Experimental Study on Trap Characteristics of Nano-Montmorillonite Composite Pressboards
Abstract
:1. Introduction
2. Materials and Experiment
2.1. Sample Preparation
2.2. Measurement System
3. Results
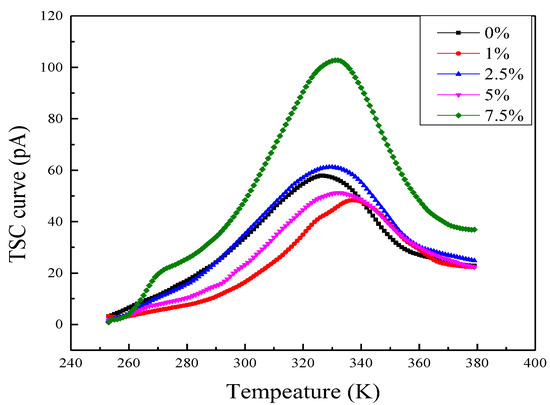
3.1. Effect of Nano Doping on Thermally Stimulated Current
3.2. Effect of Trap Characteristics on Electric Breakdown Strength
3.3. Space Charge Characteristics
4. Discussion
4.1. Calculation of Trap Parameters
4.2. Effect of Trap Parameters on Electric Breakdown Strength
4.3. Effect of Trap Parameters on Space Charge
5. Conclusions
- (1)
- Nano-particles in dielectric mediums remain the base material and have benign dispersibility.
- (2)
- The appropriate nano-particle content reduces the trap density and increases the trap energy level.
- (3)
- DC electric breakdown strength initially increases and then decreases as the nano-composite content increases. High nano-composite content increases trap density and trapping charges release more energy to destroy fibrous structures, so electric breakdown strength is reduced.
- (4)
- Traps are the main reason for space charge accumulation. Trap parameters change with different doping content, which cause a variety of space charge accumulations as proven by the second conclusion listed above.
Author Contributions
Funding
Acknowledgments
Conflicts of Interest
References
- Deng, Y. Analysis on insulation structure of converter transformer. High Volt. Appar. 2011, 47, 53–59. [Google Scholar] [CrossRef]
- Liu, G.; Li, L.; Li, W.; Li, B.; Sun, Y.; Li, J. Analysis of nonlinear electric field of converter transformer under polarity reversal voltage. High Volt. Eng. 2012, 38, 451–456. [Google Scholar] [CrossRef]
- Zeng, L.; Wu, Z. The finite analysis of the large-scale converter transformer valve side of the electric field. Appl. Mech. Mater. 2013, 325–326, 476–479. [Google Scholar] [CrossRef]
- Liu, K.; Li, X.; Feng, Z. Analysis and treatment of short circuit ring of interleaved winding in converter transformer. Transformer 2016, 53, 68–71. [Google Scholar] [CrossRef]
- Zhang, X.; Guo, N.; Gao, J. Phase morphology of exfoliated epoxy/MMT nanocomposite. High Volt. Eng. 2009, 35, 282–289. [Google Scholar] [CrossRef]
- Liao, R.; Lu, Y.; Yang, L.; Li, J.; Sun, C. Numerical calculation of the trap depth for space charge in polymer insulators. Insul. Mater. 2006, 39, 51–54. [Google Scholar] [CrossRef]
- Liao, R.; Zhou, T.; George, C.; Yang, L. A space charge trapping model and its parameters in polymeric material. Acta Phys. Sin. 2012, 61, 017201. [Google Scholar] [CrossRef]
- Hao, J.; Huang, B.; Chen, G.; Fu, J.; Wu, G.; Wang, Q. Space charge accumulation behavior of multilayer structure oil-paper insulation and its effect on electric field distribution. High. Volt. Eng. 2017, 43, 1973–1979. [Google Scholar] [CrossRef]
- Tian, F.; Bu, W.; Shi, L.; Yang, C.; Wang, Y.; Lei, Q. Theory of modified thermally stimulated current and direct determination of trap level distribution. J. Electrostat. 2010, 68, 243–248. [Google Scholar] [CrossRef]
- Lin, L.; Zhang, M. The breakdown character of thin oxide film and critical trap density. Acta. Electron. Sin. 2000, 28, 59–62. [Google Scholar] [CrossRef]
- Zhou, T.; Chen, G.; Liao, R. Charge trapping and detrapping in polymeric materials: Trapping parameters. J. Appl. Phys. 2009, 106, 637–644. [Google Scholar] [CrossRef]
- Zhang, X.; Gao, J.; Guo, N.; Zhang, J.; Liu, Y.; Hu, H. Influences of nano-montmorillonite on breakdown and electrical conductivity of polyethylene. High Volt. Eng. 2009, 35, 129–134. [Google Scholar] [CrossRef]
- Zhang, M.; Sun, T.; Zhang, X.; Hu, C.; Hu, Q.; Wang, Z. Study of preparation and properties of organo-mantmorillonite modified epoxy nanocomposite. Trans. China Electrotech. Soc. 2006, 21, 29–34. [Google Scholar] [CrossRef]
- Chen, Q.; Liu, H.; Zhuge, X.; Zhuge, X.; Wei, X. Analysis of dielectric properties and electric field homogenization of modified insulation pressboard based on nano SiC. Proc. CSEE 2014, 18, 79–84. [Google Scholar] [CrossRef]
- Chen, Q.; Liu, H.; Chi, M.; Wang, Y.; Wei, X. Experimental study on influence of trap parameters on dielectric characteristics of nano-modified insulation pressboard. Materials 2017, 10, 90. [Google Scholar] [CrossRef] [PubMed]
- Wang, Y.; Zhou, Y.; Li, G.; Wang, N.; Liu, Y.; Sun, Q.; Li, B.; Li, P.; Cheng, H. Space charge phenomena in oil-paper insulation materials under high voltage direct current. High Volt. Eng. 2008, 34, 873–877. [Google Scholar] [CrossRef]
- Zhou, K.; Wu, G.; Deng, T.; Wu, J.; Tong, L. The measurement of TSC in nano composite insulation. Proc. CSEE 2007, 27, 76–82. [Google Scholar] [CrossRef]
- Tian, F.; Bu, W.; Yang, C.; Han, B.; Wang, Y.; Lei, Q. Investigation of existing problems in thermally stimulated current measurement technique. Trans. China Electrotech. Soc. 2010, 25, 21–28. [Google Scholar] [CrossRef]
- Cai, J.; Chen, H. Aging diagnosis of oil-paper insulation based on trap density spectrum. High Volt. Eng. 2017, 43, 2574–2581. [Google Scholar] [CrossRef]
- Hao, J.; Liao, R.; Chen, G.; Yan, J. Influence of oil aging on the formation and migration behavior of space charge in oil-paper insulation dielectrics. Proc. CSEE 2012, 32, 173–181. [Google Scholar]










| Filling rate of MMT (%) | 0% | 1.0% | 2.5% | 5% | 7.5% |
| Eb (kV/mm) | 187 | 218 | 158 | 155 | 156 |
© 2018 by the authors. Licensee MDPI, Basel, Switzerland. This article is an open access article distributed under the terms and conditions of the Creative Commons Attribution (CC BY) license (http://creativecommons.org/licenses/by/4.0/).
Share and Cite
Chen, Q.; Sun, J.; Chi, M.; Zhang, J.; Tan, P. Experimental Study on Trap Characteristics of Nano-Montmorillonite Composite Pressboards. Energies 2018, 11, 1732. https://doi.org/10.3390/en11071732
Chen Q, Sun J, Chi M, Zhang J, Tan P. Experimental Study on Trap Characteristics of Nano-Montmorillonite Composite Pressboards. Energies. 2018; 11(7):1732. https://doi.org/10.3390/en11071732
Chicago/Turabian StyleChen, Qingguo, Jiaxin Sun, Minghe Chi, Jinfeng Zhang, and Peng Tan. 2018. "Experimental Study on Trap Characteristics of Nano-Montmorillonite Composite Pressboards" Energies 11, no. 7: 1732. https://doi.org/10.3390/en11071732
APA StyleChen, Q., Sun, J., Chi, M., Zhang, J., & Tan, P. (2018). Experimental Study on Trap Characteristics of Nano-Montmorillonite Composite Pressboards. Energies, 11(7), 1732. https://doi.org/10.3390/en11071732

