A Novel Hierarchical Control Strategy for Low-Voltage Islanded Microgrids Based on the Concept of Cyber Physical System
Abstract
:1. Introduction
- (1)
- Design an event-triggered secondary control strategy to control the output voltage and frequency of each DER. The event-trigger mechanism is designed in physical layer at first. When the trigger conditions in mechanism are not met, only the droop control (i.e., the primary control) is used to control the voltage and frequency. Otherwise, a virtual leader-following consensus control method will be designed in cyber layer to accomplish the secondary control on DERs.
- (2)
- Design the method of double virtual impedance in physical layer to decouple the system and share the reactive power among DERs reasonably (i.e., share the reactive power among DERs according to the capacity ration of DERs). The first virtual impedance is used to ensure the output voltage which through the DER’s output impedance and the first virtual impedance to be the same value. The second virtual impedance is used to decouple the control system in dq coordinate system (to make sure the droop control can be applied in a low-voltage microgrid) and share the reactive power of DERs proportionally.
- (3)
- Design the method combined with sliding mode control (SMC) and the consensus control without leader to suppress circumfluence. The specific design process is as below: first, Kirchhoff’s voltage law and Kirchhoff’s current law are used to construct the model of the physical layer. Then, the SMC is used to eliminate the disturbance caused by double virtual impedance and parameter perturbation. Afterwards, the consensus control method is used to design the coordinate controller. Finally, the effectiveness of the proposed controller is proved by using Lyapunov theory, and the circumfluence can be suppressed by using this controller.
2. The Design of the Hierarchical Control Strategy
3. The Design of the Secondary Controller
3.1. The Design of the Event-Trigger Mechanism on Voltage
3.2. The Design of the Secondary Control on Voltage
4. The Design of the Method of Double Virtual Impedance
5. The Design of the Coordinated Controller to Suppress Circumfluence
5.1. Construct the Circuit Model of Connected Distributed Energy Resources (DERs)
5.2. The Design of Suppressing the Circumfluence
5.2.1. The Design of Sliding Mode Control (SMC)
Reaching Time
Sliding Time
5.2.2. The Design of Coordinated Controller
6. Simulation Study
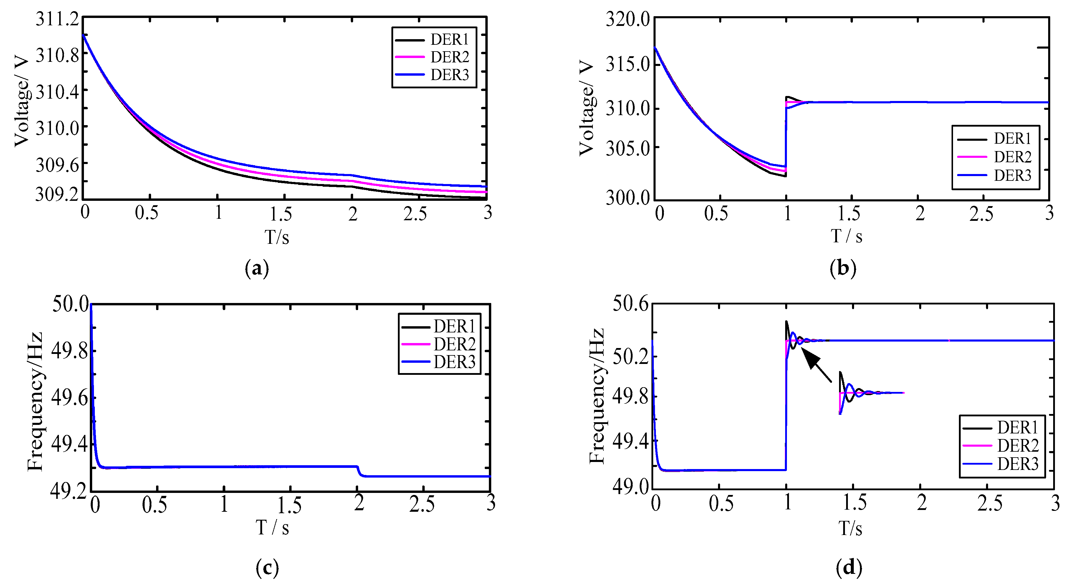
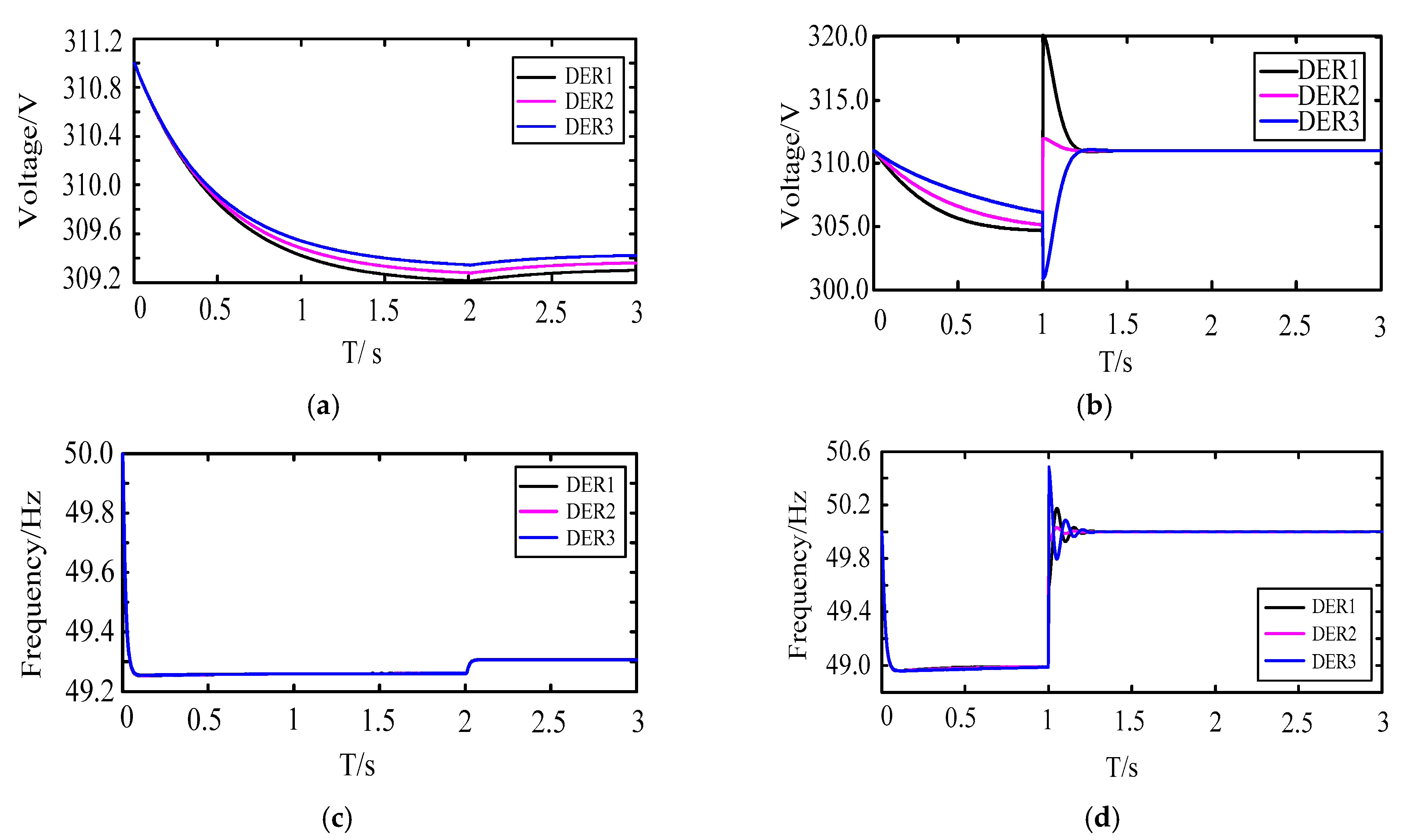
6.1. Case1: Verify the Control Effect by the Event-Triggered Secondary Control
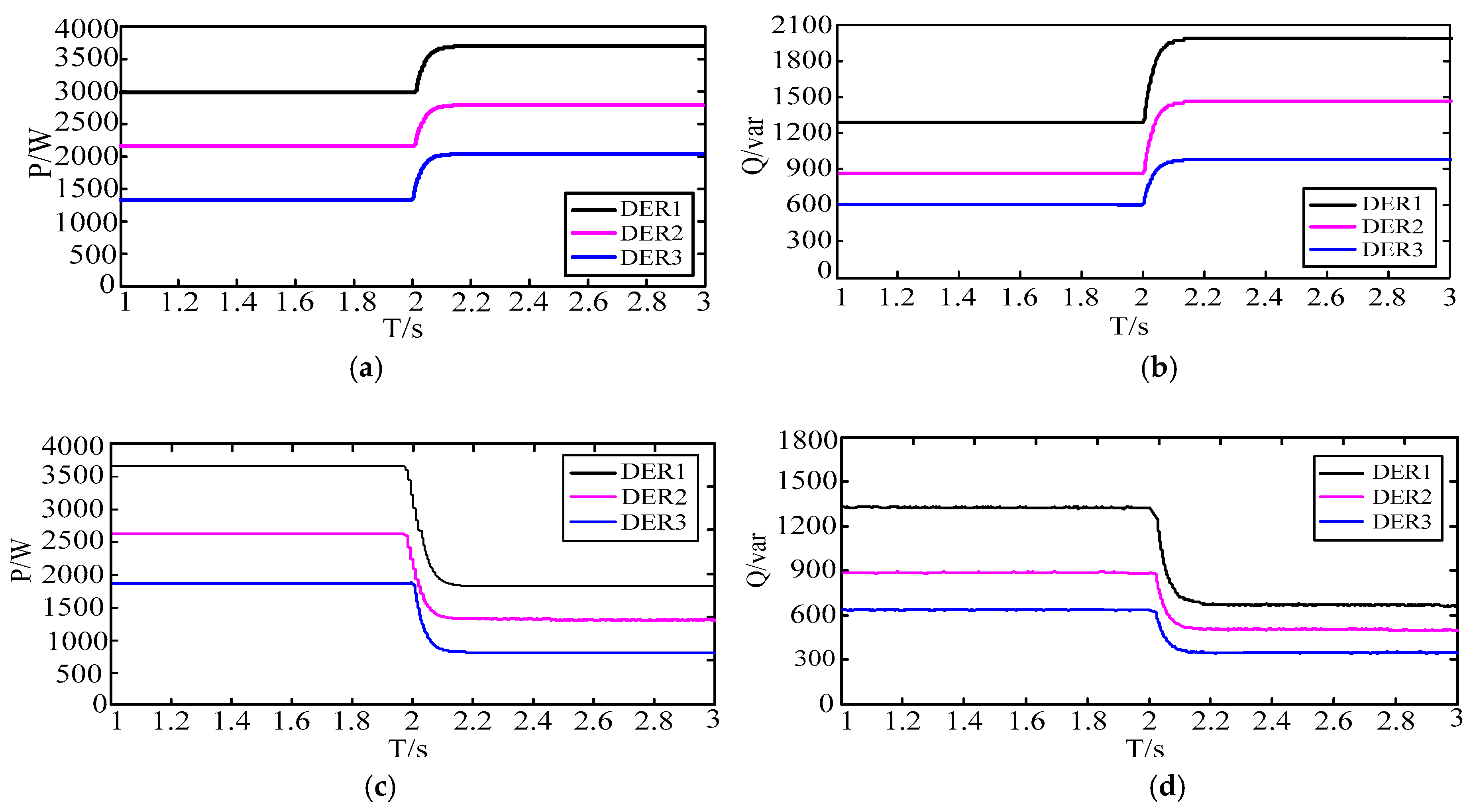
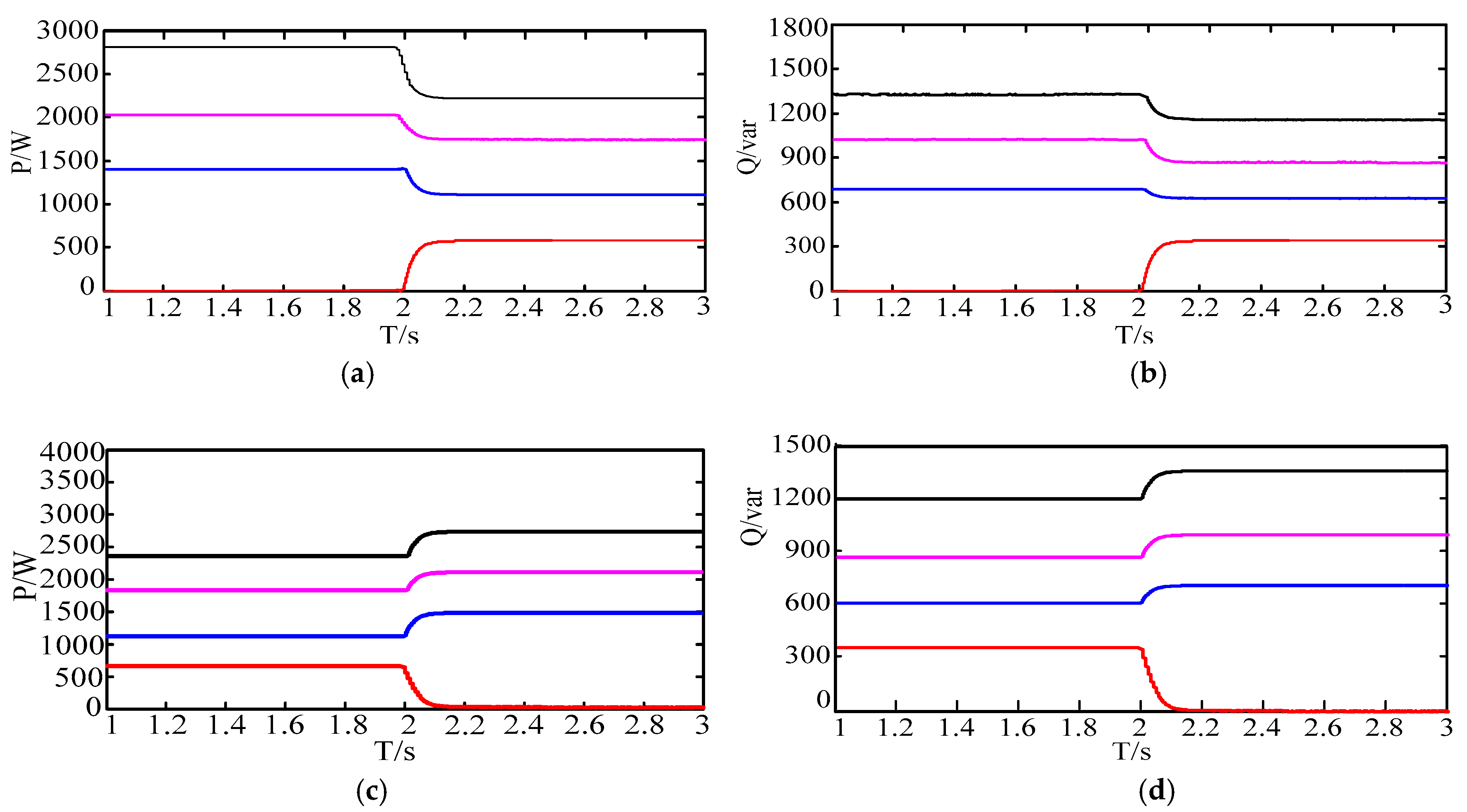
6.2. Case2: Verify the Control Effect on Power Distribution
6.3. Case3: Verify the Effect on Supressing Circumfluence
7. Conclusions
- (1)
- An event-triggered secondary control strategy is proposed to improve the control effect on voltages and frequency obtained by droop control of DERs.
- (2)
- A method of double virtual impedance is proposed to share the reactive power according to the capacity ration of DERs in microgrid system.
- (3)
- A method combined with SMC and the consensus control without leader is used to suppress the circumfluence in microgrid system.
Author Contributions
Acknowledgments
Conflicts of Interest
Appendix A. Theory Basic
Appendix B. The Proof of the Theorem 1 Proposed in Section 5
References
- Guo, X.; Yang, Y.; Zhu, T. ESI: A novel three-phase inverter with leakage current attenuation for transformerless PV systems. IEEE Trans. Ind. Electron. 2018, 65, 2967–2974. [Google Scholar] [CrossRef]
- Guo, X. A novel CH5 inverter for single-phase transformerless photovoltaic system applications. IEEE Trans. Circuits Syst. 2017, 64, 1197–1201. [Google Scholar] [CrossRef]
- Katiraei, F.; Iravani, M.R. Power management strategies for a microgrid with multiple distributed generation units. IEEE Trans. Power Syst. 2006, 21, 1821–1831. [Google Scholar] [CrossRef]
- Guo, X.; Xu, D.; Guerrero, J.M.; Wu, B. Space vector modulation for DC-link current ripple reduction in back-to-back current-source converters for microgrid applications. IEEE Trans. Ind. Electron. 2015, 62, 6008–6013. [Google Scholar] [CrossRef]
- Elrayyah, A.; Cingoz, F.; Sozer, Y. Construction of Nonlinear Droop Relations to Optimize Islanded Microgrid Operation. IEEE Trans. Ind. Appl. 2015, 50, 3404–3413. [Google Scholar] [CrossRef]
- Guo, X.; Yang, Y.; Wang, X. Advanced control of grid-connected current source converter under unbalanced grid voltage conditions. IEEE Trans. Ind. Electron. 2019. [Google Scholar] [CrossRef]
- Cagnano, A.; Tuglie, E.D. A decentralized voltage controller involving PV generators based on lyapunov theory. Renew. Energy 2016, 86, 664–674. [Google Scholar] [CrossRef]
- Vahidreza, N.; Ali, D.; Frank, L.; Guerrero, J.M. Distributed adaptive droop control for DC distribution systems. IEEE Trans. Energy Convers. 2014, 29, 944–956. [Google Scholar] [CrossRef]
- Dou, C.X.; Zhang, Z.Q.; Yue, D.; Song, M.M. Improved droop control based on virtual impedance and virtual power source in low voltage microgrid. IET-Gener. Transm. Distrib. 2017, 11, 1046–1054. [Google Scholar] [CrossRef]
- Wu, T.; Liu, Z.; Liu, J.; Wang, S.; You, Z. A unified virtual power decoupling method for droop-controlled parallel inverters in microgrids. IEEE Trans. Power Electron. 2016, 31, 5587–5603. [Google Scholar] [CrossRef]
- Cagnano, A.; Tuglie, E.D.; Dicorato, M.; Forte, G.; Trovato, M. PV plants for voltage regulation in distribution networks. In Proceedings of the IEEE Universities Power Engineering Conference, London, UK, 4–7 September 2012; pp. 1–5. [Google Scholar] [CrossRef]
- Cagnano, A.; Tuglie, E.D.; Liserre, M.; Mastromauro, R.A. Online optimal reactive power control strategy of PV inverters. IEEE Trans. Ind. Electron. 2011, 58, 4549–4558. [Google Scholar] [CrossRef]
- Kahrobaeian, A.; Ibrahim, M.A.R. Networked-Based Hybrid Distributed Power Sharing and Control for Islanded Microgrid Systems. IEEE Trans. Power Electron. 2015, 30, 603–617. [Google Scholar] [CrossRef]
- Anand, S.; Fernandes, B.G.; Guerrero, J.M. Distributed control to ensure proportional load sharing and improve voltage regulation in low voltage DC microgrid. IEEE Trans. Power Electron. 2013, 28, 1900–1913. [Google Scholar] [CrossRef]
- Li, Y.; Shi, X.Y.; Fan, X.P. A control strategy for suppressing harmonics and circumfluence in islanded microgrid. In Proceedings of the Chinese Control and Decision Conference, Dalian, China, 26–28 July 2017; pp. 3132–3236. [Google Scholar] [CrossRef]
- Mo, Y.; Kim, T.H.J.; Brancik, K.; Dickinson, D.; Lee, H.; Perrig, A.; Sinopoli, B. Cyber-physical security of a smart grid infrastructure. Proc. IEEE 2012, 100, 195–209. [Google Scholar] [CrossRef]
- Siddharth, S.; Adam, H.; Manimaran, G. Cyber-physical system security for the electric power grid. Proc. IEEE 2012, 100, 210–224. [Google Scholar] [CrossRef]
- Bidram, A.; Davoudi, A. Hierarchical structure of microgrids control system. IEEE Trans. Smart Grid 2012, 3, 1963–1976. [Google Scholar] [CrossRef]
- Liu, W.; Gu, W.; Sheng, W.X.; Meng, X.L.; Wu, Z.J.; Chen, W. Decentralized multi-agent System based cooperative frequency control for autonomous Microgrids with communication constraints. IEEE Trans. Sustain. Energy 2014, 5, 446–456. [Google Scholar] [CrossRef]
- Wang, Z.G.; Wu, W.C.; Zhang, B.M. A fully distributed power dispatch method for fast frequency recovery and minimal generation cost in autonomous microgrids. IEEE Trans. Smart Grid 2016, 7, 19–31. [Google Scholar] [CrossRef]
- Wang, P.B.; Lu, X.N.; Yang, X.; Wang, W.; Xu, D.G. An improved distributed secondary control method for DC microgrids with enhanced dynamic current sharing performance. IEEE Trans. Power Electron. 2016, 31, 6658–6673. [Google Scholar] [CrossRef]
- Bidram, A.; Davoudi, A.; Lewis, F.L.; Qu, Z.H. Secondary control of microgrids based on distributed cooperative control of multi-agent systems. IET-Gener. Transm. Distrib. 2013, 7, 822–831. [Google Scholar] [CrossRef]
- Guo, F.; Wen, C.; Mao, J.; Song, Y.D. Distributed secondary voltage and frequency restoration control of droop-controlled inverter-based microgrids. IEEE Trans. Ind. Electron. 2015, 62, 4355–4364. [Google Scholar] [CrossRef]
- Kim, K.D.; Kumar, P.R. Cyber-Physical systems: A perspective at the centennial. Proc. IEEE 2012, 100, 1287–1308. [Google Scholar] [CrossRef]
- Dou, C.X.; Zhang, B.; Yue, D.; Zhang, Z.Q.; Xu, S.Y.; Hayat, T.; Alsaedi, A. A novel hierarchical control strategy combined with sliding mode control and consensus control for islanded micro-grid. IET-Renew. Power Gener. 2018, 12, 1012–1024. [Google Scholar] [CrossRef]
- You, X.; Hua, C.C.; Peng, D.; Guan, X.P. Leader–following consistency for multi-agent systems subject to actuator saturation with switching topologies and time-varying delays. IET Control Theory Appl. 2016, 10, 144–150. [Google Scholar] [CrossRef]
- Dou, C.X.; Zhang, Z.Q.; Yue, D.; Gao, H.X. An Improved Droop Control Strategy Based on Changeable Reference in Low-Voltage Microgrids. Energies 2017, 10, 1080. [Google Scholar] [CrossRef]












| Parameter | Description | Parameter | Description |
|---|---|---|---|
| Power | Line impedance | ||
| Wave filter | |||
| Load1 (always on) | Reference value | ||
| Load2 | Droop coefficient | ||
| Gains in consistency protocol |
© 2018 by the authors. Licensee MDPI, Basel, Switzerland. This article is an open access article distributed under the terms and conditions of the Creative Commons Attribution (CC BY) license (http://creativecommons.org/licenses/by/4.0/).
Share and Cite
Yang, Q.; Yuan, D.; Guo, X.; Zhang, B.; Zhi, C. A Novel Hierarchical Control Strategy for Low-Voltage Islanded Microgrids Based on the Concept of Cyber Physical System. Energies 2018, 11, 1835. https://doi.org/10.3390/en11071835
Yang Q, Yuan D, Guo X, Zhang B, Zhi C. A Novel Hierarchical Control Strategy for Low-Voltage Islanded Microgrids Based on the Concept of Cyber Physical System. Energies. 2018; 11(7):1835. https://doi.org/10.3390/en11071835
Chicago/Turabian StyleYang, Qiuxia, Dongmei Yuan, Xiaoqiang Guo, Bo Zhang, and Cheng Zhi. 2018. "A Novel Hierarchical Control Strategy for Low-Voltage Islanded Microgrids Based on the Concept of Cyber Physical System" Energies 11, no. 7: 1835. https://doi.org/10.3390/en11071835
APA StyleYang, Q., Yuan, D., Guo, X., Zhang, B., & Zhi, C. (2018). A Novel Hierarchical Control Strategy for Low-Voltage Islanded Microgrids Based on the Concept of Cyber Physical System. Energies, 11(7), 1835. https://doi.org/10.3390/en11071835
