Abstract
In this paper, a hybrid ship powered by diesel generator sets and power batteries in series is considered. By analyzing the characteristics of hybrid ship cycle operating conditions, the load power of the hybrid ship under load uncertainty is firstly predicted. Then, considering the economy, emissions and continuous navigation time (endurance) of the hybrid ship, an energy optimization strategy based on the predicted load power is proposed to achieve the goal of minimum fuel consumption, minimum emissions and maximum endurance of ship operation. The experimental results show that, compared with the fuzzy logic rules based strategy, the fuel economy of the ship is increased by 9.6% and the ship’s endurance is increased by 24% for the proposed strategy.
1. Introduction
Energy management of hybrid power ships consists of controlling, designing and optimizing the operating parameters of each component to minimize the fuel consumption, reduce the emission and increase the endurance of ships [,,]. The existing hybrid ship energy management strategies are mainly rule-based, such as logic threshold strategy and fuzzy logic strategy [,,,]. The main control idea behind the rule-based energy management strategies is to let the diesel engine work as far as possible at its highest efficiency point, its minimum fuel consumption point or its lowest emission point for a given rotational speed. These strategies can effectively control the power distribution of ships in real time, so they are widely used in practice [,]. However, these strategies are usually established based on some predetermined working conditions, which mostly depend on human judgment or engineer’s experience. However, in practice, the working conditions are fluctuating due to, for example, the strong nonlinearity and randomness in ship load demand.
With the continuous development of hybrid electric ship technology and the progress in research of energy management strategy, the requirement for highly performant power system is increasing. The prediction of load power of hybrid electric vehicle is an important factor for power management and optimal power allocation of power system. Ships with periodic operations, such as ferries, tugs and water buses, have similar inherent characteristics of the load power inside their individual working cycles []. The safety, stability and economy of ship operation will be greatly improved by fully understanding and mastering these inherent characteristics and by obtaining precise prediction of load power.
Firstly, to realize the optimal load power distribution between the power sources of a hybrid power ship, a load power prediction model based on multi-resolution analysis of wavelet neural network (MRA-WNN) [,] is established to predict the load power of the hybrid power ship under load uncertainty. Then, considering the economy, emission and endurance of ship operation, an energy optimization strategy based on the predicted load power is formulated. Finally, the improved fast non-dominated sorting genetic algorithm II (NSGA-II) is used for solving the energy optimization strategy to obtain the global optimal parameters and determine the best power output of the diesel generator set and the battery group for the predicted load power. The effectiveness of the proposed method is verified by experiments on a hybrid electric propulsion experimental platform.
2. Load Power Prediction Model
In the load power prediction model based on MRA-WNN, the wavelet and the scaling functions are used in the neural network, and the overall trend of the time series is approximated from a large scale. Then, according to the magnitude of the load power, the detailed approximation is added at different scales, in order to improve the prediction accuracy. The translation and scaling parameters of wavelet basis functions are determined by multi-resolution algorithms. Combined with the multi-resolution learning algorithm, the training parameters and time can be reduced to accelerate the calculation speed.
2.1. Multi-Resolution Wavelet Neural Network
Wavelet neural network (WNN) takes the wavelet function as the excitation function of the neural network and combines the excellent time-frequency localization of wavelet transform with the self-learning capability of the traditional artificial neural network []. By adjusting the scale, translation and weight parameters, WNN has a flexible and effective ability to approximate many functions.
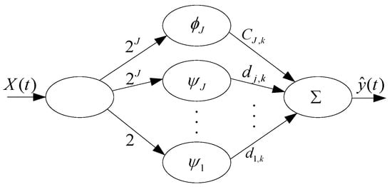
Figure 1 is a three-level WNN structure, where k is the number of hidden layer nodes, is the scale parameter, is the translation parameter, is the weight coefficient, is the m-dimensional input vector.

Figure 1.
Three layer WNN structure.
The structure of MRA-WNN is based on WNN. The difference between them is that there is an additional scale function in the hidden layer. The multi-resolution learning algorithm, namely the step by step learning method, is used to train the network, therefore the whole network has the characteristics of multi-layer, multi-resolution and local learning.
2.2. MRA-WNN Load Forecasting Model
Firstly, we collect the time sequence of load power in n periods. The sampling interval is . The time series of the load power of the hybrid power ship is normalized as follows:
where is the sample of the tth load power, is the maximum value and is the minimum value of the sampled data, is the corresponding normalized load power value. Then, the multidimensional input vector of the MRA-WNN prediction model is constructed, where m is the input dimension. The prediction model output value is defined as , so that a set of network training samples , (N is the number of samples) is obtained. The appropriate wavelet and scaling functions are used as the incentive function of the hidden layer nodes of the network. An appropriate orthogonal basis should be selected for the wavelet and scaling functions. In this work, Meyer wavelets are selected. In the network configuration, the number of input nodes is 2, the learning probability is 0.01, the deviation is 0.001 and the number of iterations is 100. According to the training samples and excitation functions, combined with the MRA-WNN network structure introduced above, the MRA-WNN prediction model is set up as follows:
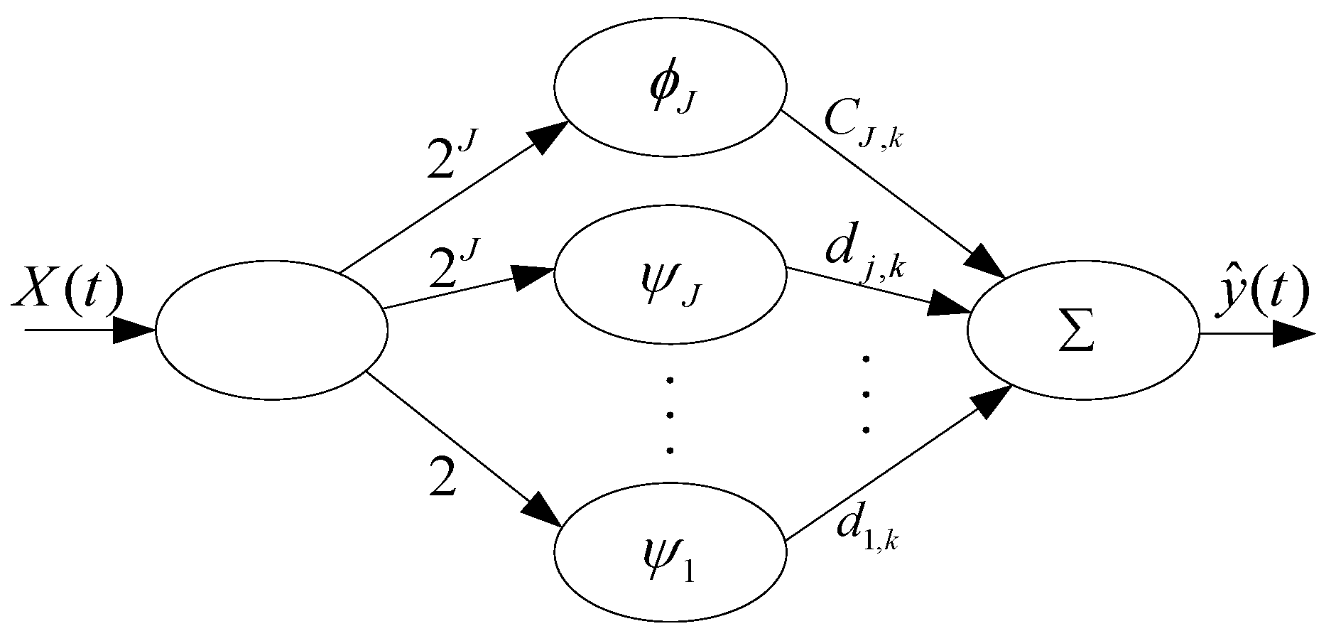
where and are wavelet and scaling functions, respectively, J is an arbitrary scale value, is the predicted value, N is the number of samples, and m is the input dimension and M is the number of neurons under scale J. The MRA-WNN prediction model structure is shown in Figure 2 []. The neural network is composed of corresponding to the largest scale J and corresponding to different smaller scales (), and is the output of this neural network, if the number of neurons M is for the largest scale J, according to the theory of dyadic wavelet transform. is the number of wavelet basis function neurons corresponding to scale j , and the total number of neurons is given by .

Figure 2.
Prediction model structure of MRA-WNN.
The chaotic time series of load power of the hybrid ship for the first n cycles can be trained with MRA-WNN []. Then, after the anti-normalization operation, we get the final predicted sequence (i.e., the load power sequence of the th cycle). The forecasting process ends.
3. Hybrid Ship Energy Optimization Strategy
Energy management strategy is a key technology for minimizing the fuel consumption, reducing the pollution emission and increasing the endurance of hybrid power ships under the constraint of limited available energy. Therefore, ship energy management strategy is a multi-objective and multi constrained optimization problem. In this part, a hybrid power optimization strategy is proposed based on the establishment of fuel consumption model, diesel engine emission model and navigation endurance model, and by using the improved NSGA-II algorithm, and the power prediction presented previously.
The power system of hybrid power ship in this paper consists of two diesel generators, AC/DC, DC/DC, DC/AC converters, lithium batteries, DC bus, propeller and propulsion controller comprised of motor controllers, drive motor, and gearbox. Diesel generators and the lithium battery set can power the electric propulsion controller together; they can also power the controller separately. The generators can also charge the battery. The schematic structure of hybrid power ship is shown in Figure 3.

Figure 3.
Block diagram of hybrid power ships.
3.1. Multi-Objective Optimization Model
3.1.1. Fuel Consumption Model
The diesel generator set consumes the fuel to output the electric power. We neglect the intermediate dynamic process, and establish the real-time fuel consumption model relating the fuel consumption rate to the output power. Assuming that there are X diesel engines in the hybrid ship, the fuel consumption in the diesel engines in time interval can be expressed as [,]:
where T is the number of period cycles; is the output power of the ith diesel engine at time k; and are constants, obtained from the fuel consumption curve of the diesel engine, and is the constant sampling interval; denotes the operating state of the ith diesel engine; and mean that the ith diesel engine is off and in operation, respectively. In the paper, , . The fuel consumption of the engines is related to the power that depends on the current torque and speed through where is the torque, and n the speed of motor. Usually, the engines operate at constant speed for ships.
3.1.2. Diesel Engine Emission Model
There are usually four types of emissions from diesel generators, which are hydrocarbons (), carbon monoxide (), nitrogen oxides (), and particulate matter (). To reduce the dimension of the objective function, and also the four types of emissions having the same unit of measure, we merge the four indicators of emissions into one single optimization goal by direct summation, and finally establish a mathematical model for emission assessment []:
where , , and are , , and emissions respectively, , , and indicate the emission rates of , , and of the ith diesel engine at time k, respectively, which refer to the emission rates of diesel engine model at different torque and rotational speeds. The emission value is related to the output power of the engine at a certain time, and the emission rate can be obtained through the exhaust emission curve of the diesel engine. According to , when the engine speed changes, the output power also changes. Therefore, according to the output power of the current time, we can calculate the emission of the current time.
3.1.3. Endurance Model
The maximum cruising capacity of the hybrid ship considered in this work mainly depends on the battery state of charge (SOC), and the remaining fuel volume of the multiple diesel engines group is not considered for the moment. Assume that the battery is fully charged when the ship is sailing. When the single operation cycle of the ship is over, the smaller the difference between the initial and final values of the battery state of charge, the greater the ship’s endurance. Therefore, the model of the maximum endurance of the ship is:
where and are the initial and final states of charge of battery, respectively. The SOC of the battery at time instant h can be calculated as:
where and are the initial energy and the energy level at time h of the battery, respectively, is the total energy capacity of the battery, and the power supplied by the battery at time k.
Substituting (6) into (5), we obtain
When the battery supplies power, the power loss should be considered:
where is the total output power of the battery, and is the battery loss power. In addition, the losses are assumed to be the same for both charging and discharging modes and of the following quadratic form of the storage power:
where is a constant, obtained from the static charge/discharge power storage curve of the battery. In the paper, . Thus, the endurance model is []:
3.2. Constraints
In this work, the following constraints have been adopted.
(1) The output power of a diesel generator set is limited. The output power range of the diesel generator set is:
where and are the minimum and maximum output powers of the ith diesel engine, respectively.
(2) The battery pack charge and discharge powers and SOC are limited. The limiting conditions for charge and discharge powers of the battery are as follows:
where and are the maximum charge and discharge powers of the battery pack, respectively. The limiting conditions for SOC are as follows:
where and are the maximum the minimum values of battery pack’s state of charge.
(3) Load demand response condition: to ensure that the hybrid ship can accomplish the required work, the constraints of load demand power response can be written as follows:
where and are the total output powers of the diesel generating set and the battery pack at time k, respectively; is the load demand power of the ship at time k.
The prediction model of the load power of the hybrid power ship has been established in the previous section; then, the predicted load power of the hybrid power ship with cyclic operating conditions can be obtained. Therefore, under load prediction conditions, the constraint of load demand power response is as follows:
3.3. Improved NSGA-II Algorithm
In this work, we try to minimize the fuel consumption, reduce the pollution emission and maximize the endurance of navigation at the same time, but these objectives are conflicting. The NSGA-II algorithm, a popular metaheuristic technique particularly well suited for the optimal design problems of energy systems [], allows for making a good trade-off between the different objectives. It is based on elitist principles, emphasizes the non-dominated solutions and uses an explicit diversity preserving mechanism. The improved NSGA-II [] can reduce the complexity of the non-dominated sorting genetic algorithm, and has the advantages of fast running speed and good convergence of the solution set. A lot of work [,], has applied the NSGA-II algorithm to solve multi-objective optimization problems in the energy system. Therefore, the NSGA-II algorithm is adopted in this work. For choosing the optimal solution among the non-dominated solutions, the maximization of the endurance of navigation is considered as the most preferred objective.
To improve the performance of the local optimization of NSGA-II algorithm, the difference mutation operator in the differential evolution algorithm is introduced to replace the polynomial variation in the NSGA-II algorithm to overcome the shortcomings of the NSGA-II algorithm in the population diversity preservation strategy [,].
Specifically, for a population P, there is a parent , then the temporary offspring is generated by the following mutation operator:
where is the impact factor of the variation direction of the best individual . The greater the value of is, the bigger the impact. The operator is not restricted by other conditions. It enables the expansion of the search range of population and more directions searching.
The search method here involves two important operators: distance threshold and selection of adjacent individuals. Before determining the distance threshold, the two extreme points of the non-dominated solution set of the current population are first identified under sub target k. Then, the difference of the two extreme values is calculated as . Finally, the distance threshold of sub target k is obtained from:
where is the number of individuals in the kth non-dominated solution set . In the process of evolution, the distance threshold will be dynamically adjusted with the change of the scale of the non-dominated set of contemporary population , which makes the non-dominated front solution set evenly distributed [].
The way to select the adjacent individuals is to sort non-dominated set for sub target k. Then, the distance between the adjacent individuals is compared with the threshold of sub target k. If the value is greater than or equal to the threshold, and at least one pair of the target values of the two individuals are not equal, then the adjacent individual needs to perform a differential local search. In the early stage of evolution, this differential local search can make the population universal and diversified, prevent the premature convergence and avoid falling into a local optimum.
3.4. Steps of the Proposed Algorithm
For the proposed energy optimization strategy, firstly the main performance indicators for the economy, emissions, and endurance of the ship for the multi-objective optimization problem of hybrid power systems are established; then, the corresponding constraint conditions are selected to determine the parameters to be optimized; finally, an optimization algorithm based on the improved NSGA-II is designed to solve the multi-objective optimization problem, and obtain the output power of the diesel generator set and the battery pack that had the best response to the demand power of the ship.
To sum up, it is mainly divided into the following steps:
Step1: Establish the multi-objective optimization mathematical model for energy optimization strategy, including the fuel consumption, diesel engine emission and endurance models:
Step2: Select the corresponding constraints of the multi-objective optimization mathematical model:
Step3: Determine the parameters to be optimized and the range of parameters for a hybrid power system;
Step4: An improved algorithm based on NSGA-II is summarized briefly as follows:
Step4-1: Randomly initialize the population, and generate the initial population with size N;
Step4-2: A crossover polynomial variation is performed on (the population at generation t) to produce subpopulations (storage of new individuals generated on generation t);
Step4-3: Combine populations and into (provisional mating population);
Step4-4: Perform the fast non-dominated sorting on to obtain the jth front end ; calculate the crowding distances for the individuals in , and sort them in descending order;
Step4-5: Select the first of the into ; if , , , go back to Step4-4 and perform a fast non-dominant sort of to get the jth front end ; otherwise, return to the Step4-4, calculate the crowding distance to the individual in , and arrange them in descending order;
Step4-6: If ( is maximum generation), the optimal solution set is output and and the algorithm stops; otherwise, , is subjected to crossover and differential mutation operations to generate population , and Step4-3 is executed in a loop until the stop.
Step5: By solving the mathematical model of multi-objective optimization, the output power of diesel electric generating set and battery pack can be optimized. By solving the multi-objective optimization problem, and by choosing the maximal endurance of the ship operation, the output power of diesel electric generating set and battery pack can be optimized. A good result will be obtained with minimum energy consumption, minimum emission and maximum endurance capacity.
4. Experiment and Analysis
In the following, we will verify the effectiveness of the proposed energy optimization strategy using an experiment realized on a hybrid electric propulsion platform. The parameters of the improved NSGA-II algorithm are set as follows: the initial population , the cross probability is 0.9, the mutation probability is 0.02, and the maximum generation .
The experimental platform is equipped with 16 lithium iron phosphate batteries having a total capacity of 100 Ah, two diesel generators with rated power of 30 kW, and two propulsion motors having rated output power of 35 kW. The parameters of the platform are: 92 t of displacement, 694.2 of drag coefficient, 0.8 m of propeller diameter, and 1500 revolutions per minute of propeller speed. The main parameters of the experimental platform are given in Table 1. Using the load simulation software on the computer, various parameters are set, such as the displacement, drag coefficient, propeller diameter, and loading and unloading control of the propeller. More details can be found in []. It should be noted that the interference to a real operating ship due to waves, weather or changes in displacement is ignored in this paper, which will be considered in our future work.

Table 1.
Main parameters of the experimental platform.
The load power time series with working periods of ship simulation are collected. The experiment takes the first three cycles of load power sequence as training samples of MRA-WNN, and the 4th cycle data as test samples. The output results of trained network models are compared. The single operation cycle of the ship is 120 min, and the sampling interval is 1 s. The whole operation period of a ship, like ferry or water buses, includes start-up, acceleration, full speed ahead, deceleration and stop.
Firstly, the load forecasting model is applied to get the predicted value of the load demand power of the ship operation cycle. Experimental parameters are gradually set according to the requirement of energy optimization strategy. The output power of a single set of diesel engine is kW, and the battery charge and discharge power range is kW. The range of the battery SOC is . The multi-objective optimization of energy management strategy is solved by the improved NSGA-II algorithm. The optimal solution set allows for determining the optimal power allocation for diesel electric generating set and battery pack to satisfy the ship’s operation power demand and maximum navigation endurance. The experimental platform is shown in Figure 4. The obtained results are shown in Figure 5.

Figure 4.
Hybrid ships’ experimental platform.

Figure 5.
Power distribution of the proposed strategy.
To better illustrate the optimization effect of the proposed strategy, the energy management strategy based on fuzzy logic rules [] is adopted for comparative study. The results of the fuzzy logic based strategy for the output of diesel generator set and battery pack are shown in Figure 6.

Figure 6.
Power distribution based on fuzzy logic strategy.
In the two strategies, the output power of the diesel electric generating set and battery pack can follow the change of the ship’s running and satisfy the power demands. It can be seen from Figure 5 and Figure 6 that the strategy based on fuzzy logic rules is set artificially, and the output power of the diesel electric unit is kept constant. Only when the demand power of the ship is changed can the diesel unit start or stop running. The battery pack can increase the output when the demand power suddenly increases, and maintain output in a period of time to reduce the load pressure of the diesel generator set. It also reflects the fuzzy characteristics of the fuzzy logic based strategy. The fuzzy logic control strategy uses SOC as the input control variable, and the corresponding fuzzy rules are formulated according to the working condition of the ship. The corresponding power supply mode is the output. It is a commonly used strategy, but it is not optimal. This strategy can satisfy the power demand of the ship, but, because of the inaccuracy of rulemaking and human experience, the power is wasted, and it cannot meet the economic performance requirements of the ship.
Based on the improved NSGA-II hybrid power ship energy optimization strategy, the output power of the diesel generator set can respond promptly to the change of power demand within a specific optimization step, and reasonably define the start and stop times of the diesel engine. When the predicted demand power is low, the battery pack provides output power to respond to the load demand. When the forecasted demand power is high, at least a diesel motor should be in action, and the battery pack also provides energy, and it combined with the generator to supply power to meet the load needs of the ship. The energy optimization strategy proposed in this paper can get the optimal power distribution between the diesel generator set and battery group, and avoid the power loss, which makes the ship operation more economical and reasonable.
The energy optimization strategy proposed in this paper is mainly based on the multiple performance indexes of economy, emission and endurance of ship operation. Figure 7, Figure 8 and Figure 9 give the comparison of fuel consumption, comprehensive emissions and SOC of the two strategies above, respectively.

Figure 7.
Fuel consumption comparison of the two compared strategies.

Figure 8.
Comprehensive emissions comparison of the two compared strategies.

Figure 9.
SOC change comparison of the two compared strategies.
It can be seen in Figure 7 that the fuel consumption of the proposed strategy is lower than that of fuzzy logic rules based strategy. The experimental data show that the total fuel consumptions are 8.5 L and 9.4 L for the proposed strategy and fuzzy logic rules based strategy, respectively. The fuel economy of the ship is increased by 9.6%.
Figure 8 shows the overall distribution of the comprehensive emission of the two compared strategies under all of the operating conditions. The experimental data show that the total emission of the proposed strategy is slightly higher (by 9 g) than that of the fuzzy logic based strategy. The total emission is mainly determined by the torque and speed of the diesel engine. Although the total fuel consumption of the strategy is lower than the fuzzy logic rules based strategy, the output power of the proposed strategy diesel engine is lower in this part of the operating time and it is farther from the comprehensive emission best area of the diesel engine. This also shows that the improved NSGA-II algorithm proposed in this paper adopts the Pareto non-dominant principle to deal with the relationship between various objectives. It is not necessary to specify the weight coefficient of each target to obtain the real trade-off characteristics of the Pareto solution set.
As can be seen from Figure 9, the changes in the battery group SOC are all within the specified range for both compared strategies. The experimental data show that the battery group SOC of the fuzzy logic rules based strategy fluctuates in the 53.4–79.5% range, and the overall fluctuation range is higher than that of the proposed strategy. For the proposed strategy, the SOC interval of battery pack is 57.9–79.9%, and the overall change range is smooth. Moreover, at the end of the ship operation, the final SOC values are 77% and 62% for the proposed strategy and fuzzy logic rules based strategy, respectively. The endurance capacity of ship under the proposed strategy is 24% higher than that of the fuzzy logic rules based strategy, which is a big improvement. Table 2 summarizes the comparison results of the two strategies.

Table 2.
Comparison of the two compared strategies’ different performance indexes.
Compared to the fuzzy logic rules based strategy, the fuel economy of the ship is increased by 9.6% and the ship’s endurance is increased by 24% for the proposed strategy. A good emission performance is obtained.
5. Conclusions
To solve the optimal allocation and management of the energy of a hybrid power ship under the load uncertainty condition, this paper considers a hybrid ship powered by a diesel generator set and power batteries in series. With the predicted value of the load power of the cycle, a strategy of energy optimization with minimum energy consumption, minimum emission and maximum endurance capacity is developed. The experimental results show that, compared with the fuzzy logic rules based strategy, the fuel economy of the ship is increased by 9.6% and the ship’s endurance is increased by 24%, for the proposed strategy.
Author Contributions
D.G. proposed the optimization method for hybrid power ships and drafted the manuscript, and also participated in the R&D of the hybrid ships experimental platform. X.W. analyzed the performance of a hybrid ship and the manuscript preparation. T.W. proposed the experiments’ design methods, and reviewed and refined the paper. Y.W. provided theoretical knowledge in the data analysis and also reviewed and refined the paper. X.X. carried out the data acquisition and data analysis.
Funding
This research was funded by [National Natural Science Foundation of China] grant number [61673260, 61304186]; by [National Natural Science Foundation of Shanghai] grant number [16ZR1414300] and [NSFC-Zhejiang Joint Fund for the Integration of Industrialization and Informatization] grant number [U1709215].
Conflicts of Interest
The authors declare no conflict of interest.
References
- Gao, D.; Shen, A.; Chu, J.; Huang, X. Energy management and control strategy for hybrid electric ships. J. Shanghai Marit. Univ. 2015, 1, 70–74. (In Chinese) [Google Scholar]
- Trovao, J.P.; Machado, F.; Pereirinha, P.G. Hybrid electric excursion ships power supply system based on a multiple energy storage system. IET Electr. Syst. Transp. 2016, 3, 190–201. [Google Scholar] [CrossRef]
- Tang, D.; Yan, X.; Yuan, Y.; Wang, K.; Qiu, L. Multi-agent based power and energy management system for hybrid ships. In Proceedings of the 4th International Conference on Renewable Energy Research and Applications, Palermo, Italy, 22–25 November 2015; pp. 383–387. [Google Scholar]
- Guo, Y.; Khan, M.M.S.; Faruque, M.O.; Sun, K. Fuzzy logic based energy storage supervision and control strategy for MVDC power system of all electric ship. In Proceedings of the 2016 IEEE Power and Energy Society General Meeting (PESGM), Boston, MA, USA, 17–21 July 2016; pp. 1–5. [Google Scholar]
- Zhu, L.; Han, J.; Peng, D.; Wang, T.; Tang, T.; Charpentier, J.F. Fuzzy logic based energy management strategy for a fuel cell battery ultra capacitor hybrid ship. In Proceedings of the First International Conference on Green Energy, Sfax, Tunisia, 25–27 March 2014; pp. 107–112. [Google Scholar]
- Bigdeli, N. Optimal management of hybrid PV/fuel cell/battery power system: A comparison of optimal hybrid approaches. Renew. Sustain. Energy Rev. 2015, 42, 377–393. [Google Scholar] [CrossRef]
- Gao, D.; Zhang, W.; Shen, A.; Wang, Y. Parameter design and energy control of the power train in a hybrid electric boat. Energies 2017, 7, 1028. [Google Scholar] [CrossRef]
- Li, Q.; Chen, W.; Liu, Z.; Li, M.; Ma, L. Development of energy management system based on a power sharing strategy for a fuel cell-battery-supercapacitor hybrid tramway. J. Power Sources 2015, 279, 267–280. [Google Scholar] [CrossRef]
- Bianucci, M.; Merlino, S.; Ferrando, M.; Baruzzo, L. The optimal hybrid/electric ferry for the liguria Natural Parks. In Proceedings of the OCEANS 2015, Genoa, Italy, 18–21 May 2015; pp. 1–10. [Google Scholar]
- Lu, S.; Yang, X.; Zhao, X. The application of modeling and prediction with MRA wavelet network. J. Mar. Sci. Appl. 2004, 1, 20–23. [Google Scholar] [CrossRef]
- Font, A.; Atalay, A.K.; Kalenderli, O. Analyzing and denoising of impulse voltage waveforms using multi-resolution wavelet analysis (MRA). In Proceedings of the 2014 ICHVE International Conference on High Voltage Engineering and Application, Poznan, Poland, 8–11 September 2014; pp. 1–4. [Google Scholar]
- Xu, L.; Liu, S. Study of short-term water quality prediction model based on wavelet neural network. Math. Comput. Model. 2013, 58, 807–813. [Google Scholar] [CrossRef]
- Koot, M.; Kessels, J.T.B.A.; de Jager, B.; Heemels, W.P.M.H.; van den Bosch, P.P.J.; Steinbuch, M. Energy Management Strategies for Vehicular Electric Power Systems. IEEE Trans. Veh. Technol. 2005, 3, 771–782. [Google Scholar] [CrossRef]
- Vu, T.L.; Dhupia, J.S.; Ayu, A.A.; Kennedy, L.; Adnanes, A.K. Optimal power management for electric tugboats with unknown load demand. In Proceedings of the American Control Conference, Portland, OR, USA, 4–6 June 2014; pp. 1578–1583. [Google Scholar]
- Deng, T.; Lin, C.; Li, Y.; Lu, R. A multi-objective optimization method for energy management control of hybrid electric vehicles using NSGA-II algorithm. J. Xi’an Jiaotong Univ. 2015, 10, 143–150. (In Chinese) [Google Scholar]
- Fang, F.; Qin, S.; Xu, G.; Li, T.; Zhu, K. Simultaneous Optimization for Hybrid Electric Vehicle Parameters Based on Multi-Objective Genetic Algorithms. Energies 2011, 3, 532–544. [Google Scholar] [CrossRef]
- Deb, K.; Pratap, A.; Agarwal, S.; Meyarivan, T. A fast and elitist multiobjective genetic algorithms: NSGA-II. IEEE Trans. Evol. Comput. 2002, 2, 182–197. [Google Scholar] [CrossRef]
- Zhou, N.; Liu, N.; Zhang, J.; Lei, J. Multi-Objective optimal sizing for battery storage of PV-Based microgrid with demand response. Energies 2016, 8, 591. [Google Scholar] [CrossRef]
- Li, Y.; Liao, S.; Liu, G. Thermo-economic multi-objective optimization for a solar-dish Brayton system using NSGA-II and decision making. Int. J. Electr. Power Energy Syst. 2015, 64, 167–175. [Google Scholar] [CrossRef]
- Qiao, J.; Wei, J.; Han, H. Multi-objective optimization of water distribution system based on an improved NSGA2 algorithm. Control Eng. China 2016, 12, 1861–1866. (In Chinese) [Google Scholar]
- Li, M.; Liu, S.; Zhang, L.; Wang, H.; Meng, F.; Bai, L. Non-dominated sorting genetic algorithms-II based on multi-objective optimization model in the water distribution system. Procedia Eng. 2012, 37, 309–313. [Google Scholar] [CrossRef]
- Liu, C.; Han, H.; Qiao, J. Self-adaptive DE algorithm via generalized opposition-based learning. CAAI Trans. Intell. Syst. 2015, 1, 131–137. (In Chinese) [Google Scholar]
- Huang, H.; Shen, A.; Chu, J. Research on propeller dynamic load simulation system of electric propulsion ship. China Ocean Eng. 2013, 2, 255–263. [Google Scholar] [CrossRef]
- Gao, D.; Pan, K.; Chu, J.; Shen, A.; Sun, Y. Control strategy of hybrid electric ship based on improved fuzzy logic threshold. In Proceedings of the 29th Chinese Control And Decision Conference, Chongqing, China, 28–30 May 2017; pp. 6995–7000. [Google Scholar]
© 2018 by the authors. Licensee MDPI, Basel, Switzerland. This article is an open access article distributed under the terms and conditions of the Creative Commons Attribution (CC BY) license (http://creativecommons.org/licenses/by/4.0/).