Optimized Sizing and Scheduling of Hybrid Energy Storage Systems for High-Speed Railway Traction Substations
Abstract
1. Introduction
- The interaction of HESS sizing and daily scheduling of HESS within the time scope of project service period considering battery degradation are formulated via a bi-level model.
- The electricity bill for rail operators is largely reduced through peak shaving of traction loads, utilization of braking power and the mitigation of bill penalties for power fed back to the utility grid.
- The impact of different electricity pricing schemes, length of project service period and initial SOC of HESS are also analyzed.
2. System Description
2.1. Block Diagram of the System and Model
2.2. Traction Load and Regenerative Braking Power
- Computer simulation method based on traction and power supply calculation.
- Statistical model or sampling method based on measurement data from the meter installed in the traction substation.
2.3. Uncertainty Representation of PV Generation
2.4. Hybrid Energy Storage Systems
3. Master Level: HESS Sizing Problem Formulation
3.1. Battery Degradation Analysis
3.2. Objective Function of the Master Level Model
3.2.1. Capital Cost
3.2.2. Replacement Cost
3.2.3. Operation and Maintenance (O&M) Cost
3.2.4. Salvage Value
3.3. Constraints of the Master Level
4. Slave Level: Diurnal Dispatch Problem Formulation
4.1. Objective Function of the Slave Level Model
- Energy consumption charge. Electric utilities installed in the traction substation meter the energy consumption supplied by utility grid, and this charge is obtained through the energy consumption and corresponding energy price.
- Capacity charge or demand charge. This part of charge is associated with the construction cost of power plant, transmission lines and other facilities. Typically two options are offered to the C&I consumers: transformer-capacity-based charge or peak-demand-based charge. The former is related to the capacity of transformers, and the latter depends on the maximum value of the averaged active power consumption in successive 15 min time intervals, during a billing month (or a day in this study, as the diurnal operation of the elements in RTSEM system is regarded as repeated within the project service period). The latter option is applied in this paper.
- Penalty charge. HSTs have been widely put into service in HSR lines in China. Part of the RBP is absorbed by HSTs running in the same power supply section, and the rest returns to utility power system. However, the RBP fed back to the grid contains a large number of harmonic components and negative sequence components, bring potential threats to the utility power system. Therefore, a bill penalty is charged for the traction power fed back to the utility grid.
- The energy consumption charge can be expressed as:
- The demand charge is derived as:
- The penalty charge is as follows:where is the probability of PV generation scenario; (MW), (CNY/MW) are active power supplied by the utility grid and corresponding electricity price signal; (MW) and (CNY/MW) represent the regenerative braking power fed back to utility grid and the penalty charge; (CNY/MW) denotes the electricity price of peak demand power; is the discretization time interval; is the average active power consumption during each 15-min interval and T refers to the total number of time intervals during a day.
4.2. Constraints of the Slave Level Model
4.2.1. Power Balance
4.2.2. HESS Constraints
4.2.3. PV Generation Constraints
4.2.4. Power Exchange Constraints
5. Proposed Approach
5.1. Overview of Grey Wolf Optimizer
5.1.1. Encircling Prey
5.1.2. Hunting
5.1.3. Attacking or Searching for Prey
5.2. Application of GWO Approach with CPLEX Solver Embedded
6. Case Study
6.1. Cases Description and Input Parameters
- Case 1: conventional railway system with no HESS nor PV generation, as the base case;
- Case 2: conventional railway system with HESS only;
- Case 3: conventional railway system with battery energy storage systems only;
- Case 4: conventional railway system with both HESS and PV generation.
6.2. Cases Results Analysis
6.2.1. Case 1
6.2.2. Case 2
6.2.3. Case 3
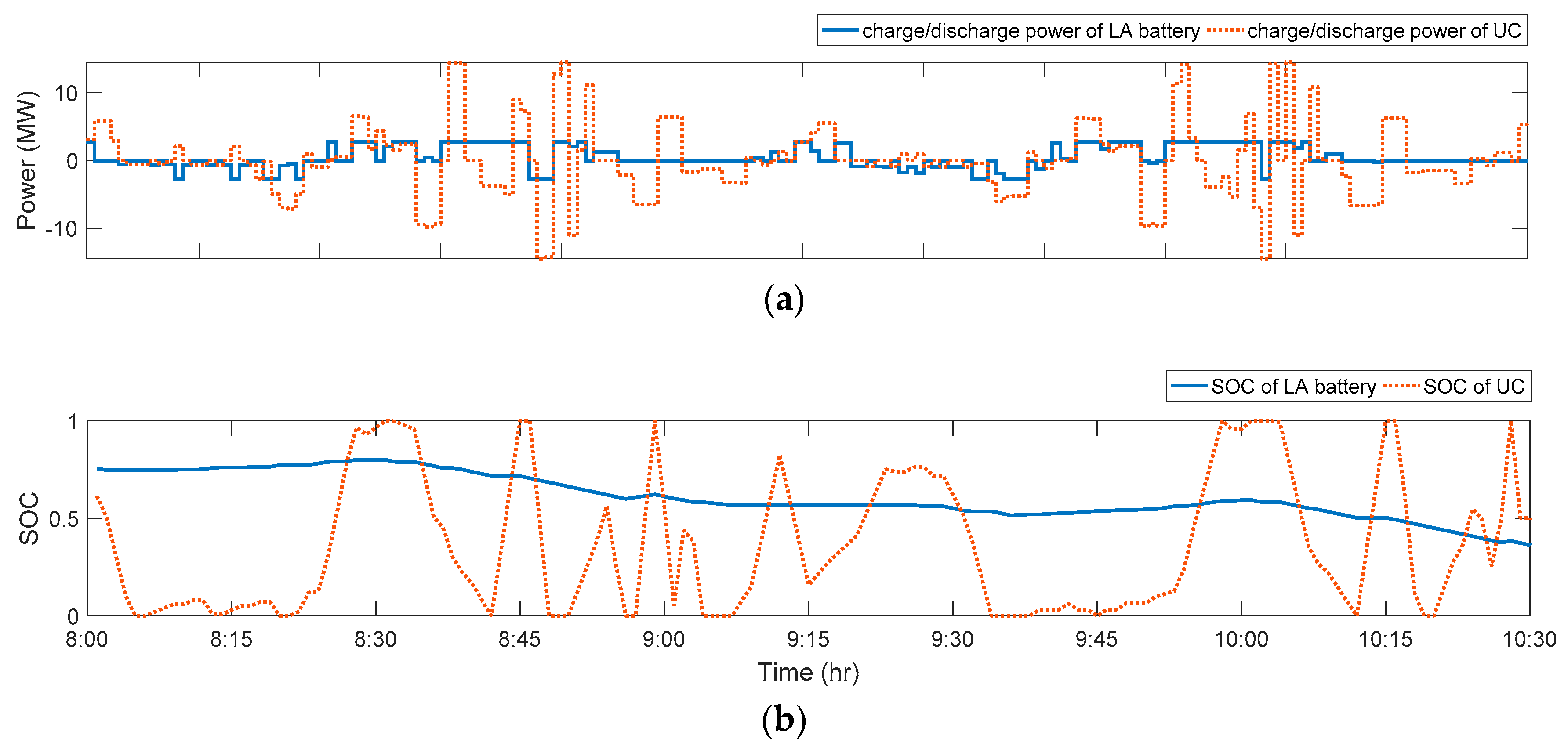
6.2.4. Case 4
6.2.5. Convergence Performance of GWO
6.3. Sensitivities Analysis
6.4. Cost Savings Analysis of TSSs in the HSR Line
7. Conclusions
Author Contributions
Funding
Acknowledgments
Conflicts of Interest
Nomenclature
| Abbreviations | |
| RTSEM | Railway traction substation energy management |
| HESS | Hybrid Energy storage systems |
| PCS | Power conversion systems |
| BOP | Balance of plant |
| RBP | Regenerative braking power |
| UC | Ultracapacitor |
| LA | Lead-acid |
| PV | Photovoltaic |
| MILP | Mixed-integer linear programming |
| HSR | High-speed railway |
| HSTs | High-speed trains |
| DOD | Depth of discharge |
| SOC | State of charge |
| Parameters | |
| Railway traction load at time interval t (MW) | |
| Regenerative braking power at time interval t (MW) | |
| T | Total number of operation time intervals during a day |
| ∆t | The discretization time interval (1 min) |
| Electricity price for power imported from the utility grid (CNY/MWh) | |
| penalty charge for power fed back to the utility grid (CNY/MWh) | |
| Total area of PV panels (m2) | |
| Probability of PV generation scenario | |
| Solar irradiance at time interval t for scenario s (kW/m2) | |
| Tproj | Project service period (year) |
| r0 | Annual discount rate |
| , | Upper and lower bounds of power rating of battery (MW) |
| , | Upper and lower bounds of capacity of battery (MWh) |
| , | Upper and lower bounds of power rating of UC (MW) |
| , | Upper and lower bounds of capacity of UC (MWh) |
| , | Discharge and charge efficiency of battery |
| , | Discharge and charge efficiency of UC |
| , | Self-discharging rate of battery and UC |
| , | Minimum and maximum SOC limit of battery |
| Initial SOC of battery per day | |
| , | Minimum and maximum SOC limit of UC |
| Initial SOC of UC per day | |
| Maximum limit for active power imported from the utility grid (MW) | |
| Maximum limit for regenerative braking power fed back to the utility grid (MW) | |
| Variables | |
| , | Discharge and charge power of battery at time interval t for scenario s (MW) |
| , | Discharge and charge power of UC at time interval t for scenario s (MW) |
| Power supplied by the utility grid at time interval t for scenario s (MW) | |
| Power fed back to utility grid at time interval t for scenario s (MW) | |
| PV output power at time interval t for scenario s (MW) | |
| , | The energy stored in battery and UC at time interval t for scenario s (MWh) |
| , | Binary variable: 1 if battery or UC are discharging at time interval t for scenario s, 0 otherwise |
| , | Binary variable: 1 if battery or UC are charging at time interval t for scenario s, 0 otherwise |
| , | Binary variable: 1 if battery or UC are in operation mode (charge/discharge) at time interval t for scenario s, 0 otherwise |
| Binary variable: 1 if grid supplies power to trains, and 0 if braking power is fed back to grid. | |
| Battery lifetime (year), as an intermediate variable | |
| , | Rated power of battery and UC (MW) |
| , | Rated capacity of battery and UC (MWh) |
| , | Operation time of battery and UC per day (hour), as intermediate variables |
References
- Intergovernmental Panel on Climate Change. Climate Change 2014—Impacts, Adaptation and Vulnerability Part A: Global and Sectoral Aspects; Cambridge University Press: Cambridge, UK; New York, NY, USA, 2014; ISBN 1-107-05807-4. [Google Scholar]
- Intergovernmental Panel on Climate Change. Climate Change 2014—Impacts, Adaptation and Vulnerability Part B: Regional Aspects; Cambridge University Press: Cambridge, UK; New York, NY, USA, 2014; ISBN 1-107-05816-3. [Google Scholar]
- Kyoto Protocol to the United Nations Framework Convention on Climate Change. Available online: https://unfccc.int/process/the-kyoto-protocol (accessed on 11 February 2018).
- Doha Amendment to the Kyoto Protocol. Available online: https://unfccc.int/process/the-kyoto-protocol/the-doha-amendment (accessed on 11 February 2018).
- Yan, Q.; Wang, Y.; Baležentis, T.; Sun, Y.; Streimikiene, D. Energy-Related CO2 Emission in China’s Provincial Thermal Electricity Generation: Driving Factors and Possibilities for Abatement. Energies 2018, 11, 1096. [Google Scholar] [CrossRef]
- Railway Handbook 2017: Energy Consumption and CO2 Emissions. Available online: https://uic.org/IMG/pdf/handbook_iea-uic_2017_web2-2.pdf (accessed on 2 February 2018).
- Wang, K.; Hu, H.; Zheng, Z.; He, Z.; Chen, L. Study on Power Factor Behavior in High-Speed Railways Considering Train Timetable. IEEE Trans. Transp. Electrif. 2018, 4, 220–231. [Google Scholar] [CrossRef]
- Ratniyomchai, T.; Hillmansen, S.; Tricoli, P. Recent developments and applications of energy storage devices in electrified railways. IET Electr. Syst. Transp. 2014, 4, 9–20. [Google Scholar] [CrossRef]
- Sitras SES of Siemens Transportation Systems: Energy Storage System for Mass Transit Systems. Available online: https://w3.usa.siemens.com/mobility/us/Documents/en/rail-solutions/railway-electrification/dc-traction-power-supply/sitras-ses2-en.pdf (accessed on 15 January 2018).
- MITRAC Energy Saver. Available online: https://www.bombardier.com/en/media/insight/economy-and-rail/eco4-technologies/mitrac-energy-saver.html (accessed on 15 January 2018).
- Moskowitz, J.P.; Cohuau, J.L. STEEM: ALSTOM and RATP experience of supercapacitors in tramway operation. In Proceedings of the 2010 IEEE Vehicle Power and Propulsion Conference, Lille, France, 1–3 September 2010; pp. 1–5. [Google Scholar]
- Shu, Z.; Xie, S.; Li, Q. Single-Phase Back-To-Back Converter for Active Power Balancing, Reactive Power Compensation, and Harmonic Filtering in Traction Power System. IEEE Trans. Power Electron. 2011, 26, 334–343. [Google Scholar] [CrossRef]
- Riffonneau, Y.; Bacha, S.; Barruel, F.; Ploix, S. Optimal Power Flow Management for Grid Connected PV Systems with Batteries. IEEE Trans. Sustain. Energy 2011, 2, 309–320. [Google Scholar] [CrossRef]
- Roncero-Sánchez, P.; Parreño Torres, A.; Vázquez, J. Control Scheme of a Concentration Photovoltaic Plant with a Hybrid Energy Storage System Connected to the Grid. Energies 2018, 11, 301. [Google Scholar] [CrossRef]
- Jiang, Q.; Gong, Y.; Wang, H. A Battery Energy Storage System Dual-Layer Control Strategy for Mitigating Wind Farm Fluctuations. IEEE Trans. Power Syst. 2013, 28, 3263–3273. [Google Scholar] [CrossRef]
- Li, R.; Wang, W.; Chen, Z.; Wu, X. Optimal planning of energy storage system in active distribution system based on fuzzy multi-objective bi-level optimization. J. Mod. Power Syst. Clean Energy 2018, 6, 342–355. [Google Scholar] [CrossRef]
- Fossati, J.P.; Galarza, A.; Martín-Villate, A.; Fontán, L. A method for optimal sizing energy storage systems for microgrids. Renew. Energy 2015, 77, 539–549. [Google Scholar] [CrossRef]
- Sukumar, S.; Mokhlis, H.; Mekhilef, S.; Naidu, K.; Karimi, M. Mix-mode energy management strategy and battery sizing for economic operation of grid-tied microgrid. Energy 2017, 118, 1322–1333. [Google Scholar] [CrossRef]
- Chen, C.; Duan, S.; Cai, T.; Liu, B.; Hu, G. Optimal Allocation and Economic Analysis of Energy Storage System in Microgrids. IEEE Trans. Power Electron. 2011, 26, 2762–2773. [Google Scholar] [CrossRef]
- Akram, U.; Khalid, M.; Shafiq, S. Optimal sizing of a wind/solar/battery hybrid grid-connected microgrid system. IET Renew. Power Gener. 2017, 12, 72–80. [Google Scholar] [CrossRef]
- Serpi, A.; Porru, M.; Damiano, A. An Optimal Power and Energy Management by Hybrid Energy Storage Systems in Microgrids. Energies 2017, 10, 1909. [Google Scholar] [CrossRef]
- Wang, H.; Wang, T.; Xie, X.; Ling, Z.; Gao, G.; Dong, X. Optimal Capacity Configuration of a Hybrid Energy Storage System for an Isolated Microgrid Using Quantum-Behaved Particle Swarm Optimization. Energies 2018, 11, 454. [Google Scholar] [CrossRef]
- Khayyam, S.; Ponci, F.; Goikoetxea, J.; Recagno, V.; Bagliano, V.; Monti, A. Railway Energy Management System: Centralized–Decentralized Automation Architecture. IEEE Trans. Smart Grid 2016, 7, 1164–1175. [Google Scholar] [CrossRef]
- Pankovits, P.; Ployard, M.; Pouget, J.; Brisset, S.; Abbes, D.; Robyns, B. Design and operation optimization of a hybrid railway power substation. In Proceedings of the 2013 15th European Conference on Power Electronics and Applications (EPE), Lille, France, 2–6 September 2013; pp. 1–8. [Google Scholar]
- Pankovits, P.; Abbes, D.; Saudemont, C.; Abdou, O.M.; Pouget, J.; Robyns, B. Energy management multi-criteria design for hybrid railway power substations. In Proceedings of the 11th International Conference on Modeling and Simulation of Electric Machines, Converters and Systems (Electrimacs 2014), Valencia, Spain, 20–22 May 2014. [Google Scholar]
- Pankovits, P.; Pouget, J.; Robyns, B.; Delhaye, F.; Brisset, S. Towards railway-smartgrid: Energy management optimization for hybrid railway power substations. In Proceedings of the IEEE PES Innovative Smart Grid Technologies, Europe, Istanbul, Turkey, 12–15 October 2014; pp. 1–6. [Google Scholar]
- Novak, H.; Vašak, M.; Lešić, V. Hierarchical energy management of multi-train railway transport system with energy storages. In Proceedings of the IEEE International Conference on Intelligent Rail Transportation (ICIRT), Birmingham, UK, 23–25 August 2016; pp. 130–138. [Google Scholar]
- Novak, H.; Lesic, V.; Vasak, M. Hierarchical Coordination of Trains and Traction Substation Storages for Energy Cost Optimization. In Proceedings of the 2017 IEEE 20th International Conference on Intelligent Transportation Systems (ITSC), Yokohama, Japan, 16–19 October 2017. [Google Scholar]
- Sengor, I.; Kilickiran, H.C.; Akdemir, H.; Kekezoglu, B.; Erdinc, O.; Catalão, J.P.S. Energy Management of A Smart Railway Station Considering Regenerative Braking and Stochastic Behaviour of ESS and PV Generation. IEEE Trans. Sustain. Energy 2018, 9, 1041–1050. [Google Scholar] [CrossRef]
- Kim, H.; Heo, J.H.; Park, J.Y.; Yoon, Y.T. Impact of Battery Energy Storage System Operation Strategy on Power System: An Urban Railway Load Case under a Time-of-Use Tariff. Energies 2017, 10, 68. [Google Scholar] [CrossRef]
- Aguado, J.A.; Racero, A.J.S.; de la Torre, S. Optimal Operation of Electric Railways ith Renewable Energy and Electric Storage Systems. IEEE Trans. Smart Grid 2018, 9, 993–1001. [Google Scholar] [CrossRef]
- De la Torre, S.; Sanchez-Racero, A.J.; Aguado, J.A.; Reyes, M.; Martianez, O. Optimal Sizing of Energy Storage for Regenerative Braking in Electric Railway Systems. IEEE Trans. Power Syst. 2015, 30, 1492–1500. [Google Scholar] [CrossRef]
- SIGNON SINAnet and WEBAnet. Available online: http://www.elbas.de/sinanetwebanet_e.html (accessed on 8 March 2018).
- Growe-Kuska, N.; Heitsch, H.; Romisch, W. Scenario reduction and scenario tree construction for power management problems. In Proceedings of the 2003 IEEE Bologna Power Tech Conference Proceedings, Bologna, Italy, 23–26 June 2003; Volume 3, p. 7. [Google Scholar]
- Soares, J.; Canizes, B.; Ghazvini, M.A.F.; Vale, Z.; Venayagamoorthy, G.K. Two-Stage Stochastic Model Using Benders’ Decomposition for Large-Scale Energy Resource Management in Smart Grids. IEEE Trans. Ind. Appl. 2017, 53, 5905–5914. [Google Scholar] [CrossRef]
- Nasri, A.; Kazempour, S.J.; Conejo, A.J.; Ghandhari, M. Network-Constrained AC Unit Commitment under Uncertainty: A Benders’ Decomposition Approach. IEEE Trans. Power Syst. 2016, 31, 412–422. [Google Scholar] [CrossRef]
- Wu, H.; Shahidehpour, M.; Alabdulwahab, A.; Abusorrah, A. A Game Theoretic Approach to Risk-Based Optimal Bidding Strategies for Electric Vehicle Aggregators in Electricity Markets with Variable Wind Energy Resources. IEEE Trans. Sustain. Energy 2016, 7, 374–385. [Google Scholar] [CrossRef]
- Dupačová, J.; Gröwe-Kuska, N.; Römisch, W. Scenario reduction in stochastic programming. Math. Program. 2003, 95, 493–511. [Google Scholar] [CrossRef]
- Razali, N.M.M.; Hashim, A.H. Backward reduction application for minimizing wind power scenarios in stochastic programming. In Proceedings of the 2010 4th International Power Engineering and Optimization Conference (PEOCO), Shah Alam, Malaysia, 23–24 June 2010; pp. 430–434. [Google Scholar]
- Fotouhi Ghazvini, M.A.; Faria, P.; Ramos, S.; Morais, H.; Vale, Z. Incentive-based demand response programs designed by asset-light retail electricity providers for the day-ahead market. Energy 2015, 82, 786–799. [Google Scholar] [CrossRef]
- Wu, H.; Shahidehpour, M.; Alabdulwahab, A.; Abusorrah, A. Thermal Generation Flexibility with Ramping Costs and Hourly Demand Response in Stochastic Security-Constrained Scheduling of Variable Energy Sources. IEEE Trans. Power Syst. 2015, 30, 2955–2964. [Google Scholar] [CrossRef]
- Tankari, M.A.; Camara, M.B.; Dakyo, B.; Lefebvre, G. Use of Ultracapacitors and Batteries for Efficient Energy Management in Wind Diesel Hybrid System. IEEE Trans. Sustain. Energy 2013, 4, 414–424. [Google Scholar] [CrossRef]
- Bordin, C.; Anuta, H.O.; Crossland, A.; Gutierrez, I.L.; Dent, C.J.; Vigo, D. A linear programming approach for battery degradation analysis and optimization in offgrid power systems with solar energy integration. Renew. Energy 2017, 101, 417–430. [Google Scholar] [CrossRef]
- Amzallag, C.; Gerey, J.; Robert, J.; Bahuaud, J. Standardization of the rainflow counting method for fatigue analysis. Int. J. Fatigue 1994, 16, 287–293. [Google Scholar] [CrossRef]
- Layadi, T.M.; Champenois, G.; Mostefai, M.; Abbes, D. Lifetime estimation tool of lead–acid batteries for hybrid power sources design. Simul. Model. Pract. Theor. 2015, 54, 36–48. [Google Scholar] [CrossRef]
- Bindner, H.; Cronin, T.; Lundsager, P.; Manwell, J.F.; Abdulwahid, U.; Baring-Gould, I. Lifetime Modelling of Lead Acid Batteries; Risø National Laboratory: Roskilde, Denmark, 2005. [Google Scholar]
- Zakeri, B.; Syri, S. Electrical energy storage systems: A comparative life cycle cost analysis. Renew. Sustain. Energy Rev. 2015, 42, 569–596. [Google Scholar] [CrossRef]
- Tsikalakis, A.G.; Hatziargyriou, N.D. Centralized Control for Optimizing Microgrids Operation. IEEE Trans. Energy Convers. 2008, 23, 241–248. [Google Scholar] [CrossRef]
- Roch-Dupre, D.; Lopez-Lopez, A.J.; Pecharroman, R.R.; Cucala, A.P.; Fernandez-Cardador, A. Analysis of the demand charge in DC railway systems and reduction of its economic impact with Energy Storage Systems. Int. J. Electr. Power Energy Syst. 2017, 93, 459–467. [Google Scholar] [CrossRef]
- Zhao, B.; Zhang, X.; Chen, J.; Wang, C.; Guo, L. Operation Optimization of Standalone Microgrids Considering Lifetime Characteristics of Battery Energy Storage System. IEEE Trans. Sustain. Energy 2013, 4, 934–943. [Google Scholar] [CrossRef]
- Zhao, B.; Zhang, X.; Li, P.; Wang, K.; Xue, M.; Wang, C. Optimal sizing, operating strategy and operational experience of a stand-alone microgrid on Dongfushan Island. Appl. Energy 2014, 113, 1656–1666. [Google Scholar] [CrossRef]
- Chen, S.X.; Gooi, H.B.; Wang, M.Q. Sizing of Energy Storage for Microgrids. IEEE Trans. Smart Grid 2012, 3, 142–151. [Google Scholar] [CrossRef]
- Mirjalili, S.; Mirjalili, S.M.; Lewis, A. Grey Wolf Optimizer. Adv. Eng. Softw. 2014, 69, 46–61. [Google Scholar] [CrossRef]
- Sharma, S.; Bhattacharjee, S.; Bhattacharya, A. Grey wolf optimisation for optimal sizing of battery energy storage device to minimise operation cost of microgrid. IET Gener. Transm. Dis. 2016, 10, 625–637. [Google Scholar] [CrossRef]
- Hassan, Z.G.; Ezzat, M.; Abdelaziz, A.Y. Enhancement of power system operation using grey wolf optimization algorithm. In Proceedings of the 2017 Nineteenth International Middle East Power Systems Conference (MEPCON), Cairo, Egypt, 19–21 September 2017; pp. 397–402. [Google Scholar]
- National Renewable Energy Laboratory Measurement and Instrumentation Data Center (MIDC). Available online: https://midcdmz.nrel.gov/ (accessed on 28 March 2018).
- Battke, B.; Schmidt, T.S.; Grosspietsch, D.; Hoffmann, V.H. A review and probabilistic model of lifecycle costs of stationary batteries in multiple applications. Renew. Sustain. Energy Rev. 2013, 25, 240–250. [Google Scholar] [CrossRef]
- Lofberg, J. YALMIP: A toolbox for modeling and optimization in MATLAB. In Proceedings of the 2004 IEEE International Conference on Robotics and Automation (IEEE Cat. No.04CH37508), New Orleans, LA, USA, 2–4 September 2004; pp. 284–289. [Google Scholar]


















| Parameters | Value | Parameters | Value |
|---|---|---|---|
| Unloaded weight | 479.36 t | Max. traction power | 8800 kW |
| Average load | 56.64 t | Max. braking power | 8000 kW |
| Power factor (traction) | 0.98 | Auxiliary power | 408 kW |
| Power factor (braking) | 0.9 | Max. acceleration (traction) | 0.65 m/s2 |
| Transmission efficiency | 0.9 | Max. acceleration (braking) | 1.2 m/s2 |
| Parameters | Unit | LA Battery | UC |
|---|---|---|---|
| PCS costs | CNY/kW | 2838 | 2050 |
| Energy capacity costs | CNY/kWh | 4640 | 198,000 |
| Replacement costs | CNY/kWh | 1292 | 0 |
| BOP costs | CNY/kW | 674 | 674 |
| O&M costs (fixed) | CNY/kW/year | 25.5 | 0 |
| O&M costs (variable) | CNY/MW/h | 2.78 | 0 |
| Efficiency (charge/discharge) | - | 80%/80% | 95%/95% |
| SOC range | - | 20~80% | 0~100% |
| Initial SOC | - | 50% | 50% |
| Self-discharging rate | /mon | 5% | 0 |
| Depreciation coefficient | - | 0.7 | 0.7 |
| Cases | Case 1 | Case 2 | Case 3 | Case 4 | ||||
|---|---|---|---|---|---|---|---|---|
| Pricing Schemes | Fixed Tariff | TOU Tariff | Fixed Tariff | TOU Tariff | Fixed Tariff | TOU Tariff | Fixed Tariff | TOU Tariff |
| /MW | - | - | 2.9 | 2.2 | 2.9 | 3.0 | 2.7 | 2.7 |
| /MWh | - | - | 5.0 | 5.0 | 5.1 | 5.1 | 5.0 | 5.0 |
| /MW | - | - | 13.0 | 11.6 | - | - | 16.7 | 14.5 |
| /MWh | - | - | 0.43 | 0.43 | - | - | 0.49 | 0.48 |
| /year | - | - | 5.47 | 3.26 | 1.21 | 1.1 | 3.95 | 2.84 |
| /k CNY | 88.70 | 99.98 | 40.84 | 45.42 | 70.38 | 75.83 | 31.31 | 33.14 |
| /k CNY | - | - | 26.72 | 25.75 | 6.22 | 6.29 | 30.18 | 28.98 |
| /k CNY | - | - | 3.57 | 7.14 | 19.42 | 21.84 | 5.95 | 8.33 |
| /CNY | - | - | 202.60 | 153.70 | 202.60 | 209.60 | 188.63 | 169.52 |
| /k CNY | - | - | 0.57 | 1.43 | 0.83 | 1.48 | 1.55 | 1.60 |
| /k CNY | 88.70 | 99.98 | 70.76 | 77.02 | 95.39 | 102.69 | 66.08 | 69.04 |
| Battery cycles per day (full/half cycles) | - | - | 16/4 | 21/3 | 75/4 | 73/3 | 25/3 | 32/5 |
| Electricity Cost Savings | - | - | 53.96% | 54.57% | 20.65% | 24.16% | 64.70% | 66.85% |
| Total Cost Savings | - | - | 20.22% | 22.96% | −7.54% | −2.71% | 25.50% | 30.95% |
© 2018 by the authors. Licensee MDPI, Basel, Switzerland. This article is an open access article distributed under the terms and conditions of the Creative Commons Attribution (CC BY) license (http://creativecommons.org/licenses/by/4.0/).
Share and Cite
Liu, Y.; Chen, M.; Lu, S.; Chen, Y.; Li, Q. Optimized Sizing and Scheduling of Hybrid Energy Storage Systems for High-Speed Railway Traction Substations. Energies 2018, 11, 2199. https://doi.org/10.3390/en11092199
Liu Y, Chen M, Lu S, Chen Y, Li Q. Optimized Sizing and Scheduling of Hybrid Energy Storage Systems for High-Speed Railway Traction Substations. Energies. 2018; 11(9):2199. https://doi.org/10.3390/en11092199
Chicago/Turabian StyleLiu, Yuanli, Minwu Chen, Shaofeng Lu, Yinyu Chen, and Qunzhan Li. 2018. "Optimized Sizing and Scheduling of Hybrid Energy Storage Systems for High-Speed Railway Traction Substations" Energies 11, no. 9: 2199. https://doi.org/10.3390/en11092199
APA StyleLiu, Y., Chen, M., Lu, S., Chen, Y., & Li, Q. (2018). Optimized Sizing and Scheduling of Hybrid Energy Storage Systems for High-Speed Railway Traction Substations. Energies, 11(9), 2199. https://doi.org/10.3390/en11092199

