Experimental Investigation of the Loading Strategy of an Automotive Diesel Engine under Transient Operation Conditions
Abstract
:1. Introduction
2. Measurement and Control Platform and Test Conditions
2.1. Measurement and Control Platform
2.2. Test Conditions
3. Results and Discussion
3.1. Influence of Non-Linear Loading Strategies on Dynamic Response of Torque
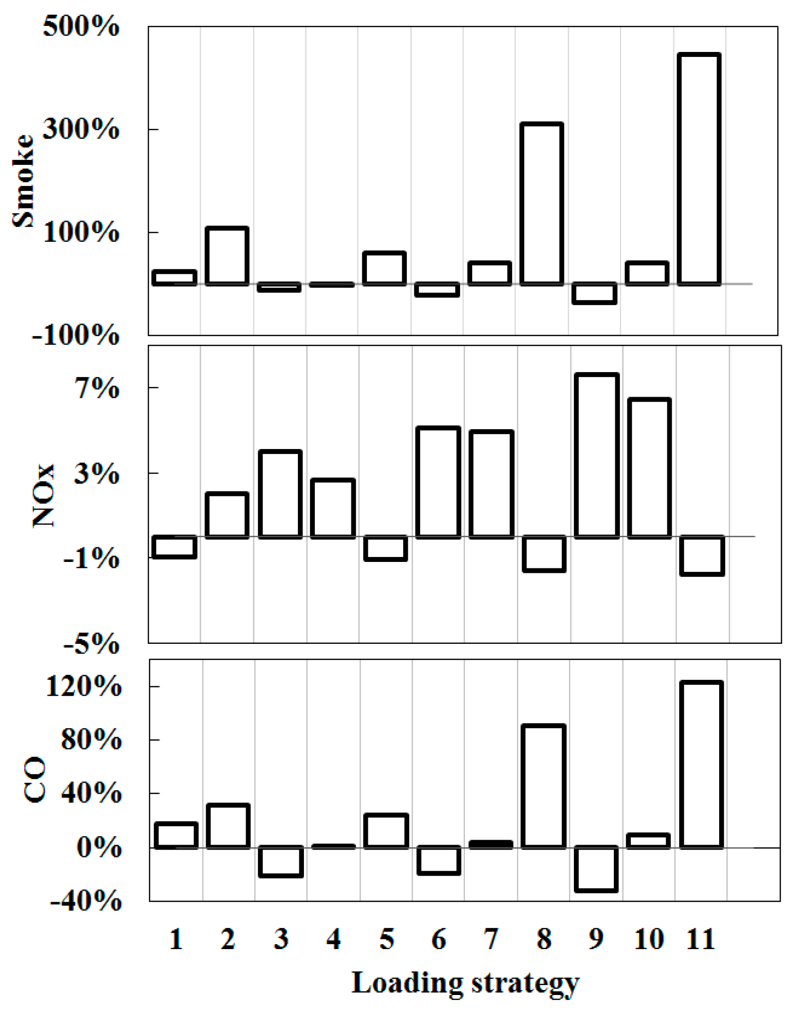
3.2. Influence of Non-Linear Loading Strategies on Emission Performance of Diesel Engine
3.3. Influence of Non-Linear Loading Strategies on Comprehensive Transient Performance
4. Discussion and Prospects
4.1. Discussion for Choosing the Better Loading Strategy
4.2. Prospects
5. Conclusions
Author Contributions
Funding
Acknowledgments
Conflicts of Interest
Nomenclature
| ETC | European transient cycle |
| DSDT | decreasing speed and decreasing torque |
| DSIT | decreasing speed and increasing torque |
| ISDT | increasing speed and decreasing torque |
| ISIT | increasing speed and increasing torque |
| CSDT | constant speed and decreasing torque |
| CSIT | constant speed and increasing torque |
| CTDS | constant torque and decreasing speed |
| CTIS | constant torque and increasing speed |
| S-S | steady-state condition |
| EGR | exhaust gas recirculation |
| AFR | air-fuel ratio |
| ECU | electronic control unit |
| SCM | single chip micyoco |
| ELR | early loading rate |
| CPL | change point load |
| LLR | latter loading rate |
| TT | transient total |
| TA | transient average |
| CO | carbon monoxide |
| NOx | nitrogen oxides |
| BSFC | brake specific fuel consumption |
References
- Choi, S.; Myung, C.L.; Park, S. Review on characterization of nano-particle emissions and PM morphology from internal combustion engines. Int. J. Autom. Technol. 2014, 15, 219–227. [Google Scholar] [CrossRef]
- Galindo, J.; Gliment, H.; Guariola, C.; Doménech, J. Strategies for improving the mode transient in a sequential parallel turbocharged automotive diesel engine. Int. J. Autom. Technol. 2009, 10, 141–149. [Google Scholar] [CrossRef]
- Xia, M.; Zhao, C.L.; Zhang, F.J.; Huang, Y. Modeling the Performance of a New Speed Adjustable Compound Supercharging Diesel Engine Working under Plateau Conditions. Energies 2017, 10, 689. [Google Scholar] [CrossRef]
- Han, Y.Q.; Liu, Z.C.; Wang, Z.S.; Zhu, R.Q. HPAS control strategies and their effects on diesel engine under transient operations. Trans. CSICE 2006, 24, 513–517. [Google Scholar] [CrossRef]
- Sun, H.; Hanna, D.; Niessen, P.; Fulton, B.; Hu, L.; Curtis, E.W.; Yi, J. Experimental evaluation of advanced turbocharger performance on a light duty diesel engine. SAE Int. J. Engines 2013, 6, 788–796. [Google Scholar] [CrossRef]
- Lai, C.; Sun, W.; Li, G.; Tan, M.Z.; Chen, S.B.; Li, J.; Dou, H.L. Effect of BTL-diesel blended fuel on emitted particle size distribution in common-rail diesel engine under transient conditions. Chin. Intern. Combust. Engine Eng. 2012, 33, 45–51. [Google Scholar] [CrossRef]
- Payri, F.; Torregrosa, A.J.; Broatch, A.; Monelletta, L. Assessment of diesel combustion noise overall level in transient operation. Int. J. Autom. Technol. 2009, 10, 761–769. [Google Scholar] [CrossRef]
- Han, Y.Q.; Zhang, L.P.; Liu, Z.C.; Tian, J. Investigation of transient deterioration mechanism and improved method for turbocharged diesel engine. Energy 2016, 116, 250–264. [Google Scholar] [CrossRef]
- Myung, C.L.; Kim, J.; Kwon, S.; Choi, K.; Ko, A.; Park, S. Nano-particle emission characteristics of European and worldwide harmonized test cycles for heavy-duty diesel engines. Int. J. Autom. Technol. 2011, 12, 331–337. [Google Scholar] [CrossRef]
- Rakopoulos, C.D.; Dimaratos, A.M.; Giakoumis, E.G.; Rakopoulos, D.C. Evaluation of the effect of engine, load and turbocharger parameters on transient emissions of diesel engine. Energy Convers. Manag. 2009, 50, 2381–2393. [Google Scholar] [CrossRef]
- He, S.C. Simulation of Automobile Turbocharged Diesel Engine under Transient Operating Conditions. Master’s Thesis, Jilin University, Changchun, China, 2009. [Google Scholar]
- William, G.; David, H.; David, F.; Michael, A.; Roger, K. Analysis of deviations from steady state performance during transient operation of a light duty diesel engine. SAE Int. J. Engines 2012, 5, 909–922. [Google Scholar] [CrossRef]
- Heuwetter, D.; Glewen, W.; Meyer, C.; Foster, D.E.; Andrie, M.; Krieger, R. Effects of low pressure EGR on transient air system performance and emissions for low temperature diesel combustion. SAE Tech. Pap. 2011. [Google Scholar] [CrossRef]
- Sui, L.G. Simulation and Optimization of Turbo-Charged Diesel Engine Performance under Transient Operations. Ph.D. Thesis, Jilin University, Changchun, China, 2012. [Google Scholar]
- Kolmanovsky, I.; Stefanopoulou, A.G. Evaluation of turbocharger power assist system using optimal control techniques. SAE Trans. 2000, 109, 518–528. [Google Scholar] [CrossRef]
- Serrano, J.R.; Arnau, F.J.; Dolz, V.; Tiseira, A.; Lejeune, M.; Auffret, N. Analysis of the capabilities of a two-stage turbocharging system to fulfil the US207 anti-pollution directive for heavy duty diesel engines. Int. J. Autom. Technol. 2008, 9, 277–288. [Google Scholar] [CrossRef]
- Li, G.; Zhang, C.H.; Li, Y.Y. Effects of diesel injection parameters on the rapid combustion and emissions of an HD common-rail diesel engine fueled with diesel-methanol dual-fuel. Appl. Therm. Eng. 2016, 108, 1214–1225. [Google Scholar] [CrossRef]
- Zhou, J.X.; Zhou, S.; Zhu, Y.Q. Characterization of Particle and Gaseous Emissions from Marine Diesel Engines with Different Fuels and Impact of After-Treatment Technology. Energies 2017, 10, 1110. [Google Scholar] [CrossRef]
- Liu, Z.C.; Yu, K.B.; Tian, J.; Han, Y.Q.; Qi, S.L.; Teng, P.K. Influence of rail pressure on a two-stage turbocharged Heavy-duty diesel engine under transient operation. Int. J. Autom. Technol. 2017, 18, 19–29. [Google Scholar] [CrossRef]
- Agarwal, A.K.; Dhar, A.; Gupta, J.G.; Kim, W.I.; Choi, K.; Lee, C.S.; Park, S. Effect of fuel injection pressure and injection timing of Karanja biodiesel blends on fuel spray, engine performance, emissions and combustion characteristics. Energy Convers. Manag. 2015, 91, 302–314. [Google Scholar] [CrossRef]
- Liu, Z.C.; Yuan, X.; Tian, J.; Han, Y.; Li, R.; Gao, G. Investigation of sectional-stage loading strategies on a two-stage turbocharged heavy-duty diesel engine under transient operation with EGR. Energies 2018, 11, 69. [Google Scholar] [CrossRef]
- Zhang, J.; Shen, T.; Xu, G.; Kako, J. Wall-wetting model based method for air-fuel ratio transient condition in gasoline engine with dual injection system. Int. J. Autom. Technol. 2013, 14, 867–873. [Google Scholar] [CrossRef]
- Shen, Z.J.; Liu, Z.C.; Tian, J.; Liu, J.W. Investigation of in-cylinder gas stratification of diesel engine during intake and compression stroke. Energy 2014, 72, 671–679. [Google Scholar] [CrossRef]











| Item | Value |
|---|---|
| Type of Engine | Straight line six cylinder four value |
| Diameter (mm) × Stroke (mm) | 112 × 145 |
| Power Rating (kW) | 257 |
| Speed of Rotation (r/min) | 2100 |
| Displacement (L) | 8.6 |
| Compression Ratio | 17.0:1 |
| Turbocharge | HOLSET400 |
| Idling Speed (r/min) | 750 ± 30 |
| Piston bowl | ω |
| Number of injector nozzle holes | 8 |
| Injection System | The 2nd generation of Common-rail (Bosch) |
| Strategy | ELR (%/s) | CPL (%) | LLR (%/s) | |
|---|---|---|---|---|
| Linear | 18 | ― | 18 | |
| “slow–fast” | 1 | 10 | 25 | 21.4 |
| 2 | 10 | 50 | 50 | |
| “fast–slow” | 3 | 25 | 25 | 17 |
| 4 | 25 | 50 | 14.7 | |
| 5 | 25 | 75 | 10.4 | |
| 6 | 35 | 25 | 16.4 | |
| 7 | 35 | 50 | 14 | |
| 8 | 35 | 75 | 8 | |
| 9 | 50 | 25 | 16 | |
| 10 | 50 | 50 | 11.9 | |
| 11 | 50 | 75 | 6.8 | |
© 2018 by the authors. Licensee MDPI, Basel, Switzerland. This article is an open access article distributed under the terms and conditions of the Creative Commons Attribution (CC BY) license (http://creativecommons.org/licenses/by/4.0/).
Share and Cite
Liu, Q.; Liu, Z.; Han, Y.; Tian, J.; Wang, J.; Fang, J. Experimental Investigation of the Loading Strategy of an Automotive Diesel Engine under Transient Operation Conditions. Energies 2018, 11, 1293. https://doi.org/10.3390/en11051293
Liu Q, Liu Z, Han Y, Tian J, Wang J, Fang J. Experimental Investigation of the Loading Strategy of an Automotive Diesel Engine under Transient Operation Conditions. Energies. 2018; 11(5):1293. https://doi.org/10.3390/en11051293
Chicago/Turabian StyleLiu, Qiang, Zhongchang Liu, Yongqiang Han, Jing Tian, Jun Wang, and Jian Fang. 2018. "Experimental Investigation of the Loading Strategy of an Automotive Diesel Engine under Transient Operation Conditions" Energies 11, no. 5: 1293. https://doi.org/10.3390/en11051293
APA StyleLiu, Q., Liu, Z., Han, Y., Tian, J., Wang, J., & Fang, J. (2018). Experimental Investigation of the Loading Strategy of an Automotive Diesel Engine under Transient Operation Conditions. Energies, 11(5), 1293. https://doi.org/10.3390/en11051293
