI, Basel, Switzerland. This article is an open access article distributed under the terms and conditions of the Creative Commons Attribution (CC BY) license (http://creativecommons.org/licenses/by/4.0/).
