A New Lumped Parameter Model for Natural Gas Pipelines in State Space
Abstract
:1. Introduction
- The equivalent transfer functions are derived from the governing equations;
- The series form of the models in the time domain is obtained using the convolution theorem;
- A few dominant flow eigenmodes are used to construct an efficient reduced-order model, i.e., ODE (ordinary differential equation) model.
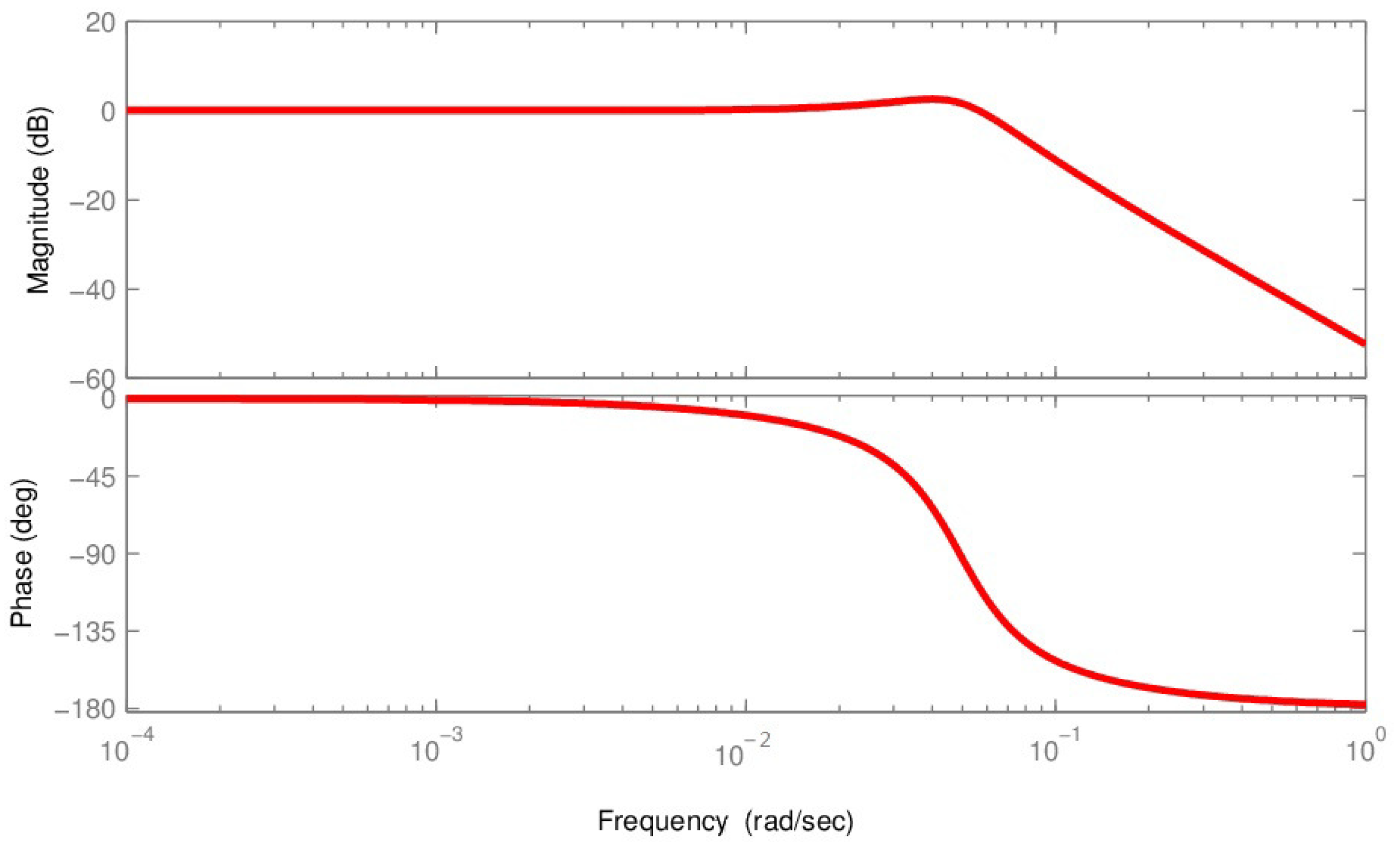
2. Mathematical Models
2.1. Mechanism Model
2.2. Transfer Function Model
- The variation in gas temperature is negligible. The gas temperature is assumed to beconstant in space and time and is equal to the ground temperature;
- The influence of the convective term is negligible in the momentum equation because of the typically small flow velocities in gas transport pipelines (u ≤ 15 m/s).
2.3. State Space Model
3. Examples
3.1. Example I—Step Response of Models
- The final pressure was MPa;
- There was a delay of about 200 s in the models;
- Our model was closer to the SPS simulation result;
- There was no sharp impulse of flow rate change in our model as in the SPS result.
3.2. Example II—Response to Complicated Inputs
3.3. Example III—A Pipeline Network
4. Conclusions
Author Contributions
Funding
Acknowledgments
Conflicts of Interest
References
- Behrooz, H.; Boozarjomehry, R. Modeling and state estimation for gas transmission networks. J. Nat. Gas Sci. Eng. 2015, 22, 551–570. [Google Scholar] [CrossRef]
- Sukharev, M.; Kosova, K. A Parameter Identification Method for Natural Gas Supply Systems under Unsteady Gas Flow. Autom. Remote Control 2017, 78, 882–890. [Google Scholar] [CrossRef]
- Modisette, J. State Estimation of Pipeline Models using the Ensemble Kalman Filter. In Proceedings of the PSIG Annual Meeting, Prague, Czech Republic, 16–19 April 2013. [Google Scholar]
- Modisette, J. State Estimation in Online Models. In Proceedings of the PSIG Annual Meeting, Galveston, TX, USA, 12–15 May 2009. [Google Scholar]
- Szoplik, J. Improving the natural gas transporting based on the steady state simulation results. Energy 2016, 109, 105–116. [Google Scholar] [CrossRef]
- Aalto, H. Transfer Functions for Natural Gas Pipeline Systems. IFAC Proc. Vol. 2008, 41, 889–894. [Google Scholar] [CrossRef]
- Ibraheem, S.; Adewumi, M. Higher-resolution numerical solution for 2-D transient natural gas pipeline flows. In Proceedings of the SPE Gas Technology Symposium, Calgary, AB, Canada, 28 April–1 May 1996; pp. 473–482. [Google Scholar]
- Sanada, K.; Kitagawa, A. Robust control of a closed-loop pressure control system considering pipeline dynamics. Trans. Jpn. Soc. Mech. Eng. C 2011, 3, 3559–3566. [Google Scholar] [CrossRef]
- Uilhoorn, F. State-space estimation with a Bayesian filter in a coupled PDE system for transient gas flows. Appl. Math. Model. 2015, 39, 682–692. [Google Scholar] [CrossRef]
- Alamian, R.; Behbahani-Nejad, M.; Ghanbarzadeh, A. A state space model for transient flow simulation in natural gas pipelines. J. Nat. Gas Sci. Eng. 2012, 9, 51–59. [Google Scholar] [CrossRef]
- Herran-Gonzalez, A.; Cruz, J.; Andres-Toro, B.; Risco-Martín, J.L. Modeling and simulation of a gas distribution pipeline network. Appl. Math. Model. 2009, 33, 1584–1600. [Google Scholar] [CrossRef]
- Behbahani-Nejad, M.; Bagheri, A. The accuracy and efficiency of a MATLAB-Simulink library for transient flow simulation of gas pipelines and networks. J. Pet. Sci. Eng. 2010, 70, 256–265. [Google Scholar] [CrossRef]
- Reddy, H.; Narasimhan, S.; Bhallamudi, S. Simulation and State Estimation of Transient Flow in Gas Pipeline Networks Using a Transfer Function Model. Ind. Eng. Chem. Res. 2006, 45, 3853–3863. [Google Scholar] [CrossRef]
- Behbahani-Nejad, M.; Shekari, Y. Reduced order modeling of natural gas transient flow in pipelines. Int. J. Eng. Appl. Sci. 2008, 5, 148–152. [Google Scholar]
- White, F. Fluid Mechanics; McGraw-Hill: New York, NY, USA, 1986. [Google Scholar]
- Kralik, J.; Stiegler, P.; Vostry, Z.; Zavorka, J. Dynamic Modeling of Large-Scale Networks with Application to Gas Distribution, 1st ed.; Institution of Information Theory and Automation of the Czechoslovak Academy of Sciences: Prague, Czechoslovakia, 1998. [Google Scholar]
- Aalto, H. Model reduction for natural gas pipeline systems. Large Scale Complex Syst. Theory Appl. 2010, 43, 468–473. [Google Scholar] [CrossRef]










| Length (km) | Diameter (mm) | Temperature (C) | Specific Gravity (-) | Roughness (mm) |
|---|---|---|---|---|
| 60 | 660 | 21 | 0.55 | 0.012 |
| Length (km) | Diameter (mm) | Temperature (C) | Specific Gravity (-) | Roughness (mm) |
|---|---|---|---|---|
| 50 | 750 | 10 | 0.675 | 0.217 |
| From | To | Diameter (m) | Length (km) | Roughness (mm) |
|---|---|---|---|---|
| node | node | |||
| 1 | 3 | 600 | 80 | 0.012 |
| 1 | 2 | 600 | 90 | 0.012 |
| 2 | 3 | 600 | 100 | 0.012 |
© 2018 by the authors. Licensee MDPI, Basel, Switzerland. This article is an open access article distributed under the terms and conditions of the Creative Commons Attribution (CC BY) license (http://creativecommons.org/licenses/by/4.0/).
Share and Cite
Wen, K.; Xia, Z.; Yu, W.; Gong, J. A New Lumped Parameter Model for Natural Gas Pipelines in State Space. Energies 2018, 11, 1971. https://doi.org/10.3390/en11081971
Wen K, Xia Z, Yu W, Gong J. A New Lumped Parameter Model for Natural Gas Pipelines in State Space. Energies. 2018; 11(8):1971. https://doi.org/10.3390/en11081971
Chicago/Turabian StyleWen, Kai, Zijie Xia, Weichao Yu, and Jing Gong. 2018. "A New Lumped Parameter Model for Natural Gas Pipelines in State Space" Energies 11, no. 8: 1971. https://doi.org/10.3390/en11081971
APA StyleWen, K., Xia, Z., Yu, W., & Gong, J. (2018). A New Lumped Parameter Model for Natural Gas Pipelines in State Space. Energies, 11(8), 1971. https://doi.org/10.3390/en11081971

