A New Multi-Conductor Transmission Line Model of Transformer Winding for Frequency Response Analysis Considering the Frequency-Dependent Property of the Lamination Core
Abstract
:1. Introduction
2. Multi-Conductor Transmission Line Model of Transformer Winding Used for Frequency Response Analysis
2.1. Construction of the Multi-Conductor Transmission Line Model
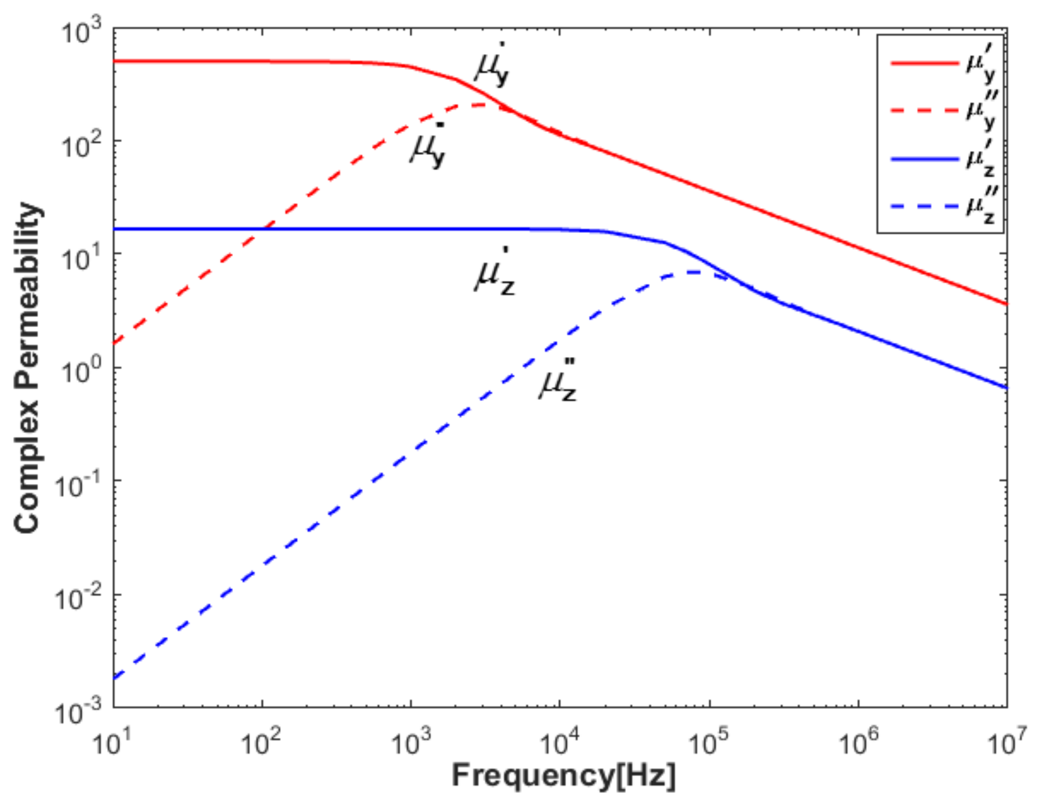
2.2. Anisotropic Relative Complex Permeability of the Lamination Core
2.3. Calculation of Inductance and Resistance
2.4. Calculation of Conductance and Capacitance
3. Analysis of Frequency Response Analysis Results
3.1. Comparison of Measurement and Simulation Frequency Response Analysis Results in Visual Inspection
3.2. Quantitative Analysis of Measurement and Simulation Frequency Response Analysis Results
4. Discussion
- (1)
- Although it is very complex and time-consuming, applying the simulation model presented and validated here on complete transformers, including different types and scales of windings, is very necessary.
- (2)
- The measured FRA results may include noises due to the capacitive and the magnetic coupling of the measurement system with external interferences. So, reducing the disturbance of the external environment needs to be further studied to obtain more precise experiment results.
- (3)
- One factor that has not been considered and may have an effect on the simulation FRA results is the frequency-dependent equivalent capacitance of the MTL model. This factor, if considered, may improve the results in the high frequency range. Therefore, proposals of a method that takes this factor into consideration are worthy of further investigation.
5. Conclusions
Acknowledgments
Author Contributions
Conflicts of Interest
Appendix A
| Turn Number | 1 | 5 | 7 | 9 |
|---|---|---|---|---|
| 1 | 2.25 × 10−6 H | 1.75 × 10−6 H | 1.63 × 10−6 H | 1.54 × 10−6 H |
| 5 | 1.75 × 10−6 H | 2.03 × 10−6 H | 1.69 × 10−6 H | 1.62 × 10−6 H |
| 7 | 1.63 × 10−6 H | 1.69 × 10−6 H | 1.96 × 10−6 H | 1.65 × 10−6 H |
| 9 | 1.54 × 10−6 H | 1.62 × 10−6 H | 1.65 × 10−6 H | 1.93 × 10−6 H |
| Turn Number | 1 | 5 | 7 | 9 |
|---|---|---|---|---|
| 1 | 197.19 pF | −89.79 pF | −68.67 pF | −46.51 pF |
| 5 | −89.79 pF | 284.55 pF | −213.68 pF | −169.82 pF |
| 7 | −68.67 pF | 213.68 pF | 390.74 pF | −267.36 pF |
| 9 | −46.51 pF | −169.82 pF | −267.36 pF | 465.89 pF |
References
- Dick, E.; Erven, C. Transformer Diagnostic Testing by Frequency Response Analysis. IEEE Trans. Power Appar. Syst. 1978, 6, 2144–2153. [Google Scholar] [CrossRef]
- Abeywickrama, K.G.N.; Serdyuk, B.Y.V.; Gubanski, S.M. Exploring possibilities for characterization of power transformer insulation by frequency response analysis (FRA). IEEE Trans. Power Deliv. 2006, 21, 1375–1382. [Google Scholar] [CrossRef]
- Alsuhaibani, S.; Khan, Y.; Beroual, A.; Malik, N. A Review of Frequency Response Analysis Methods for Power Transformer Diagnostics. Energies 2016, 9, 879. [Google Scholar] [CrossRef]
- Gomez-Luna, E.; Aponte Mayor, G.; Gonzalez-Garcia, C.; Pleite Guerra, J. Current status and future trends in frequency-response analysis with a transformer in service. IEEE Trans. Power Deliv. 2013, 28, 1024–1031. [Google Scholar] [CrossRef]
- Cigre, W.G. Mechanical Condition Assessment of Transformer Windings Using Frequency Response Analysis (FRA); Brochure 342; CIGRE: Paris, France, 2008. [Google Scholar]
- Jayasinghe, J.A.S.B.; Wang, Z.D.; Jarman, P.N.; Darwin, A.W. Winding movement in power transformers: A comparison of FRA measurement connection methods. IEEE Trans. Dielectr. Electr. Insul. 2006, 13, 1342–1349. [Google Scholar] [CrossRef]
- Wang, S.; Wang, S.H.; Feng, H.K.; Guo, Z.; Wang, S.; Li, H.L. A New Interpretation of FRA Results by Sensitivity Analysis Method of Two FRA Measurement Connection Ways. IEEE Trans. Magn. 2018, 54, 1–4. [Google Scholar] [CrossRef]
- Hashemnia, N.; Abu-Siada, A.; Islam, S. Improved Power Transformer Winding Fault Detection using FRA Diagnostics—Part 1: Axial Displacement Simulation. IEEE Trans. Dielectr. Electr. Insul. 2015, 22, 556–563. [Google Scholar] [CrossRef]
- Hashemnia, N.; Abu-Siada, A.; Islam, S. Improved Power Transformer Winding Fault Detection using FRA Diagnostics—Part 2: Radial Deformation Simulation. IEEE Trans. Dielectr. Electr. Insul. 2015, 22, 564–570. [Google Scholar] [CrossRef]
- Abu-Siada, A.; Hashemnia, N.; Islam, S.; Masoum, M.A.S. Understanding Power Transformer Frequency Response Analysis Signatures. IEEE Electr. Insul. Mag. 2013, 29, 48–56. [Google Scholar] [CrossRef]
- Satish, L.; Sahoo, S.K. An Effort to Understand What Factors Affect the Transfer Function of a Two-Winding Transformer. IEEE Trans. Power Deliv. 2005, 20, 1430–1440. [Google Scholar] [CrossRef]
- Wang, Z.D.; Li, J.; Sofian, D.M. Interpretation of Transformer FRA Response – Part I: Influence of Winding structure. IEEE Trans. Power Deliv. 2009, 24, 703–710. [Google Scholar] [CrossRef]
- Islam, S.M. Detection of shorted turns and winding movements in large power transformers using frequency response analysis. In Proceedings of the Power Engineering Society Winter Meeting, Singapore, 23–27 January 2000. [Google Scholar]
- Pham, D.A.K.; Gockenbach, E. Analysis of physical transformer circuits for frequency response interpretation and mechanical failure diagnosis. IEEE Trans. Dielectr. Electr. Insul. 2016, 23, 1491–1499. [Google Scholar] [CrossRef]
- Ji, T.Y.; Tang, W.H.; Wu, Q.H. Detection of power transformer winding deformation and variation of measurement connections using a hybrid winding model. Electr. Power Syst. Res. 2012, 87, 39–46. [Google Scholar] [CrossRef]
- Shintemirov, A.; Tang, W.H.; Wu, Q.H. A Hybrid Winding Model of Disc-Type Power Transformers for Frequency Response Analysis. IEEE Trans. Power Deliv. 2009, 24, 730–739. [Google Scholar] [CrossRef]
- Rahimpour, E.; Christian, J.; Feser, K. Transfer function method to diagnose axial displacement and radial deformation of transformer windings. IEEE Trans. Power Deliv. 2003, 18, 493–505. [Google Scholar] [CrossRef]
- Wilcox, D.; Hurleyand, W.; Conlon, M. Calculation of self and mutual impedances between sections of transformer windings. IEE Proc. C 1989, 136, 308–314. [Google Scholar] [CrossRef]
- Liang, G.S.; Sun, H.; Zhang, X.; Cui, X. Modeling of Transformer Winding under Very Fast Transient Overvoltages. IEEE Trans. Electromagn. Compat. 2006, 48, 621–627. [Google Scholar] [CrossRef]
- Jayasinghe, J.; Wang, Z.D.; Jarman, P.N.; Darwin, A.W. Investigations on sensitivity of Fra technique in diagnosis of transformer winding deformations. In Proceedings of the Conference Record of the 2004 IEEE International Symposium on Electrical Insulation, Indianapolis, IN, USA, 19–22 September 2004. [Google Scholar]
- Hettiwatte, S.N.; Crossley, P.A.; Wang, Z.D.; Darwin, A.; Edwards, G. Simulation of a transformer winding for partial discharge propagation studies. In Proceedings of the Power Engineering Society Winter Meeting, New York, NY, USA, 27–31 January 2002. [Google Scholar]
- Popov, M.; van der Sluis, L.; Smeets, R.P.P. Modelling, simulation and measurement of fast transients in transformer windings with consideration of frequency-dependent losses. IET Electr. Power Appl. 2007, 1, 29–35. [Google Scholar] [CrossRef]
- Abeywickrama, N.; Podoltsey, A.D.; Serdyuk, Y. Computation of Parameters of Power Transformer Windings for Use in Frequency Response Analysis. IEEE Trans. Magn. 2007, 23, 4076–4082. [Google Scholar] [CrossRef]
- Abeywickrama, N.; Serdyuk, Y.; Gubanski, S. High-Frequency Modeling of Power Transformers for Use in FRA. IEEE Trans. Power Deliv. 2008, 23, 2042–2049. [Google Scholar] [CrossRef]
- Samimi, M.H.; Tenbohlen, S.; Shayegani Akmal, A.A.; Mohseni, H. Effect of different connection schemes, terminating resistors and measurement impedances on the sensitivity of FRA method. IEEE Trans. Power Deliv. 2017, 32, 1713–1720. [Google Scholar] [CrossRef]








| Winding | Value | Core | Value |
|---|---|---|---|
| Inner radius | 95 mm | Length of core | 420 mm |
| Out radius | 130 mm | Width of core | 150 mm |
| Height of the winding | 260 mm | Height of the core | 560 mm |
| Height of disc | 16 mm | Thickness of core sheet | 0.5 mm |
| Turns of winding | 13 | Core material | DW470-50 |
| Item | 1 − CC | ED | CR/% |
|---|---|---|---|
| With considering the frequency-dependent property of the core | 0.03 | 627.01 | 17.47 |
| Without considering the frequency-dependent property of the core | 0.06 | 963.35 | 50.00 |
© 2018 by the authors. Licensee MDPI, Basel, Switzerland. This article is an open access article distributed under the terms and conditions of the Creative Commons Attribution (CC BY) license (http://creativecommons.org/licenses/by/4.0/).
Share and Cite
Wang, S.; Guo, Z.; Zhu, T.; Feng, H.; Wang, S. A New Multi-Conductor Transmission Line Model of Transformer Winding for Frequency Response Analysis Considering the Frequency-Dependent Property of the Lamination Core. Energies 2018, 11, 826. https://doi.org/10.3390/en11040826
Wang S, Guo Z, Zhu T, Feng H, Wang S. A New Multi-Conductor Transmission Line Model of Transformer Winding for Frequency Response Analysis Considering the Frequency-Dependent Property of the Lamination Core. Energies. 2018; 11(4):826. https://doi.org/10.3390/en11040826
Chicago/Turabian StyleWang, Song, Ze Guo, Ting Zhu, Hanke Feng, and Shuhong Wang. 2018. "A New Multi-Conductor Transmission Line Model of Transformer Winding for Frequency Response Analysis Considering the Frequency-Dependent Property of the Lamination Core" Energies 11, no. 4: 826. https://doi.org/10.3390/en11040826
APA StyleWang, S., Guo, Z., Zhu, T., Feng, H., & Wang, S. (2018). A New Multi-Conductor Transmission Line Model of Transformer Winding for Frequency Response Analysis Considering the Frequency-Dependent Property of the Lamination Core. Energies, 11(4), 826. https://doi.org/10.3390/en11040826
