Response-Based Assessment of Operational Limits for Mating Blades on Monopile-Type Offshore Wind Turbines
Abstract
1. Introduction
2. Wind-Turbine Blade-Mating Process
2.1. Procedure
2.2. Critical Event and Limiting Response Parameter
3. Methodology
4. Modelling of Installation System
4.1. Preassembled Monopile Sub-System
4.2. Single Blade-Lift Sub-System
5. Environmental Conditions
6. Results and Discussion
6.1. Hub Motions
6.2. Blade-Root Motions
6.3. Impact Velocities between Root and Hub
6.4. Extreme Value Analysis of Limiting Response Parameter
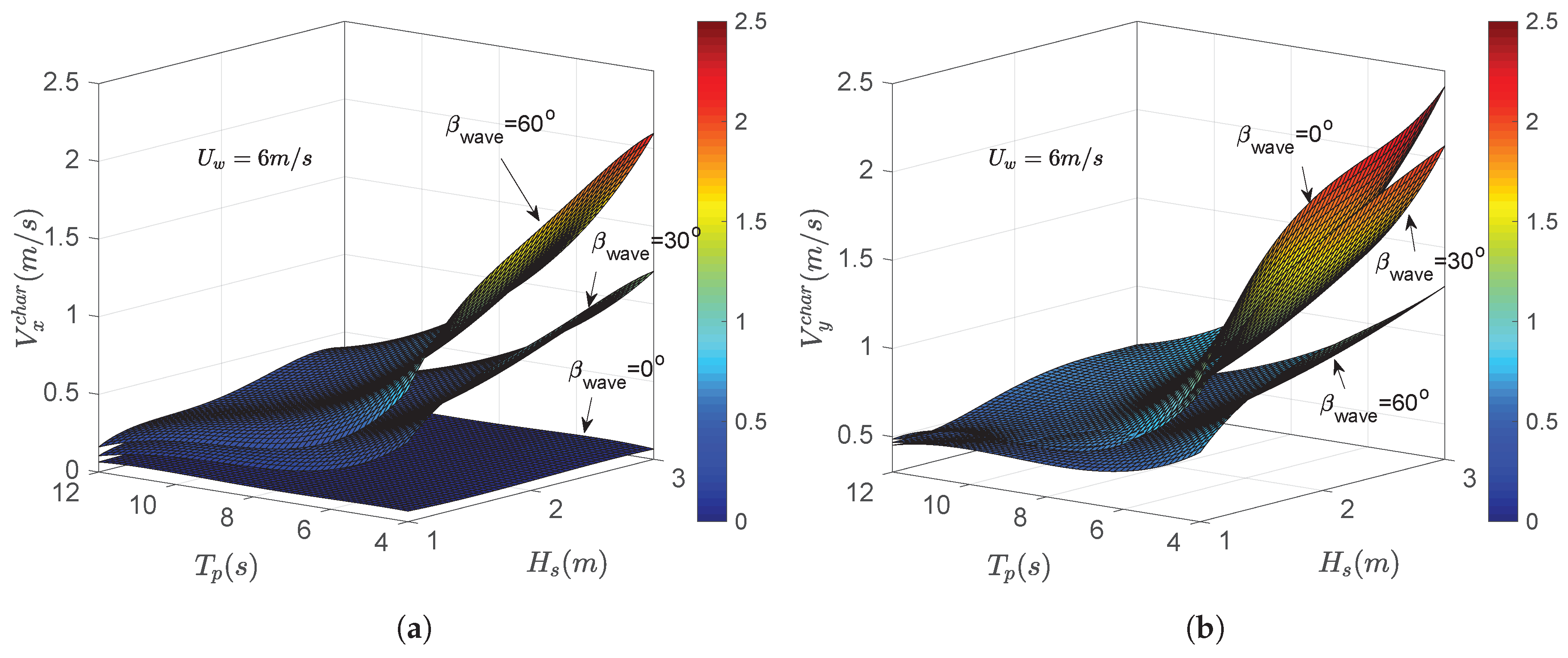
6.5. Characteristic Extreme Responses and Determination of Limiting Sea States
7. Conclusions
8. Limitations and Future Work
Author Contributions
Funding
Acknowledgments
Conflicts of Interest
Abbreviations
| A | Acceptable sea state representing safe domain for the mating task | 
| CDF | Cumulative Distribution Function | 
| CFD | Computational Fluid Dynamics | 
| DNV-GL | Det Norske Veritas-Germanischer Lloyd | 
| DTU | Technical University of Denmark | 
| EC | Environmental Cases | 
| FEM | Finite Element Method | 
| FFT | Fast Fourier Transformation | 
| GW | Gigawatt | 
| HAWC2 | Horizontal Axis Wind-Turbine Simulation Code 2nd generation | 
| Hz | Hertz | 
| MW | Megawatt | 
| NA | Not Acceptable sea state representing unsafe domain for the mating task | 
| NREL | National Renewable Energy Laboratory | 
| OWT | Offshore Wind-Turbine | 
| OWTs | Offshore Wind Turbines | 
| Probability Density Function | |
| QRAs | Qualitative Risk Analyses | 
| RMSE | Root Mean Square Error | 
| RSM | Response Surface Method | 
| SFI MOVE | Centre for Research-based Innovation of Marine Operations | 
| SIMO | Simulation of Marine Operation- time-domain simulation program | 
| STD | Standard Deviation | 
| 2D | Two-dimensional | 
Nomenclature
| Significant wave height (m) | |
| Wave spectral peak period (s) | |
| Mean wind speed (m/s) | |
| Direction of mean wind speed (degree) | |
| Degree of wind–wave misalignment (degree) | |
| , , | Earth fixed global coordinate system used in HAWC2 simulations | 
| Impact velocity in side-side direction (head-on impact)-(m/s) | |
| Impact velocity in fore-aft direction (sideways impact)-(m/s) | |
| Allowable impact velocity in side-side direction (head-on impact)-(m/s) | |
| Allowable impact velocity in fore-aft direction (sideways impact)-(m/s) | |
| Failure index in the transverse normal tensile stress | |
| Extreme value distribution in side-side direction | |
| Extreme value distribution in fore-aft direction | |
| Characteristic impact velocity in side-side direction-(m/s) | |
| Characteristic impact velocity in fore-aft direction-(m/s) | |
| x | Given a sea state consisting of a particular combination of , , , | 
| X | A set of load cases for which time-domain analysis of marine operation is performed | 
| curves | Pile–soil interaction curve representing lateral stiffness | 
| Probability density function of mean wind speed | |
| Displacement of hub-center in side-side direction (m) | |
| Displacement of hub-center in fore-aft direction (m) | |
| Location parameter of Gumbel distribution | |
| Shape parameter of Gumbel distribution | |
| Location parameter of impact velocity in fore-aft direction for Gumbel distribution | |
| Shape parameter of impact velocity in fore-aft direction for Gumbel distribution | |
| Null hypothesis for hypothesis testing | 
References
- Acero, W.I.G. Assessment of Marine Operations for Offshore Wind Turbine Installation with Emphasis on Response-Based Operational Limits. Ph.D. Thesis, Norwegian University of Science and Technology (NTNU), Trondheim, Norway, 2016. [Google Scholar]
- Renewable Power Generation Costs in 2017—IRENA. Available online: https://www.irena.org/-/media/Files/IRENA/Agency/Publication/2018/Jan/IRENA_2017_Power_Costs_2018.pdf (accessed on 1 March 2019).
- Nghiem, A.; Pineda, I. Wind Energy in Europe: Scenarios for 2030; Wind Europe: Brussels, Belgium, 2017. [Google Scholar]
- Wind Europe. The European Offshore Wind Industry–Key Trends and Statistics 2017; Technical Report; Wind Europe: Brussels, Belgium, 2017. [Google Scholar]
- Ahn, D.; Shin, S.C.; Kim, S.Y.; Kharoufi, H.; Kim, H.C. Comparative evaluation of different offshore wind turbine installation vessels for Korean west–south wind farm. Int. J. Naval Archit. Ocean Eng. 2017, 9, 45–54. [Google Scholar] [CrossRef]
- Verma, A.S.; Vedvik, N.P.; Gao, Z. A comprehensive numerical investigation of the impact behaviour of an offshore wind turbine blade due to impact loads during installation. Ocean Eng. 2019, 172, 127–145. [Google Scholar] [CrossRef]
- Picture. Available online: https://www.ntnu.edu/move/presentationFredOlsen (accessed on 10 March 2019).
- Acero, W.G.; Gao, Z.; Moan, T. Methodology for assessment of the allowable sea states during installation of an offshore wind turbine transition piece structure onto a monopile foundation. J. Offshore Mech. Arct. Eng. 2017, 139, 061901. [Google Scholar] [CrossRef]
- Gao, Z.; Guachamin Acero, W.; Li, L.; Zhao, Y.; Li, C.; Moan, T. Numerical simulation of marine operations and prediction of operability using response-based criteria with an application to installation of offshore wind turbine support structures. In Proceedings of the Third Marine Operations Specialty Symposium (MOSS2016), Singapore, 20–21 September 2016; pp. 20–21. [Google Scholar]
- Gintautas, T.; Sørensen, J.D.; Vatne, S.R. Towards a risk-based decision support for offshore wind turbine installation and operation & maintenance. Energy Procedia 2016, 94, 207–217. [Google Scholar]
- DNVGL Standard DNVGL-ST-N001, Marine Operations and Marine Warranty; DNVGL: Hovik, Norway, 2016.
- Hopstad, A.L.H.; Ronold, K.O.; Argyriadis, K. Revision of DNV GL Design Standard for Floating Wind Turbine Structures. In Proceedings of the ASME 2017 36th International Conference on Ocean, Offshore and Arctic Engineering, Trondheim, Norway, 25–30 June 2017; p. V009T12A002. [Google Scholar]
- DNV. Recommended Practice DNV-RP-H103, Modelling and Analysis of Marine Operations; DNVGL: Hovik, Norway, 2014. [Google Scholar]
- Clauss, G.; Riekert, T. Operational limitations of offshore crane vessels. In Proceedings of the Offshore Technology Conference, Houston, TX, USA, 7–10 May 1990. [Google Scholar]
- Clauss, G.; Saroukh, A.; Weede, H. Prediction of limiting seastates for pipelaying operation. In Proceedings of the 17th International Conference on Offshore Mechanics and Arctic Engineering, Lisbon, Portugal, 5–9 July 1998; p. 11. [Google Scholar]
- Morandi, A. Marine Warranty Survey for Jack-Ups. Encycl. Marit. Offshore Eng. 2017, 1–12. [Google Scholar] [CrossRef]
- Ringsberg, J.W.; Daun, V.; Olsson, F. Analysis of impact loads on a self-elevating unit during jacking operation. In Proceedings of the ASME 2015 34th International Conference on Ocean, Offshore and Arctic Engineering, St. John’s, NL, Canada, 31 May–5 June 2015; p. V003T02A096. [Google Scholar]
- Cozijn, J.; van der Wal, R.; Dunlop, C. Model Testing and Complex Numerical Simulations for Offshore Installation. In Proceedings of the Eighteenth International Offshore and Polar Engineering Conference, Vancouver, BC, Canada, 6–11 July 2008. [Google Scholar]
- Verma, A.S.; Jiang, Z.; Vedvik, N.P.; Gao, Z.; Ren, Z. Impact assessment of a wind turbine blade root during an offshore mating process. Eng. Struct. 2019, 180, 205–222. [Google Scholar] [CrossRef]
- Li, L.; Acero, W.G.; Gao, Z.; Moan, T. Assessment of allowable sea states during installation of offshore wind turbine monopiles with shallow penetration in the seabed. J. Offshore Mech. Arct. Eng. 2016, 138, 041902. [Google Scholar] [CrossRef]
- MARINTEK. SIMO-Theory Manual Version 4.6; MARINTEK: Trondheim, Norway, 2015. [Google Scholar]
- ANSYS, Inc. AQWA Theory Manual; ANSYS, Inc.: Canonsburg, PA, USA, 2013. [Google Scholar]
- Graczyk, M.; Sandvik, P.C. Study of landing and lift-off operation for wind turbine components on a ship deck. In Proceedings of the ASME 2012 31st International Conference on Ocean, Offshore and Arctic Engineering, Rio de Janeiro, Brazil, 1–6 July 2012; pp. 677–686. [Google Scholar]
- Jiang, Z.; Gao, Z.; Ren, Z.; Li, Y.; Lei, D. A parametric study on the blade final installation process for monopile wind turbines under rough environmental conditions. Eng. Struct. 2018, 172, 1042–1056. [Google Scholar] [CrossRef]
- Van Buren, E.; (Fred. Olsen Windcarrier, Oslo, Norway). Personal communication, 2018.
- Verma, A.S.; Gao, Z.; Jiang, Z.; Zhengru, R.; Vedvik, N.P. Structural dafety assessment of marine operations from a long term perspective: A case study of offshore wind turbine blade installation (Accepted). In Proceedings of the 38th International Conference on Ocean, Offshore and Arctic Engineering OMAE, Glasgow, UK, 9–14 June 2019. [Google Scholar]
- Verma, A.S.; Jiang, Z.; Gao, Z.; Vedvik, N.P. Effects of passive tuned mass damper on blade root impacts during offshore mating process. Mar. Struct. 2019. under review. [Google Scholar]
- Picture. Available online: http://www.siemens.co.uk/en/news_press/index/news_archive/2013/first-turbine-installed-at-gwynt-y-mor.htm (accessed on 23 March 2019).
- Picture Adapted. Available online: https://www.power-eng.com/articles/2016/10/siemens-receives-order-for-44-mw-onshore-wind-power-plant-in-croatia.html (accessed on 23 March 2019).
- Jiang, Z. The impact of a passive tuned mass damper on offshore single-blade installation. J. Wind Eng. Ind. Aerodyn. 2018, 176, 65–77. [Google Scholar] [CrossRef]
- Habali, S.; Saleh, I. Local design, testing and manufacturing of small mixed airfoil wind turbine blades of glass fiber reinforced plastics: Part I: Design of the blade and root. Energy Convers. Manag. 2000, 41, 249–280. [Google Scholar] [CrossRef]
- Larsen, T.J.; Hansen, A.M. How 2 HAWC2, the User’s Manual; Technical report; Risø National Laboratory: Roskilde, Denmark, 2007. [Google Scholar]
- Jonkman, J.; Butterfield, S.; Musial, W.; Scott, G. Definition of a 5-MW Reference Wind Turbine for Offshore System Development; Technical Report No. NREL/TP-500-38060; National Renewable Energy Laboratory: Golden, CO, USA, 2009. [Google Scholar]
- Ren, Z.; Jiang, Z.; Skjetne, R.; Gao, Z. Development and application of a simulator for offshore wind turbine blades installation. Ocean Eng. 2018, 166, 380–395. [Google Scholar] [CrossRef]
- Ren, Z.; Skjetne, R.; Jiang, Z.; Gao, Z.; Verma, A.S. Integrated GNSS/IMU hub motion estimator for offshore wind turbine blade installation. Mech. Syst. Signal Process. 2019, 123, 222–243. [Google Scholar] [CrossRef]
- Wang, W.; Bai, Y. Investigation on installation of offshore wind turbines. J. Mar. Sci. Appl. 2010, 9, 175–180. [Google Scholar] [CrossRef]
- Gaunaa, M.; Bergami, L.; Guntur, S.; Zahle, F. First-order aerodynamic and aeroelastic behavior of a single-blade installation setup. J. Phys. Conf. Ser. 2014, 524, 012073. [Google Scholar] [CrossRef]
- Gaunaa, M.; Heinz, J.; Skrzypiński, W. Toward an engineering model for the aerodynamic forces acting on wind turbine blades in quasisteady standstill and blade installation situations. J. Phys. Conf. Ser. 2016, 753, 022007. [Google Scholar] [CrossRef]
- Bak, C.; Zahle, F.; Bitsche, R.; Kim, T.; Yde, A.; Henriksen, L.C.; Hansen, M.H.; Natarajan, A. Description of the DTU 10 MW Reference Wind Turbine; Progress Report Report-I-0092; DTU Wind Energy: Roskilde, Denmark, 2013. [Google Scholar]
- Kuijken, L. Single Blade Installation for Large Wind Turbines in Extreme Wind Conditions. Master’s Thesis, Technical University of Denmark, Lyngby, Denmark, 2015. [Google Scholar]
- Zhao, Y.; Cheng, Z.; Sandvik, P.C.; Gao, Z.; Moan, T. An integrated dynamic analysis method for simulating installation of a single blade for offshore wind turbines. Ocean Eng. 2017, 152, 72–88. [Google Scholar] [CrossRef]
- Verma, A.S.; Jiang, Z.; Ren, Z.; Gao, Z.; Vedvik, N.P. Effects of wind-wave misalignment on a wind turbine blade mating process. J. Mar. Sci. Appl. 2019. under review. [Google Scholar]
- Ketele, S. Detailed Modeling of Connections in Large Composite Wind Turbine Blades. Master’s Thesis, Universiteit Gent, Welkom, South Africa, 2013. [Google Scholar]
- MARINTEK. SIMO-User Manual Version 4.4.1; MARINTEK: Trondheim, Norway, 2015. [Google Scholar]
- Ren, Z.; Skjetne, R.; Gao, Z. A Crane Overload Protection Controller for Blade Lifting Operation Based on Model Predictive Control. Energies 2019, 12, 50. [Google Scholar] [CrossRef]
- Hibbitt, H.; Karlsson, B.; Sorensen, P. Abaqus Analysis User’s Manual Version 2016; Dassault Systèmes Simulia Corp.: Providence, RI, USA, 2016. [Google Scholar]
- Bhashyam, G.R. ANSYS Mechanical—A Powerful Nonlinear Simulation Tool; Ansys, Inc.: Canonsburg, PA, USA, 2002; Volume 1, p. 39. [Google Scholar]
- Morison, J.; Johnson, J.; Schaaf, S. The force exerted by surface waves on piles. J. Pet. Technol. 1950, 2, 149–154. [Google Scholar] [CrossRef]
- Velarde, J. Design of Monopile Foundations to Support the DTU 10 MW Offshore Wind Turbine. Master’s Thesis, Norwegian University of Science and Technology (NTNU), Trondheim, Norway, 2016. [Google Scholar]
- Shirzadeh, R.; Devriendt, C.; Bidakhvidi, M.A.; Guillaume, P. Experimental and computational damping estimation of an offshore wind turbine on a monopile foundation. J. Wind Eng. Ind. Aerodyn. 2013, 120, 96–106. [Google Scholar] [CrossRef]
- Shirzadeh, R.; Weijtjens, W.; Guillaume, P.; Devriendt, C. The dynamics of an offshore wind turbine in parked conditions: A comparison between simulations and measurements. Wind Energy 2015, 18, 1685–1702. [Google Scholar] [CrossRef]
- Mann, J. The spatial structure of neutral atmospheric surface-layer turbulence. J. Fluid Mech. 1994, 273, 141–168. [Google Scholar] [CrossRef]
- Li, L.; Gao, Z.; Moan, T. Joint distribution of environmental condition at five European offshore sites for design of combined wind and wave energy devices. J. Offshore Mech. Arct. Eng. 2015, 137, 031901. [Google Scholar] [CrossRef]
- Montgomery, D.C. Design and Analysis of Experiments; John Wiley & Sons: Hoboken, NJ, USA, 2017. [Google Scholar]
- DNVGL. DNV-OS-H205–Lifting Operations Part 2-5; Offshore Standard; DNVGL: Hovik, Norway, 2014. [Google Scholar]

















| Parameter | Notation | Value | 
|---|---|---|
| Diameter of monopile (m) | 9 | |
| Monopile penetration depth (m) | 45 | |
| Water depth (m) | 30 | |
| Natural period of first-fore aft mode (s) | 4.2 | |
| Damping ratio of first-fore aft mode | 1% | |
| Blade mass (ton) | 41.7 | |
| Blade length (m) | 86.4 | |
| Blade-root diameter (m) | 3.54 | |
| Yoke weight (ton) | 50 | |
| Tugger line length (m) | 10 | |
| 1st rotational mode of blade about y-axis (Hz) | 0.08 | 
| EC | (m) | (s) | (m/s) | |
|---|---|---|---|---|
| 1 | 0° | 1, 1.5, …, 3.0 | 4, 6, …, 12 | 6, 8, 10, 12, 14 | 
| 2 | 30° | 1, 1.5, …, 3.0 | 4, 6, …, 12 | 6, 8, 10, 12, 14 | 
| 3 | 60° | 1, 1.5, …, 3.0 | 4, 6, …, 12 | 6, 8, 10, 12, 14 | 
© 2019 by the authors. Licensee MDPI, Basel, Switzerland. This article is an open access article distributed under the terms and conditions of the Creative Commons Attribution (CC BY) license (http://creativecommons.org/licenses/by/4.0/).
Share and Cite
Verma, A.S.; Jiang, Z.; Ren, Z.; Gao, Z.; Vedvik, N.P. Response-Based Assessment of Operational Limits for Mating Blades on Monopile-Type Offshore Wind Turbines. Energies 2019, 12, 1867. https://doi.org/10.3390/en12101867
Verma AS, Jiang Z, Ren Z, Gao Z, Vedvik NP. Response-Based Assessment of Operational Limits for Mating Blades on Monopile-Type Offshore Wind Turbines. Energies. 2019; 12(10):1867. https://doi.org/10.3390/en12101867
Chicago/Turabian StyleVerma, Amrit Shankar, Zhiyu Jiang, Zhengru Ren, Zhen Gao, and Nils Petter Vedvik. 2019. "Response-Based Assessment of Operational Limits for Mating Blades on Monopile-Type Offshore Wind Turbines" Energies 12, no. 10: 1867. https://doi.org/10.3390/en12101867
APA StyleVerma, A. S., Jiang, Z., Ren, Z., Gao, Z., & Vedvik, N. P. (2019). Response-Based Assessment of Operational Limits for Mating Blades on Monopile-Type Offshore Wind Turbines. Energies, 12(10), 1867. https://doi.org/10.3390/en12101867
 
        



 
       