Analysis and Optimization of the Electromagnetic Performance of a Novel Stator Modular Ring Drive Thruster Motor
Abstract
1. Introduction
- (1)
- High pressure resistance: The deep-sea motor thruster must be able to work under deep sea water pressure.
- (2)
- Corrosion resistance: The part of the motor thruster that is in direct contact with seawater must have seawater corrosion resistance.
- (3)
- High power density: Increasing the power density can effectively reduce the weight of the motor thruster.
- (4)
- High efficiency: Deep sea exploration equipment has limited energy which is hard to replenish. Increasing the propulsion efficiency means further voyage and higher working performance.
- (5)
- Low noise: Propeller noise may affect the acquisition and transmission of signals.
- (6)
- Fault-tolerant performance: Deep-sea detection equipment requires the motor thruster to be able to operate reliably and continuously. Therefore, it is required to have a high fault-tolerant performance.
2. Geometry Configuration
3. Influence of Structural Parameters on the New RDT Motor
3.1. Influence of the Slot Opening Width
3.2. Influence of the Additional Tooth Height
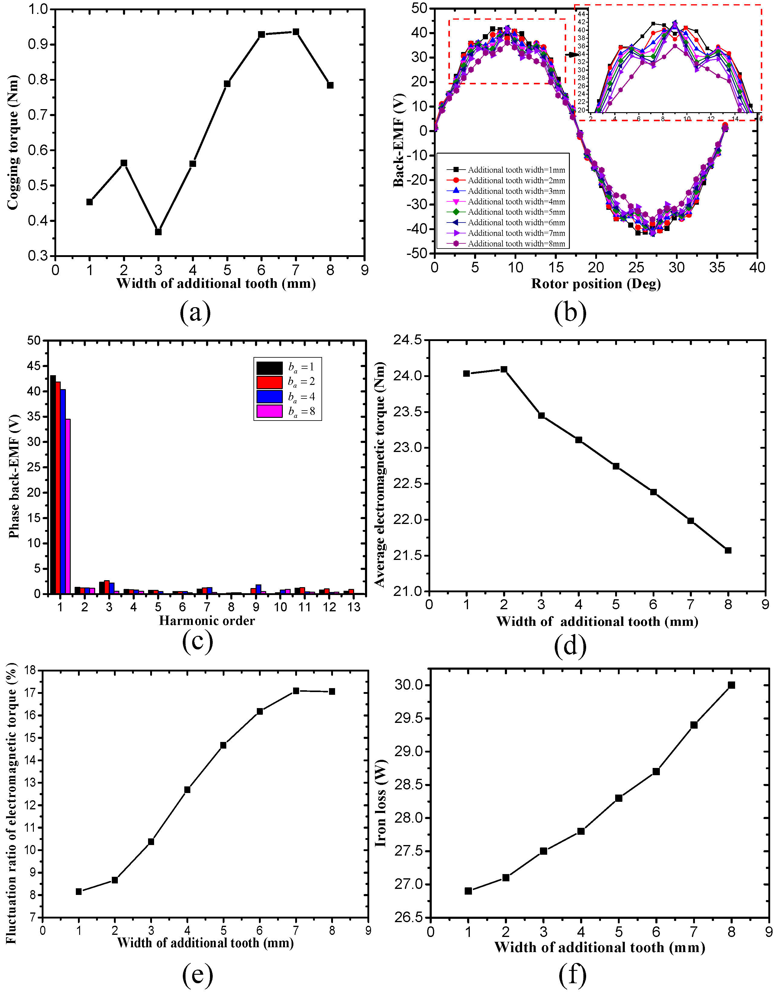
3.3. Influence of the Additional Tooth Width
3.4. Influence of the Pole Arc Coefficient
4. Multi-Objective Optimization Design
4.1. Kriging Method
4.2. Optimization Algorithm (NSGA-II)
- Setting the parameters to control the NSGA-II algorithm (number of individuals in the population npop; maximum number of generations ; recombination rate trec and mutation rate tmut) and the range of variables.
- Randomly generate initial populations P0 that satisfy the constraint and calculate the objective function value corresponding to each individual. The objective function value obtained from the surrogate models established by using Kriging method.
- Non-dominated sorting and crowding degree calculation of Pt. Rapid non-dominated sorting based on the objective function values of average electromagnetic torque and torque fluctuation ratio of each individual. The crowding degree is the crowding distance between solution i and neighboring solutions i − 1 and i + 1. This technique can make the solutions evenly distributed in the target space, prevent “stacking” and ensure the global optimization of the algorithm. The crowding distance of the ith individual (L(i)) is defined as following:where, fk is kth objective function value of solution set.
- Perform genetic manipulations, including selection, crossover and mutation. This is the core part of the optimization iteration of NSGA-II algorithm. Subpopulations can be obtained through this step.
- Carry out the elite strategy. Combine the parent populations with sub populations, and generate the next-generation parent population based on non-dominated sorting and crowding degree calculation. Calculate iteratively until the number of iterations gets the maximum number of generations .
4.3. Analysis of Optimization Results
5. Conclusions
Author Contributions
Acknowledgments
Conflicts of Interest
Nomenclature
| Pin | Input power of RDT |
| Pout | Output mechanical power of RDT |
| Effective value of the input voltage | |
| Effective value of the input current | |
| T | Thrust of propeller |
| Va | Freestream fluid velocity |
| η | Overall efficiency of RDT |
| J | Advance ratio |
| n | Propeller’s rotational speed |
| D | Propeller’s diameter |
| ηm | Efficiency of the motor |
| ηp | Efficiency of the propeller |
| kL | Mechanical loss coefficient |
| Te | Electromagnetic torque |
| KT | Total thrust coefficient |
| KQ | Total torque coefficient |
| KTB | Thrust coefficient of propeller |
| KQB | Torque coefficient of propeller |
| KTN | Thrust coefficient of duct |
| KQN | Torque coefficient of duct |
| TB | Thrust of propeller |
| QB | Torque of propeller |
| TN | Thurst of duct |
| QN | Torque of duct |
| θ | Rotor position angle |
| Wm | Magnetic field energy |
| BPr | Radial components of the main magnetic field |
| BWr | Radial components of the armature winding magnetic field |
| ba | Width of additional tooth |
| ha | height of additional tooth |
| bs | Slot opening width |
| bt | Width of stator tooth |
| α | Pole arc coefficient |
References
- Zhang, Z.H.; Nie, S.L.; Zhang, L.M.; Yuan, S.H. Development of seawater hydraulic pump tester in deep-sea simulated environment. In Proceedings of the International Conference, Fluid Power Mechatron, Harbin, China, 5–7 August 2015; pp. 667–671. [Google Scholar]
- Traverso, P.; Canepa, E. A review of studies on corrosion of metals and alloys in deep-sea environment. Ocean Eng. 2014, 87, 10–15. [Google Scholar] [CrossRef]
- Islam, M.; Veitch, B.; Liu, P. Uncertainty of measurements of podded propulsor performance characteristics. Ocean Eng. 2014, 81, 130–138. [Google Scholar] [CrossRef]
- Smallwood, D.; Bachmayer, R.; Whitcomb, L.L. A new remotely operated underwater vehicle for dynamics and control research. In Proceedings of the International Symposium, Unmanned Untethered Submersible Technology, Durham, NH, USA, 19–22 September 1999; pp. 370–377. [Google Scholar]
- Sharkh, S.M.A.; Turnock, S.R.; Hughes, A.W. Design and performance of an electric tip-driven thruster. Proc. Inst. Mech. Eng. Part M 2003, 217, 133–147. [Google Scholar] [CrossRef]
- Liang, J.; Zhang, X.; Qiao, M.; Zhu, P.; Cai, W.; Xia, Y.; Li, G. Optimal design and multifield coupling analysis of propelling motor used in a novel integrated motor propeller. IEEE Trans. Magn. 2013, 49, 5742–5748. [Google Scholar] [CrossRef]
- Song, B.W.; Wang, Y.J.; Tian, W.L. Open water performance comparison between hub-type and hubless rim driven thrusters based on CFD method. Ocean Eng. 2015, 103, 55–63. [Google Scholar] [CrossRef]
- Yan, X.; Liang, X.; Ouyang, W.; Liu, Z.; Liu, B.; Lan, J. A review of progress and applications of ship shaft-less rim-driven thrusters. Ocean Eng. 2017, 144, 142–156. [Google Scholar] [CrossRef]
- Lea, M.; Thompson, D.; Van Blarcom, B.; Eaton, J.; Friesch, J.; Richards, J. Scale model testing of a commercial rim-driven propulsor pod. J. Ship Prod. 2003, 19, 121–130. [Google Scholar]
- Dubas, A.J. Robust Automated Computational Fluid Dynamics Analysis and Design Optimisation of Rim Driven Thrusters. Ph.D. Dissertation, University of Southampton, Southampton, UK, 2014. [Google Scholar]
- Shen, Y.; Hu, P.; Jin, S. Design of novel shaftless pump-jet propulsor for multi-purpose long-range and high-speed autonomous underwater vehicle. IEEE Trans. Magn. 2016, 52, 1–4. [Google Scholar] [CrossRef]
- Sharkh, S.M.A.; Lai, S.H.; Turnock, S.R. Structurally integrated brushless pm motor for miniature propeller thrusters. IEEE Proc. Electr. Power Appl. 2004, 151, 513–519. [Google Scholar] [CrossRef]
- Krøvel, Ø.; Nilssen, R.; Skaar, S.E.; Lovli, E.; Sandoy, N. Design of an integrated 100kw permanent magnet synchronous machine in a prototype thruster for ship propulsion. In Proceedings of the 16th International Conference on Electrical Machines ICEM, Cracow, Poland, 5–8 September 2004; pp. 117–123. [Google Scholar]
- Djebarri, S.; Charpentier, J.F.; Scuiller, F.; Benbouzid, M.; Guemard, S. Rough design of a double-stator axial flux permanent magnet generator for a rim-driven marine current turbine. In Proceedings of the 2012 IEEE International Symposium on Industrial Electronics, Hangzhou, China, 28–31 May 2012; pp. 1450–1455. [Google Scholar]
- Duan, Y.; Dan, M.I. A review of recent developments in electrical machine design optimization methods with a permanent magnet synchronous motor benchmark study. IEEE Trans. Magn. 2013, 49, 1268–1275. [Google Scholar] [CrossRef]
- Lei, G.; Liu, C.; Zhu, J.; Guo, Y. Techniques for multilevel design optimization of permanent magnet motors. IEEE Trans. Energy Convers. 2015, 30, 1574–1584. [Google Scholar] [CrossRef]
- Wang, H.T.; Liu, Z.J.; Chen, S.X.; Yang, J.P. Application of Taguchi method to robust design of BLDC motor performance. IEEE Trans. Magn. 1999, 35, 3700–3702. [Google Scholar] [CrossRef]
- Hwang, C.C.; Chang, C.M.; Liu, C.T. A fuzzy-based Taguchi method for multiobjective design of PM motors. IEEE Trans. Magn. 2013, 49, 2153–2156. [Google Scholar] [CrossRef]
- Omekanda, A.M. Robust torque and torque-per-inertia optimization of a switched reluctance motor using the Taguchi methods. IEEE Trans. Ind. Appl. 2006, 42, 473–478. [Google Scholar] [CrossRef]
- Pan, G.; Cheng, B.; Zhang, P.; Cao, Y. Coupling design and performance analysis of rim-driven integrated motor propulsor. In Proceedings of the MTS/IEEE Oceans’16, Shanghai, China, 10–13 April 2016; pp. 1–6. [Google Scholar]
- Bontempo, R.; Cardone, M.; Manna, M. Performance analysis of ducted marine propellers. Part I–Decelerating duct. Appl. Ocean Res. 2016, 58, 322–330. [Google Scholar] [CrossRef]
- Bhattacharyya, A.; Krasilnikov, V.; Steen, S. A CFD-based scaling approach for ducted propellers. Ocean Eng. 2016, 123, 116–130. [Google Scholar] [CrossRef]
- Marinescu, M.; Marinescu, N. Numerical computation of torques in permanent magnet motors by Maxwell stresses and energy method. IEEE Trans. Magn. 1988, 24, 463–466. [Google Scholar] [CrossRef]
- Fu, W.N.; Zhou, P.; Lin, D. Magnetic force computation in permanent magnets using a local energy coordinate derivative method. IEEE Trans. Magn. 2004, 40, 683–686. [Google Scholar] [CrossRef]
- Lei, G.; Wang, T.; Zhu, J.; Guo, Y.; Wang, S. System-level design optimization method for electrical drive systems—Robust approach. IEEE Trans. Ind. Electron. 2015, 62, 4702–4713. [Google Scholar] [CrossRef]
- Ma, B.; Lei, G.; Liu, C.; Zhu, J.; Guo, Y. Robust tolerance design optimization of a pm claw pole motor with soft magnetic composite cores. IEEE Trans. Magn. 2017, 99, 1–4. [Google Scholar] [CrossRef]
- Vo-Duy, T.; Duong-Gia, D.; Ho-Huu, V.; Vu-Do, H.C.; Nguyen-Thoi, T. Multi-objective optimization of laminated composite beam structures using NSGA-II algorithm. Compos. Struct. 2017, 168, 498–509. [Google Scholar] [CrossRef]
- Deb, K.; Pratap, A.; Agarwal, S.; Meyarivan, T. A fast and elitist multiobjective genetic algorithm: NSGA-II. IEEE Trans. Evol. Comput. 2002, 6, 182–197. [Google Scholar] [CrossRef]
- Martin, J.D.; Simpson, T.W. Use of kriging models to approximate deterministic computer models. AIAA J. 2005, 43, 853–863. [Google Scholar]
- Tian, W.; Mao, Z.; Zhang, B. Shape optimization of a savonius wind rotor with different convex and concave sides. Renew. Energy 2018, 117, 287–299. [Google Scholar] [CrossRef]
- Zhang, B.; Song, B.; Mao, Z.; Tian, W. A novel wake energy reuse method to optimize the layout for Savonius-type vertical axis wind turbines. Energy 2017, 121, 341–355. [Google Scholar] [CrossRef]
- Pereira, L.A.; Haffner, S.; Nicol, G.; Dias, T.F. Multiobjective optimization of five-phase induction machines based on NSGA-II. IEEE Trans. Ind. Electron. 2017, 64, 9844–9853. [Google Scholar] [CrossRef]
- Zhang, L.; Zhang, J.Y.; Tian, L.I.; Zhang, Y.D. Multi-objective aerodynamic optimization design of high-speed train head shape. JZUS-A 2017, 18, 841–854. [Google Scholar] [CrossRef]
























| Main Parameters | Traditional RDT Motor | Initial Stator Modular RDT Motor |
|---|---|---|
| Stator outer diameter (mm) | 380 | 380 |
| Stator inner diameter (mm) | 324 | 324 |
| Stack length (mm) | 39 | 39 |
| Air gap length (mm) | 2.5 | 2.5 |
| Pole number | 20 | 20 |
| Magnet thickness (mm) | 3.5 | 3.5 |
| Rotor inner diameter (mm) | 300 | 300 |
| Slot number | 60 | 24 |
| Slot opening width bs (mm) | 2.8 | 2.0 |
| Tooth width (mm) | 6.6 | 14.5 |
| Height of additional tooth ha (mm) | --- | 14 |
| Width of additional tooth ba (mm) | --- | 2.0 |
| Pole arc coefficient α | 0.67 | 0.67 |
| Number of coil turns/phase | 90 | 100 |
| Number of parallel branches | 2 | 2 |
| Wire diameter (mm) | 2.3 | 4.3 |
| Slot filling factor | 77% | 77% |
| Phase resistance (Ω) | 0.1186 | 0.033 |
| RDT Motor | Traditional RDT Motor | Stator Modular RDT Motor |
|---|---|---|
| Zigzag Leakage Coefficient | 1.064 | 1.233 |
| Additional Tooth Width ba/mm | |||||||||
|---|---|---|---|---|---|---|---|---|---|
| 1 | 2 | 3 | 4 | 5 | 6 | 7 | 8 | ||
| Pole arc coefficient α | 0.60 | 0.2655 | 0.3012 | 0.223 | 0.1881 | 0.1474 | 0.0987 | 0.0612 | 0 |
| 0.65 | 0.4340 | 0.4709 | 0.3968 | 0.3527 | 0.3219 | 0.2704 | 0.2326 | 0.1683 | |
| 0.70 | 0.5879 | 0.6305 | 0.5461 | 0.4992 | 0.4631 | 0.4062 | 0.3606 | 0.2954 | |
| 0.75 | 0.7061 | 0.7449 | 0.6632 | 0.6145 | 0.5818 | 0.5273 | 0.477 | 0.4083 | |
| 0.80 | 0.8202 | 0.8606 | 0.7764 | 0.7259 | 0.6775 | 0.6219 | 0.5709 | 0.4988 | |
| 0.85 | 0.9039 | 0.9454 | 0.8602 | 0.8096 | 0.7485 | 0.6887 | 0.6478 | 0.5752 | |
| 0.90 | 0.9574 | 1 | 0.9123 | 0.8589 | 0.8191 | 0.7574 | 0.7125 | 0.6381 | |
| Additional Tooth Width ba/mm | |||||||||
|---|---|---|---|---|---|---|---|---|---|
| 1 | 2 | 3 | 4 | 5 | 6 | 7 | 8 | ||
| Pole arc coefficient α | 0.60 | 0.3438 | 0.2984 | 0.2072 | 0.3407 | 0.5378 | 0.7509 | 0.9109 | 1 |
| 0.65 | 0.3101 | 0.3927 | 0.4173 | 0.4965 | 0.6104 | 0.7005 | 0.7979 | 0.889 | |
| 0.70 | 0.0693 | 0.228 | 0.3685 | 0.4678 | 0.5172 | 0.5547 | 0.5833 | 0.5985 | |
| 0.75 | 0.2113 | 0.1931 | 0.1895 | 0.3083 | 0.4164 | 0.495 | 0.5429 | 0.5364 | |
| 0.80 | 0.2455 | 0.2149 | 0.1785 | 0.1466 | 0.1407 | 0.225 | 0.3065 | 0.3492 | |
| 0.85 | 0.0343 | 0.0584 | 0.0829 | 0.0845 | 0.0645 | 0.0519 | 0.067 | 0.1395 | |
| 0.90 | 0 | 0.0612 | 0.1177 | 0.1729 | 0.2716 | 0.4001 | 0.4907 | 0.5224 | |
| Variable | Value |
|---|---|
| bt (mm) | 1.56 |
| α | 0.883 |
| Te (Nm) | 28.013 |
| Kt (%) | 3.037 |
| Type of the Design | Optimum Design (FEM) | Initial Design | |
|---|---|---|---|
| Objective functions | Te (Nm) | 28.089 | 24.092 |
| Kt (%) | 3.18 | 8.669 | |
© 2018 by the authors. Licensee MDPI, Basel, Switzerland. This article is an open access article distributed under the terms and conditions of the Creative Commons Attribution (CC BY) license (http://creativecommons.org/licenses/by/4.0/).
Share and Cite
Li, Y.; Song, B.; Mao, Z.; Tian, W. Analysis and Optimization of the Electromagnetic Performance of a Novel Stator Modular Ring Drive Thruster Motor. Energies 2018, 11, 1598. https://doi.org/10.3390/en11061598
Li Y, Song B, Mao Z, Tian W. Analysis and Optimization of the Electromagnetic Performance of a Novel Stator Modular Ring Drive Thruster Motor. Energies. 2018; 11(6):1598. https://doi.org/10.3390/en11061598
Chicago/Turabian StyleLi, Yukai, Baowei Song, Zhaoyong Mao, and Wenlong Tian. 2018. "Analysis and Optimization of the Electromagnetic Performance of a Novel Stator Modular Ring Drive Thruster Motor" Energies 11, no. 6: 1598. https://doi.org/10.3390/en11061598
APA StyleLi, Y., Song, B., Mao, Z., & Tian, W. (2018). Analysis and Optimization of the Electromagnetic Performance of a Novel Stator Modular Ring Drive Thruster Motor. Energies, 11(6), 1598. https://doi.org/10.3390/en11061598

