Effect of Sodium Chloride and Thiourea on Pollutant Formation during Combustion of Plastics
Abstract
1. Introduction
2. Materials and Methods
3. Results
3.1. Gases and Volatile Compounds Emission
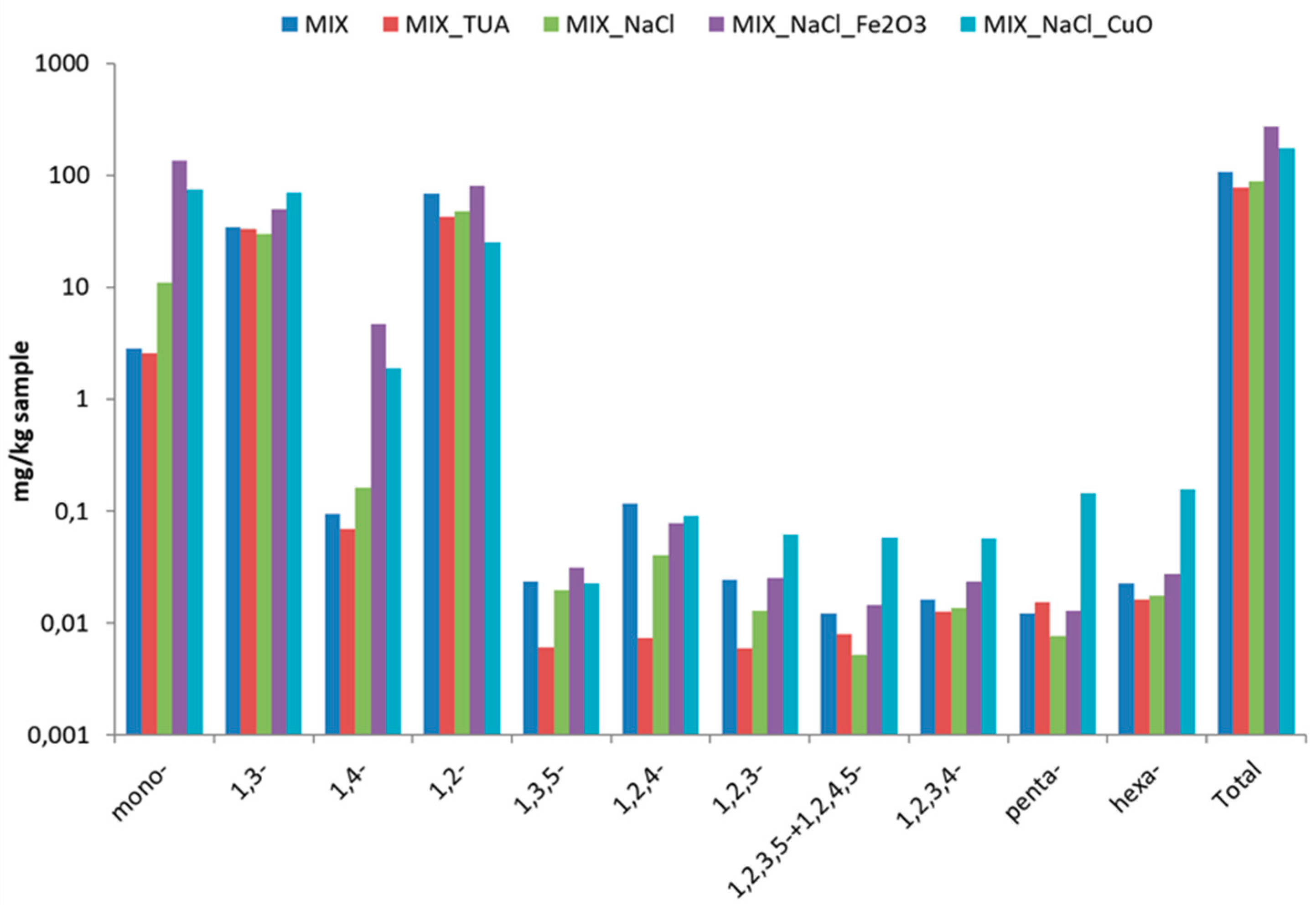
3.2. PAHs, ClBzs, ClPhs, and BrPhs
4. Conclusions
Author Contributions
Funding
Conflicts of Interest
References
- Iñiguez, M.E.; Conesa, J.A.; Fullana, A. Marine debris occurrence and treatment: A review. Renew. Sustain. Energy Rev. 2016, 64, 394–402. [Google Scholar] [CrossRef]
- Löhr, A.; Savelli, H.; Beunen, R.; Kalz, M.; Ragas, A.; Van Belleghem, F. Solutions for global marine litter pollution. Curr. Opin. Environ. Sustain. 2017, 28, 90–99. [Google Scholar] [CrossRef]
- Gregory, M.R. Environmental implications of plastic debris in marine settings—Entanglement, ingestion, smothering, hangers-on, hitch-hiking and alien invasions. Philos. Trans. R. Soc. Lond. B Biol. Sci. 2009, 364, 2013–2025. [Google Scholar] [CrossRef] [PubMed]
- Rillig, M.C. Microplastic in Terrestrial Ecosystems and the Soil? Environ. Sci. Technol. 2012, 46, 6453–6454. [Google Scholar] [CrossRef] [PubMed]
- Koelmans, A.A.; Gouin, T.; Thompson, R.; Wallace, N.; Arthur, C. Plastics in the marine environment. Environ. Toxicol. Chem. 2014, 33, 5–10. [Google Scholar] [CrossRef] [PubMed]
- Jambeck, J.R.; Geyer, R.; Wilcox, C.; Siegler, T.R.; Perryman, M.; Andrady, A.; Narayan, R.; Law, K.L. Plastic waste inputs from land into the ocean. Science 2015, 347, 768–771. [Google Scholar] [CrossRef] [PubMed]
- Martins, J.; Sobral, P. Plastic marine debris on the Portuguese coastline: A matter of size? Mar. Pollut. Bull. 2011, 62, 2649–2653. [Google Scholar] [CrossRef] [PubMed]
- Hidalgo-Ruz, V.; Gutow, L.; Thompson, R.C.; Thiel, M. Microplastics in the Marine Environment: A Review of the Methods Used for Identification and Quantification. Environ. Sci. Technol. 2012, 46, 3060–3075. [Google Scholar] [CrossRef] [PubMed]
- Heo, N.; Hong, S.; Han, G.; Hong, S.; Lee, J.; Song, Y.; Jang, M.; Shim, W. Distribution of small plastic debris in cross-section and high strandline on Heungnam beach, South Korea. Ocean Sci. J. 2013, 48, 225–233. [Google Scholar] [CrossRef]
- Barnes, D.K.A.; Galgani, F.; Thompson, R.C.; Barlaz, M. Accumulation and fragmentation of plastic debris in global environments. Philos. Trans. R. Soc. Lond. B Biol. Sci. 2009, 364, 1985–1998. [Google Scholar] [CrossRef] [PubMed]
- Fisner, M.; Taniguchi, S.; Moreira, F.; Bícego, M.C.; Turra, A. Polycyclic aromatic hydrocarbons (PAHs) in plastic pellets: Variability in the concentration and composition at different sediment depths in a sandy beach. Mar. Pollut. Bull. 2013, 70, 219–226. [Google Scholar] [CrossRef] [PubMed]
- Teuten, E.L.; Saquing, J.M.; Knappe, D.R.U.; Barlaz, M.A.; Jonsson, S.; Björn, A.; Rowland, S.J.; Thompson, R.C.; Galloway, T.S.; Yamashita, R.; et al. Transport and release of chemicals from plastics to the environment and to wildlife. Philos. Trans. R. Soc. Lond. B Biol. Sci. 2009, 364, 2027–2045. [Google Scholar] [CrossRef] [PubMed]
- Gullett, B.K.; Sarofim, A.F.; Smith, K.A.; Procaccini, C. The role of chlorine in dioxin formation. Process Saf. Environ. Prot. 2000, 78, 47–52. [Google Scholar] [CrossRef]
- Wang, L.-C.; Lee, W.-J.; Lee, W.-S.; Chang-Chien, G.-P.; Tsai, P.-J. Effect of chlorine content in feeding wastes of incineration on the emission of polychlorinated dibenzo-p-dioxins/dibenzofurans. Sci. Total Environ. 2003, 302, 185–198. [Google Scholar] [CrossRef]
- Wyrzykowska-Ceradini, B.; Gullett, B.K.; Tabor, D.; Touati, A. PBDDs/Fs and PCDDs/Fs in the Raw and Clean Flue Gas during Steady State and Transient Operation of a Municipal Waste Combustor. Environ. Sci. Technol. 2011, 45, 5853–5860. [Google Scholar] [CrossRef] [PubMed]
- Yasuhara, A.; Katami, T.; Okuda, T.; Ohno, N.; Shibamoto, T. Formation of dioxins during the combustion of newspapers in the presence of sodium chloride and poly(vinyl chloride). Environ. Sci. Technol. 2001, 35, 1373–1378. [Google Scholar] [CrossRef] [PubMed]
- Ma, W.; Hoffmann, G.; Schirmer, M.; Chen, G.; Rotter, V.S. Chlorine characterization and thermal behavior in MSW and RDF. J. Hazard. Mater. 2010, 178, 489–498. [Google Scholar] [CrossRef] [PubMed]
- Chern, H.-T.; Bozzelli, J.W. Comment on “Formation of Dioxins during the Combustion of Newspapers in the Presence of Sodium Chloride and Poly(vinyl chloride)”. Environ. Sci. Technol. 2002, 36, 2107. [Google Scholar] [CrossRef] [PubMed]
- Altarawneh, M.; Dlugogorski, B.Z.; Kennedy, E.M.; Mackie, J.C. Mechanisms for formation, chlorination, dechlorination and destruction of polychlorinated dibenzo-p-dioxins and dibenzofurans (PCDD/Fs). Prog. Energy Combust. Sci. 2009, 35, 245–274. [Google Scholar] [CrossRef]
- Zheng, M.H.; Liu, P.Y.; Piao, M.J.; Liu, W.B.; Xu, X.B. Formation of PCDD/Fs from heating polyethylene with metal chlorides in the presence of air. Sci. Total Environ. 2004, 328, 115–118. [Google Scholar] [CrossRef] [PubMed]
- Duo, W.; Leclerc, D. Thermodynamic analysis and kinetic modelling of dioxin formation and emissions from power boilers firing salt-laden hog fuel. Chemosphere 2007, 67, 164–176. [Google Scholar] [CrossRef] [PubMed]
- Fu, J.-Y.; Li, X.-D.; Chen, T.; Lin, X.-Q.; Buekens, A.; Lu, S.-Y.; Yan, J.-H.; Cen, K.-F. PCDD/Fs’ suppression by sulfur–amine/ammonium compounds. Chemosphere 2015, 123, 9–16. [Google Scholar] [CrossRef] [PubMed]
- Fujimori, T.; Nakamura, M.; Takaoka, M.; Shiota, K.; Kitajima, Y. Synergetic inhibition of thermochemical formation of chlorinated aromatics by sulfur and nitrogen derived from thiourea: Multielement characterizations. J. Hazard. Mater. 2016, 311, 43–50. [Google Scholar] [CrossRef] [PubMed]
- Chen, T.; Zhan, M.X.; Lin, X.Q.; Fu, J.Y.; Lu, S.Y.; Li, X.D.; Buekens, A.; Yan, J.H. PCDD/Fs inhibition by sludge decomposition gases: Effects of sludge dosage, treatment temperature and oxygen content. Aerosol Air Qual. Res. 2015, 15, 702–711. [Google Scholar] [CrossRef]
- Iñiguez, M.E.; Conesa, J.A.; Fullana, A. Pollutant content in marine debris and characterization by thermal decomposition. Mar. Pollut. Bull. 2017, 117, 359–365. [Google Scholar] [CrossRef] [PubMed]
- Conesa, J.A.; Egea, S.; Moltó, J.; Ortuño, N.; Font, R. Decomposition of two types of electric wires considering the effect of the metal in the production of pollutants. Chemosphere 2013, 91, 118–123. [Google Scholar] [CrossRef] [PubMed]
- Atal, A.; Levendis, Y.A.; Carlson, J.; Dunayevskiy, Y.; Vouros, P. On the survivability and pyrosynthesis of PAH during combustion of pulverized coal and tire crumb. Combust. Flame 1997, 110, 462–478. [Google Scholar] [CrossRef]
- Iñiguez, M.E.; Conesa, J.A.; Soler, A. Effect of marine ambient in the production of pollutants from the pyrolysis and combustion of a mixture of plastic materials. Mar. Pollut. Bull. 2018, 130, 249–257. [Google Scholar] [CrossRef] [PubMed]
- Soler, A.; Conesa, J.A.; Iñiguez, M.E.; Ortuño, N. Pollutant formation in the pyrolysis and combustion of materials combining biomass and e-waste. Sci. Total Environ. 2018, 622–623, 1258–1264. [Google Scholar] [CrossRef] [PubMed]
- Herrera, M.; Matuschek, G.; Kettrup, A. Thermal degradation of thermoplastic polyurethane elastomers (TPU) based on MDI. Polym. Degrad. Stab. 2002, 78, 323–331. [Google Scholar] [CrossRef]
- Jansson, S.; Fick, J.; Tysklind, M.; Marklund, S. Post-combustion formation of PCDD, PCDF, PCBz, and PCPh in a laboratory-scale reactor: Influence of dibenzo-p-dioxin injection. Chemosphere 2009, 76, 818–825. [Google Scholar] [CrossRef] [PubMed]
- Kaivosoja, T.; Virén, A.; Tissari, J.; Ruuskanen, J.; Tarhanen, J.; Sippula, O.; Jokiniemi, J. Effects of a catalytic converter on PCDD/F, chlorophenol and PAH emissions in residential wood combustion. Chemosphere 2012, 88, 278–285. [Google Scholar] [CrossRef] [PubMed]
- Conesa, J.A.; Rey, L.; Egea, S.; Rey, M.D. Pollutant formation and emissions from cement kiln stack using a solid recovered fuel from municipal solid waste. Environ. Sci. Technol. 2011, 45, 5878–5884. [Google Scholar] [CrossRef] [PubMed]


| Sample | Composition |
|---|---|
| MIX | PP, PE, PET and Nylon (25 wt % each) |
| MIX_TUA | 97% MIX |
| 3% thiourea (TUA) | |
| MIX_NaCl | 50% MIX |
| 50% NaCl | |
| MIX_NaCl_Fe2O3 | 50% MIX |
| 45% NaCl | |
| 5% Fe2O3 | |
| MIX_NaCl_CuO | 50% MIX |
| 45% NaCl | |
| 5% CuO |
| Sample | MIX | MIX_TUA | MIX_NaCl | MIX_NaCl_Fe2O3 | MIX_NaCl_CuO |
|---|---|---|---|---|---|
| Compound | mg/kg Sample | ||||
| Analysis by GC-TCD | |||||
| Hydrogen | nd | nd | 1900 | 1830 | 1730 |
| Carbon dioxide | 1,690,000 | 1,400,000 | 137,000 | 243,000 | 268,000 |
| Carbon monoxide | 417,000 | 352,000 | 237,000 | 180,000 | 189,000 |
| RCO = CO/(CO + CO2) | 0.198 | 0.200 | 0.633 | 0.426 | 0.413 |
| Analysis by GC-FID | |||||
| Methane | 26,200 | nd | 57,100 | 49,000 | 45,600 |
| Ethane | 1470 | 21,400 | 4900 | 5250 | 5020 |
| Ethylene | 53,400 | 60,900 | 129,000 | 124,000 | 117,000 |
| Propane | nd | 5520 | 395 | 550 | 564 |
| Propylene | nd | nd | 146 | 195 | 193 |
| Isobutane | 29,500 | nd | 11,500 | 11,700 | 11,500 |
| Acetylene | nd | nd | nd | 10,700 | nd |
| n-butane | 1220 | nd | 1300 | 1680 | 1540 |
| 1-butene | 1.280 | nd | 5.250 | 8.060 | 4.470 |
| Trans-2-butene | nd | nd | nd | nd | 1150 |
| Isobutene | 395 | 2120 | 1210 | 1400 | 501 |
| Cis-2-butene | nd | 2470 | 144 | 1500 | 1820 |
| Isopentane | nd | nd | nd | nd | nd |
| n-pentane | nd | nd | nd | nd | 65 |
| Propyne | 2000 | nd | 11,100 | 13,400 | 15,900 |
| 1,3-butadiene | 1760 | nd | nd | nd | nd |
| 1-pentene | nd | nd | nd | nd | nd |
| 2-butine | 1420 | nd | 770 | 970 | 909 |
| 1-butine | nd | nd | 752 | 111 | 85 |
| n-hexane | nd | nd | 1800 | 2190 | 1420 |
| 1-hexene | nd | nd | nd | nd | nd |
| Cis-2-hexene | nd | nd | nd | nd | nd |
| n-heptane | nd | nd | nd | nd | nd |
| Bencene | nd | nd | nd | nd | nd |
| 1-heptene | nd | nd | nd | nd | nd |
| Isooctane | nd | nd | nd | nd | nd |
| Toluene | 1410 | 3140 | 915 | 1440 | 1170 |
| Xylenes (p-,m-,o-) | nd | nd | nd | nd | nd |
| Total | 119,000 | 95,600 | 221,000 | 224,000 | 204,000 |
| Isomer | ClPh | MIX | MIX_TUA | MIX_NaCl | MIX_NaCl_Fe2O3 | MIX_NaCl_CuO |
|---|---|---|---|---|---|---|
| MONO- | 2- | 0.123 | 0.128 | 0.386 | 0.391 | 0.445 |
| 3- + 4- | 106 | 64 | 141 | 245 | 223 | |
| DI- | 2,4- | 0.882 | 0.038 | 0.194 | 0.255 | 0.287 |
| 2,5- | 0.549 | 0.005 | 0.011 | 0.070 | 0.037 | |
| 2,3- | 0.458 | 0.005 | 0.017 | 0.021 | 0.030 | |
| 2,6- | 0.045 | 0.005 | 0.018 | 0.027 | 0.020 | |
| 3,5- | 0.247 | 0.202 | 0.209 | 0.235 | 0.295 | |
| 3,4- | 0.152 | 0.143 | 0.468 | 0.608 | 0.581 | |
| TRI- | 2,3,5- | 0.081 | 0.030 | 0.052 | 0.116 | 0.093 |
| 2,4,6- | 0.033 | 0.007 | 0.017 | 0.031 | 0.027 | |
| 2,4,5- | 0.012 | 0.004 | 0.007 | 0.012 | 0.009 | |
| 2,3,4- | 0.010 | 0.002 | 0.003 | 0.007 | 0.008 | |
| 2,3,6- | 0.013 | 0.004 | 0.005 | 0.005 | 0.003 | |
| 3,4,5- | 0.743 | 0.097 | 0.851 | 1.032 | 1.437 | |
| TETRA- | 2,3,5,6- | 0.040 | 0.012 | 0.015 | 0.011 | 0.023 |
| 2,3,4,5- | 0.053 | 0.016 | 0.018 | 0.025 | 0.134 | |
| 2,3,4,6- | 0.021 | 0.002 | 0.003 | 0.001 | 0.008 | |
| PENTA- | penta- | 0.075 | 0.037 | 0.036 | 0.047 | 0.149 |
| Total | 110 | 65 | 143 | 248 | 226 |
| BrPh | MIX | MIX_TUA | MIX_NaCl | MIX_NaCl_Fe2O3 | MIX_NaCl_CuO | |
|---|---|---|---|---|---|---|
| MONO- | 2- | 0.021 | 0.010 | 0.036 | 0.054 | 0.016 |
| 3- + 4- | 0.025 | 0.008 | 0.073 | 0.141 | 0.050 | |
| DI- | 2,4- | 0.016 | 0.016 | 0.026 | 0.022 | 0.032 |
| 2,3- + 2,5- | 0.004 | 0.003 | 0.003 | 0.002 | 0.004 | |
| 2,6- | 0.013 | 0.015 | 0.015 | 0.015 | 0.017 | |
| 3,5- | 0.033 | 0.009 | 0.012 | 0.011 | 0.011 | |
| 3,4- | 0.311 | 0.441 | 0.277 | 0.349 | 0.266 | |
| TRI- | 2,3,5- | 0.010 | 0.007 | 0.006 | 0.005 | 0.003 |
| 2,4,6- | 0.020 | 0.010 | 0.009 | 0.010 | 0.007 | |
| 2,3,4- | 0.047 | 0.033 | 0.011 | 0.032 | 0.017 | |
| 2,4,5- | 0.001 | 0.001 | 0.002 | 0.003 | 0.001 | |
| 2,3,6- | 0.006 | 0.004 | 0.003 | 0.003 | 0.001 | |
| 3,4,5- | 0.039 | 0.013 | 0.021 | 0.030 | 0.030 | |
| TETRA- | 2,3,5,6- | 0.027 | 0.017 | 0.011 | 0.011 | 0.008 |
| 2,3,4,5- + 2,3,4,6- | 0.029 | 0.012 | 0.008 | 0.009 | 0.007 | |
| PENTA- | penta- | nd | nd | nd | nd | nd |
| Total | 0.602 | 0.599 | 0.514 | 0.696 | 0.470 |
© 2018 by the authors. Licensee MDPI, Basel, Switzerland. This article is an open access article distributed under the terms and conditions of the Creative Commons Attribution (CC BY) license (http://creativecommons.org/licenses/by/4.0/).
Share and Cite
Iñiguez, M.E.; Conesa, J.A.; Fullana, A. Effect of Sodium Chloride and Thiourea on Pollutant Formation during Combustion of Plastics. Energies 2018, 11, 2014. https://doi.org/10.3390/en11082014
Iñiguez ME, Conesa JA, Fullana A. Effect of Sodium Chloride and Thiourea on Pollutant Formation during Combustion of Plastics. Energies. 2018; 11(8):2014. https://doi.org/10.3390/en11082014
Chicago/Turabian StyleIñiguez, María E., Juan A. Conesa, and Andrés Fullana. 2018. "Effect of Sodium Chloride and Thiourea on Pollutant Formation during Combustion of Plastics" Energies 11, no. 8: 2014. https://doi.org/10.3390/en11082014
APA StyleIñiguez, M. E., Conesa, J. A., & Fullana, A. (2018). Effect of Sodium Chloride and Thiourea on Pollutant Formation during Combustion of Plastics. Energies, 11(8), 2014. https://doi.org/10.3390/en11082014

