Microgrid Spinning Reserve Optimization with Improved Information Gap Decision Theory
Abstract
1. Introduction
- (1)
- This paper is the first to consider the renewable energy penetration rate as an index when optimizing the MAoSU. Additionally, the relationship between the system operational cost and renewable energy penetration rate is discussed in detail as well.
- (2)
- An improved IGDT-based optimization method is implemented to optimize the system spinning reserve capacity; this method has significant superiority for systems with a high degree of uncertainty and systems that lack historical empirical data.
- (3)
- System off-grid operation (i.e., island mode) is mainly studied in this paper, and the success rate of system off-grid operation is defined as a key index to evaluate system reliability.
2. Classical Spinning Reserve Optimization
2.1. Objective Functions
2.2. Constraints
2.2.1. Constraints of Distributed Generators
2.2.2. Constraints of the Energy Storage System
2.2.3. Constraints of the Interruptible Loads
2.2.4. Constraints of Power Balance
2.2.5. Island Constraints
3. The IGDT-Based Robust Optimization
3.1. The Concept of IGDT
3.2. The IGDT-Based Spinning Reserve Optimization Model
4. Case Study
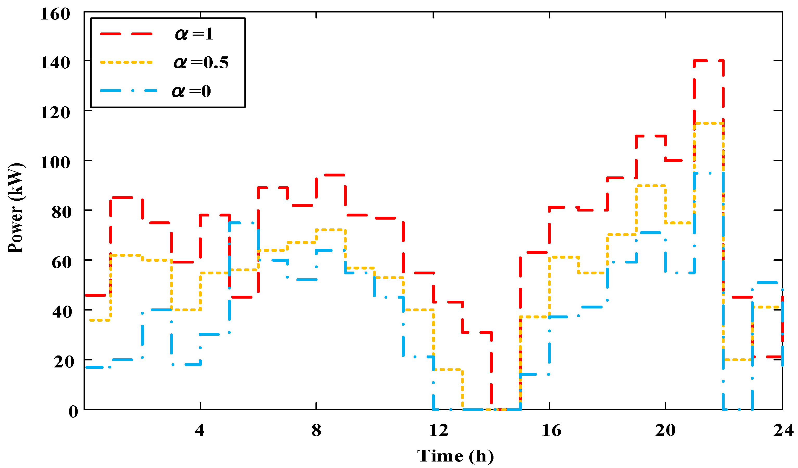
5. Results and Discussions
5.1. The Relationship between α and δ for Different Renewable Energy Penetration Rates
5.2. System Optimal Operation Analysis for Different Maximum Allowance of System Uncertainties
5.3. System Robustness Validation for Different MAoSU
6. Conclusions
- (1)
- In order to improve the robustness of a distributed system, decision-makers need to increase the operational cost to compensate for system uncertainty. The percentage increase of the operational cost is in proportional to the MAoSU and the renewable energy penetration rate of the system.
- (2)
- With the increase of the MAoSU, the system needs to equip more spinning reserve capacity to maintain system reliability operation. However, at the same time, the equipped up-spinning reserve capacity is always inversely proportional to the down-spinning reserve capacity. Additionally, for a given system, the outputs of fossil generators are determined by the renewable energy generation and local demands.
- (3)
- With the decrease of the MAoSU, the success rate of system off-grid operation decreases sharply, especially when α is less than 0.5. This is because with the decrease of the MAoSU, less spinning reserve capacity will be equipped to maintain system reliability operation.
Author Contributions
Funding
Conflicts of Interest
Abbreviation
| Nomenclature | Meaning |
| CTotal | Total operational cost of the distributed system |
| CDG | Operational cost of distributed generators |
| CI/E | Energy cost of importing/exporting electricity from the main grid |
| CSR | System spinning reserve cost |
| T | Number of scheduling time periods |
| Ni | Number of distributed generators |
| CF,i(t) | Fuel cost of the ith distributed generator at time t |
| COM,i(t) | Operational and maintenance costs of the ith distributed generator at time t |
| CP(t) | Cost of purchasing electricity from the main grid at time t |
| CS(t) | Cost of selling electricity to the main grid at time t |
| EG(t) | Total electricity importing from/exporting to the main grid at time t |
| CSR,DG | Spinning reserve cost of distributed generators |
| CSR,B | Spinning reserve cost of a battery system |
| CSR,IL | Spinning reserve cost of interruptible loads |
| Nn | Number of interruptible loads |
| Ki,U | Up-spinning reserve cost coefficient of the ith distributed generator |
| Ki,D | Down-spinning reserve cost coefficient of the ith distributed generator |
| KBU | Up-spinning reserve cost coefficient of a battery system |
| KBD | Down-spinning reserve cost coefficient of a battery system |
| Kn,U | Up-spinning reserve cost coefficient of the nth interruptible load |
| Ri,U(t) | Up-spinning reserve capacity of the ith distributed generator at time t |
| Ri,D(t) | Down-spinning reserve capacity of the ith distributed generator at time t |
| RBU(t) | Up-spinning reserve capacity of a battery system at time t |
| RBD(t) | Down-spinning reserve capacity of a battery system at time t |
| Rn,U(t) | Up-spinning reserve capacity of the nth interruptible load at time t |
| Pi,min | Minimum output power of the ith distributed generator |
| Pi,max | Minimum output power of the ith distributed generator |
| Pi(t) | Output power of the ith distributed generator at time t |
| τ | The ramp-up time of distributed generators |
| ri,U | Up ramp rate of the ith distributed generator |
| ri,D | Down-ramp rate of the ith distributed generator |
| Δt | Time interval |
| PC(t) | Charging power of a battery system |
| PD(t) | Discharging power of a battery system |
| PC,max | Maximum charging power of a battery system |
| PD,max | Maximum discharging power of a battery system |
| SOC(t) | State of charge (SOC) of a battery system at time t |
| ηC | Charging efficiency of a battery system |
| ηD | Discharging efficiency of a battery system |
| EB | Installation capacity of a battery system |
| SOCmin | Lower limit of battery SOC |
| SOCmax | Upper limit of battery SOC |
| Rn,U,max(t) | Maximum up-spinning reserve of the nth interruptible load at time t |
| PW(t) | Output power of a wind turbine system at time t |
| PPV(t) | Output power of a PV system at time t |
| PG(t) | Imported/Exported electrical power from/to the main grid at time t |
| PB(t) | Power exchange of a battery system at time t |
| PD(t) | Electrical demands at time t |
| ΔPW(t) | Output fluctuations of a wind turbine system at time t |
| ΔPPV(t) | Output fluctuations of a PV system at time t |
| ΔPR(t) | Output fluctuations of renewable energy system at time t |
| C(x,d) | The optimization objective function |
| H(x,d) | Equality constraint |
| G(x,d) | Inequality constraint |
| x | Uncertain variable |
| d | Deterministic variable |
| x′ | Predicted value of the uncertain variable |
| α | Maximum allowance of system uncertainty |
| U(α,x′) | A set of uncertain variables |
| C0 | Optimal system operational cost of the proposed deterministic model |
| Cc | Preset system operational cost |
| δ | The percentage increase of the theoretical minimum operational cost |
| PR(t) | Actual output power of renewable energy system at time t |
| P′R(t) | Predicted output power of renewable energy system at time t |
| DV1 | A set of system decision variables |
| DV2 | A set of system random variables |
References
- Niknam, T.; Azizipanah-Abarghooee, R.; Narimani, M.R. An efficient scenario-based stochastic programming framework for multi-objective optimal micro-grid operation. Appl. Energy 2012, 99, 455–470. [Google Scholar] [CrossRef]
- Soares, J.; Ghazvini, M.A.F.; Borges, N.; Vale, Z. A stochastic model for energy resources management considering demand response in smart grids. Electr. Power Syst. Res. 2017, 143, 599–610. [Google Scholar] [CrossRef]
- Liu, Y.; Du, W.; Xiao, L.; Wang, H.; Bu, S.; Cao, J. Sizing a hybrid energy storage system for maintaining power balance of an isolated system with high penetration of wind generation. IEEE Trans. Power Syst. 2016, 31, 3267–3275. [Google Scholar] [CrossRef]
- Mohammadi, S.; Soleymani, S.; Mozafari, B. Scenario-based stochastic operation management of MicroGrid including Wind, Photovoltaic, Micro-Turbine, Fuel Cell and Energy Storage Devices. Int. J. Electr. Power Energy Syst. 2014, 54, 525–535. [Google Scholar] [CrossRef]
- Khazali, A.; Kalantar, M. Spinning reserve quantification by a stochastic–probabilistic scheme for smart power systems with high wind penetration. Energy Convers. Manag. 2015, 96, 242–257. [Google Scholar] [CrossRef]
- Zakariazadeh, A.; Jadid, S.; Siano, P. Smart microgrid energy and reserve scheduling with demand response using stochastic optimization. Int. J. Electr. Power Energy Syst. 2014, 63, 523–533. [Google Scholar] [CrossRef]
- Mazidi, M.; Zakariazadeh, A.; Jadid, S.; Siano, P. Integrated scheduling of renewable generation and demand response programs in a microgrid. Energy Convers. Manag. 2014, 86, 1118–1127. [Google Scholar] [CrossRef]
- Chen, J.; Wu, W.; Zhang, B.; Wang, B.; Guo, Q. A Spinning Reserve Allocation Method for Power Generation Dispatch Accommodating Large-Scale Wind Power Integration. Energies 2013, 6, 5357–5381. [Google Scholar] [CrossRef]
- Halamay, D.A.; Brekken, T.K.A.; Simmons, A.; McArthur, S. Reserve Requirement Impacts of Large-Scale Integration of Wind, Solar, and Ocean Wave Power Generation. IEEE Trans. Sustain. Energy 2011, 2, 321–328. [Google Scholar] [CrossRef]
- Jaefari-Nokandi, M.; Monsef, H. Scheduling of Spinning Reserve Considering Customer Choice on Reliability. IEEE Trans. Power Syst. 2009, 24, 1780–1789. [Google Scholar] [CrossRef]
- Mohanta, D.K.; Sadhu, P.K.; Chakrabarti, R. Deterministic and stochastic approach for safety and reliability optimization of captive power plant maintenance scheduling using GA/SA-based hybrid techniques: A comparison of results. Reliabil. Eng. Syst. Saf. 2007, 92, 187–199. [Google Scholar] [CrossRef]
- Shayesteh, E.; Yousefi, A.; Moghaddam, M.P. A probabilistic risk-based approach for spinning reserve provision using day-ahead demand response program. Energy 2010, 35, 1908–1915. [Google Scholar] [CrossRef]
- Zhang, H.; Zhang, Q.; Gong, T.; Sun, H.; Su, X. Peak Load Regulation and Cost Optimization for Microgrids by Installing a Heat Storage Tank and a Portable Energy System. Appl. Sci. 2018, 8, 567. [Google Scholar] [CrossRef]
- Aien, M.; Hajebrahimi, A.; Fotuhi-Firuzabad, M. A comprehensive review on uncertainty modeling techniques in power system studies. Renew. Sustain. Energy Rev. 2016, 57, 1077–1089. [Google Scholar] [CrossRef]
- Lorca, Á.; Sun, X.A. Adaptive Robust Optimization With Dynamic Uncertainty Sets for Multi-Period Economic Dispatch Under Significant Wind. IEEE Trans. Power Syst. 2015, 30, 1702–1713. [Google Scholar] [CrossRef]
- JØrgensen, S.E. Info-Gap Decision Theory. Ecol. Model. 2008, 211, 249. [Google Scholar] [CrossRef]
- Kazemi, M.; Mohammadi-Ivatloo, B.; Ehsan, M. Risk-Constrained Strategic Bidding of GenCos Considering Demand Response. IEEE Trans. Power Syst. 2015, 30, 376–384. [Google Scholar] [CrossRef]
- Nikoobakht, A.; Aghaei, J.; Mardaneh, M. Managing the risk of uncertain wind power generation in flexible power systems using information gap decision theory. Energy 2016, 114, 846–861. [Google Scholar] [CrossRef]
- Chen, K.; Wu, W.; Zhang, B.; Sun, H. Robust Restoration Decision-Making Model for Distribution Networks Based on Information Gap Decision Theory. IEEE Trans. Smart Grid 2015, 6, 587–597. [Google Scholar] [CrossRef]
- Kyriakopoulos, G.L.; Arabatzis, G.; Tsialis, P.; Ioannou, K. Electricity consumption and RES plants in Greece: Typologies of regional units. Renew. Energy 2018, 127, 134–144. [Google Scholar] [CrossRef]
- Mohsenian-Rad, H. Optimal Bidding, Scheduling, and Deployment of Battery Systems in California Day-Ahead Energy Market. IEEE Trans. Power Syst. 2016, 31, 442–453. [Google Scholar] [CrossRef]
- Kyriakopoulos, G.L.; Arabatzis, G. Electrical energy storage systems in electricity generation: Energy policies, innovative technologies, and regulatory regimes. Renew. Sustain. Energy Rev. 2016, 56, 1044–1067. [Google Scholar] [CrossRef]
- Yu, D.; Liu, H.; Yan, G.; Jiang, J.; Le Blond, S. Optimization of Hybrid Energy Storage Systems at the Building Level with Combined Heat and Power Generation. Energies 2017, 10, 606. [Google Scholar] [CrossRef]
- Liu, G.; Xu, Y.; Tomsovic, K. Bidding Strategy for Microgrid in Day-Ahead Market Based on Hybrid Stochastic/Robust Optimization. IEEE Trans. Smart Grid 2015, 7, 227–237. [Google Scholar] [CrossRef]
- Liu, G.; Starke, M.; Xiao, B.; Zhang, X.; Tomsovic, K. Microgrid optimal scheduling with chance- constrained islanding capability. Electr. Power Syst. Res. 2017, 145, 197–206. [Google Scholar] [CrossRef]









| Energy Carriers | Minimum Output Power (kW) | Maximum Output Power (kW) | Life (Year) | Maintenance Cost Coefficient (¥/kWh) |
|---|---|---|---|---|
| Wind Turbine | 0 | 100 | 10 | 0.0297 |
| PV | 0 | 50 | 20 | 0.0096 |
| Microturbine | 10 | 30 | 15 | 0.0422 |
| Fuel Cell | 10 | 30 | 10 | 0.0286 |
| Diesel Generator | 20 | 60 | 10 | 0.0859 |
© 2018 by the authors. Licensee MDPI, Basel, Switzerland. This article is an open access article distributed under the terms and conditions of the Creative Commons Attribution (CC BY) license (http://creativecommons.org/licenses/by/4.0/).
Share and Cite
Zhang, H.; Sun, H.; Zhang, Q.; Kong, G. Microgrid Spinning Reserve Optimization with Improved Information Gap Decision Theory. Energies 2018, 11, 2347. https://doi.org/10.3390/en11092347
Zhang H, Sun H, Zhang Q, Kong G. Microgrid Spinning Reserve Optimization with Improved Information Gap Decision Theory. Energies. 2018; 11(9):2347. https://doi.org/10.3390/en11092347
Chicago/Turabian StyleZhang, Hong, Hao Sun, Qian Zhang, and Guanxun Kong. 2018. "Microgrid Spinning Reserve Optimization with Improved Information Gap Decision Theory" Energies 11, no. 9: 2347. https://doi.org/10.3390/en11092347
APA StyleZhang, H., Sun, H., Zhang, Q., & Kong, G. (2018). Microgrid Spinning Reserve Optimization with Improved Information Gap Decision Theory. Energies, 11(9), 2347. https://doi.org/10.3390/en11092347
