Fourier Transform Infrared (FTIR) Spectroscopy Analysis of Transformer Paper in Mineral Oil-Paper Composite Insulation under Accelerated Thermal Aging
Abstract
1. Introduction
2. Experimental Specimens and FTIR Measurement
2.1. Preparation of Experimental Specimens
2.2. Fourier Transform Infrared (FTIR) Spectroscopy
3. Results and Discussion
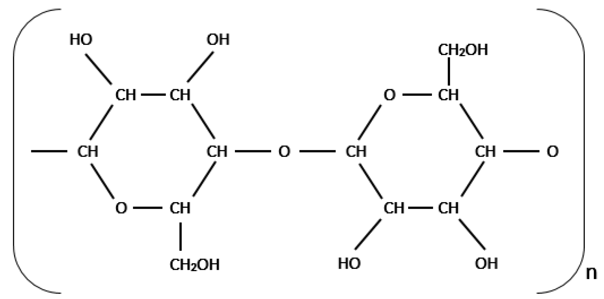
3.1. Fourier Transform Infrared (FTIR) Spectroscopy Analysis of Transformer Paper
3.2. Correlation between Average Number of Chain Scissions and the Structural Changes of Transformer Paper Aged in Mineral Oil
4. Conclusions
Acknowledgments
Author Contributions
Conflicts of Interest
References
- Mildemberger, L.; Andreoli, M.C.; Silva, G.C.D.; Motta, H.N.D.; Gulmine, J.V.; Munaro, M. Correlation between stabilizer consumption and degree of polymerization of thermally upgraded paper aged in insulating natural ester and insulating mineral oil. Polímeros 2016, 26, 61–65. [Google Scholar] [CrossRef]
- Kumar, A.P.; Singh, R.P. Biocomposites of cellulose reinforced starch: Improvement of properties by photo-induced crosslinking. Elsevier J. Bioresour. Technol. 2008, 99, 8803–8809. [Google Scholar] [CrossRef] [PubMed]
- Ciuriuc, A.; Dumitran, L.M.; Notingher, P.V.; Badicu, L.V.; Setnescu, R.; Setnescu, R. Lifetime estimation of vegetable and mineral oil impregnated paper for power transformers’. In Proceedings of the 2016 IEEE International Conference on Dielectrics (ICD), Montpellier, France, 3–7 July 2016. [Google Scholar]
- Gorgan, B.; Notingher, P.V.; Wetzer, J.M.; Verhaart, H.F.A.; Wouters, P.A.A.F.; Schijndel, A.V.; Tanasescu, G. Calculation of the remaining life of power transformers paper insulation. In Proceedings of the 13th International Conference on Optimization of Electrical and Electronic Equipment (OPTIM), Brasov, Romania, 5 July 2012. [Google Scholar]
- Verma, P.; Chauhan, D.; Singh, P. Effects on tensile strength of transformer insulation paper under accelerated thermal and electrical stress. In Proceedings of the Annual Report Conference on Electrical Insulation and Dielectric Phenomena (CEIDP), Vancouver, BC, Canada, 14–17 October 2007. [Google Scholar]
- Baird, P.J.; Herman, H.; Stevens, G.C. On-Site analysis of transformer paper insulation using portable spectroscopy for chemometric prediction of aged condition. IEEE Trans. Dielectr. Electr. Insul. 2008, 15, 1089–1099. [Google Scholar] [CrossRef]
- Bandara, K.; Ekanayake, C.; Saha, T.K.; Annamalai, P.K. Understanding the aging aspects of natural ester based insulation liquid in power transformer. IEEE Trans. Dielectr. Electr. Insul. 2016, 23, 246–257. [Google Scholar] [CrossRef]
- Emsley, A.M.; Stevens, G.C. Review of chemical indicators of degradation of cellulosic electrical paper insulation in oil-filled transformers. IEE Proc. Sci. Meas. Technol. 1994, 141, 324–334. [Google Scholar] [CrossRef]
- Rahmat, S.; Pasaribu, R.A.; Suwarno. Effects of thermal aging on dielectric properties and DGA of oil-paper insulations. In Proceedings of the 3rd Conference on Power Engineering and Renewable Energy (ICPERE), Yogyakarta, Indonesia, 29–30 November 2016. [Google Scholar]
- Martins, M.A.G.; Gomes, A.R. Comparative study of the thermal degradation of synthetic and natural esters and mineral oil: Effect of oil type in the thermal degradation of insulating kraft paper. IEEE Electr. Insul. Mag. 2012, 28, 22–28. [Google Scholar] [CrossRef]
- Suwarno; Pasaribu, R.A. Thermal aging of mineral-oil paper composite insulation for high voltage transformer. Int. J. Electr. Eng. Inf. ITB 2016, 8, 820–835. [Google Scholar] [CrossRef]
- Hodges, P. Hydraulic Fluids, 1st ed.; Elsevier: Stabekk, Norway, 1996; pp. 17–77. [Google Scholar]
- Cui, H.; Abu-Siada, A.; Li, S.; Islam, S. Correlation between dissolved gases and oil spectral response. In Proceedings of the 1st International Conference on Electrical Materials and Power Equipment (ICEMPE), Xi’an, China, 14–17 May 2017. [Google Scholar]
- Baka, N.; Abu-Siada, A.; Islam, S.; El-Naggar, M. A new technique to measure interfacial tension of transformer oil using UV-Vis spectroscopy. IEEE Trans. Dielectr. Electr. Insul. 2015, 22, 1275–1282. [Google Scholar] [CrossRef]
- Das, N.; Abu-Siada, A.; Islam, S. New approach to estimate furan contents in transformer oil using spectroscopic analysis. In Proceedings of the 22nd Australasian Universities Power Engineering Conference (AUPEC), Bali, Indonesia, 26–29 September 2012. [Google Scholar]
- Herman, H.; Shenton, M.J.; Stevens, G.C.; Heywood, R.J. A new approach to condition assessment and lifetime prediction of paper and oil used as transformer insulation. In Proceedings of the IEEE 7th International Conference on Solid Dielectrics, Eindhoven, Netherlands, 25–29 June 2001. [Google Scholar]
- Munajad, A.; Subroto, C.; Suwarno. Study on the effects of thermal aging on insulating paper for high voltage transformer composite with natural ester from palm oil using fourier transform infrared spectroscopy (FTIR) and energy dispersive x-ray spectroscopy (EDS). Energies 2017, 10, 1857. [Google Scholar] [CrossRef]
- Przybylek, P. A new method for indirect measurement of water content in fibrous electro-insulating materials using near-infrared spectroscopy. IEEE Trans. Dielectr. Electr. Insul. 2016, 23, 1798–1804. [Google Scholar] [CrossRef]
- Saha, T.K. Review of modern diagnostic techniques for assessing insulation condition in aged transformers. IEEE Trans. Dielectr. Electr. Insul. 2003, 10, 903–917. [Google Scholar] [CrossRef]
- IEEE. IEEE Std. C57.100–2011: IEEE Standard Test Procedure for Thermal Evaluation of Insulation Systems for Liquid-Immersed Distribution and Power Transformers; IEEE: New York, NY, USA, 2011. [Google Scholar]
- Sun, P.; Sima, W.; Yang, M.; Wu, J. Influence of thermal aging on the breakdown characteristic of transformer oil impregnated paper. IEEE Trans. Dielectr. Electr. Insul. 2016, 23, 3373–3381. [Google Scholar] [CrossRef]
- IEEE. IEEE Std. C57.91–1995: IEEE Guide for Loading Mineral-Oil-Immersed Transformers; IEEE: New York, NY, USA, 1996. [Google Scholar]
- McShane, C.; Rapp, K.; Corkran, J.; Gauger, G.; Luksich, J. Aging of kraft paper in natural ester dielectric fluid. In Proceedings of the IEEE 14th International Conference on Dielectric Liquids (ICDL), Graz, Austria, 7 November 2002. [Google Scholar]
- IEEE. IEEE Std. 1538–2000: IEEE Guide for Determination Of Maximum Winding Temperature Rise in Liquid-Filled Transformers; IEEE: New York, NY, USA, 2000. [Google Scholar]
- Bakar, N.A.; Cui, H.; Abu-Siada, A.; Li, S. A review of spectroscopy technology applications in transformer condition monitoring. In Proceedings of the International Conference on Condition Monitoring and Diagnosis (CMD), Xi’an, China, 25–28 September 2016. [Google Scholar]
- Liao, R.; Liang, S.; Yang, L.; Hao, J.; Li, J. Comparison of ageing results for transformer oil-paper insulation subjected to thermal ageing in mineral oil and ageing in retardant oil. IEEE Trans. Dielectr. Electr. Insul. 2012, 19, 225–232. [Google Scholar] [CrossRef]
- Hinterstoisser, B.; Åkerholm, M.; Salmén, L. Effect of fiber orientation in dynamic FTIR study on native cellulose. Elsevier J. Carbohydr. Res. 2001, 334, 27–37. [Google Scholar] [CrossRef]
- Ciuriuc, A.; Vihancencu, M.S.; Dumitran, L.M.; Notingher, P.V. Comparative study on power transformers vegetable and mineral oil ageing. In Proceedings of the 2012 International Conference on Applied and Theoretical Electricity (ICATE), Craiova, Romania, 25–27 October 2012. [Google Scholar]
- Garcia, B.; Garcia, T.; Primo, V.; Burgos, J.C.; Urquiza, D. Studying the loss of life of natural-ester-filled transformer insulation: impact of moisture on the aging rate of paper. IEEE Electr. Insul. Mag. 2017, 33, 15–23. [Google Scholar] [CrossRef]
- Scheirs, J.; Camino, G.; Tumiatti, W. Overview of water evolution during the thermal degradation of cellulose. Eur. Polym. J. 2001, 37, 933–942. [Google Scholar] [CrossRef]
- Ese, M.G.; Liland, K.B.; Lesaint, C.; Kes, M. Esterification of low molecular weight acids in cellulose. IEEE Trans. Dielectr. Electr. Insul. 2014, 21, 662–665. [Google Scholar] [CrossRef]
- Noirhomme, B.; Lessard, M.-C.; Jalbert, J.; Besner, S.; Brochu, F.; Dupuis, E. Influence of transformer oil acidity on insulating paper degradation. In Proceedings of the IEEE Electrical Insulation Conference (EIC), Ottawa, Canada, 15 July 2013. [Google Scholar]
- Jang, J.-S.R.; Sun, C.-T. Neuro-fuzzy modeling and control. Proc. IEEE 1995, 83, 378–406. [Google Scholar] [CrossRef]
- Lundgaard, L.E.; Hansen, W.; Linhjell, D.; Painter, T.J. Aging of oil-impregnated paper in power transformers. IEEE Trans. Power Deliv. 2004, 19, 230–239. [Google Scholar] [CrossRef]
- Prasojo, R.A.; Diwyacitta, K.; Suwarno; Gumilang, H. Transformer paper expected life estimation using ANFIS based on oil characteristics and dissolved gases (case study: indonesian transformers). Energies 2017, 10, 1135. [Google Scholar] [CrossRef]









| Sample | Aging |
|---|---|
| MO.T0 | Initial state |
| MO.T1.120 | 120 °C for 336 h |
| MO.T2.120 | 120 °C for 672 h |
| MO.T3.120 | 120 °C for 1008 h |
| MO.T1.150 | 150 °C for 336 h |
| MO.T2.150 | 150 °C for 672 h |
| MO.T3.150 | 150 °C for 1008 h |
| Temperature | Aging Time (h) | |||
|---|---|---|---|---|
| 0 | 336 | 672 | 1008 | |
| 120 °C | ![]() | ![]() | ![]() | ![]() |
| 150 °C | ![]() | ![]() | ![]() | ![]() |
| Wavenumber (cm−1) | MO.T0 | MO.T1.120 | MO.T2.120 | MO.T3.120 |
|---|---|---|---|---|
| 2922 | 0.03842 | 0.0672 | 0.08303 | 0.10985 |
| 2854 | 0.03715 | 0.0557 | 0.06799 | 0.08303 |
| 1745 | 0.0188 | 0.0283 | 0.03432 | 0.05827 |
| 1454 | 0.03391 | 0.04389 | 0.03745 | 0.05759 |
| 1369 | 0.04387 | 0.04976 | 0.04438 | 0.05549 |
| 1314 | 0.05322 | 0.05592 | 0.05142 | 0.05979 |
| 1159 | 0.06123 | 0.06773 | 0.06436 | 0.0834 |
| 1104 | 0.09064 | 0.09366 | 0.08533 | 0.10457 |
| 1050 | 0.14004 | 0.14092 | 0.1278 | 0.14907 |
| 1026 | 0.15272 | 0.15453 | 0.14076 | 0.16223 |
| 815 | 0.05484 | 0.06236 | 0.05699 | 0.0658 |
| Wavenumber (cm−1) | MO.T0 | MO.T1.150 | MO.T2.150 | MO.T3.150 |
|---|---|---|---|---|
| 2922 | 0.03842 | 0.06619 | 0.07869 | 0.10029 |
| 2854 | 0.03715 | 0.05521 | 0.06416 | 0.07608 |
| 1745 | 0.0188 | 0.03462 | 0.04943 | 0.0555 |
| 1454 | 0.03391 | 0.04588 | 0.05008 | 0.05566 |
| 1369 | 0.04387 | 0.05201 | 0.05488 | 0.05503 |
| 1314 | 0.05322 | 0.06098 | 0.06271 | 0.06098 |
| 1159 | 0.06123 | 0.07295 | 0.07874 | 0.07974 |
| 1104 | 0.09064 | 0.09967 | 0.10123 | 0.10112 |
| 1050 | 0.14004 | 0.14617 | 0.14438 | 0.14046 |
| 1026 | 0.15272 | 0.15797 | 0.15712 | 0.15071 |
| 815 | 0.05484 | 0.06179 | 0.06755 | 0.06297 |
| Sample | Avg. Chain Scission (×1000) |
|---|---|
| MO | 0 |
| MO.T1.120 | 1244 |
| MO.T2.120 | 2487 |
| MO.T3.120 | 3731 |
| MO.T1.150 | 13,839 |
| MO.T2.150 | 27,678 |
| MO.T3.150 | 41,517 |
| Sample | Testing Method | Parameter | R2 |
|---|---|---|---|
| 120 | FTIR | Intensity of absorbance peak of O–H (3329 cm−1) functional group | 0.949 |
| 150 | 0.9993 | ||
| 120 | FTIR | Intensity of absorbance peak of C–H (2922 cm−1) functional group | 0.9889 |
| 150 | 0.9804 | ||
| 120 | FTIR | Intensity of absorbance peak of C–H (2854 cm−1) functional group | 0.9937 |
| 150 | 0.9793 | ||
| 120 | FTIR | Intensity of absorbance peak of C=O (1745 cm−1) functional group | 0.9968 |
| 150 | 0.9115 |
© 2018 by the authors. Licensee MDPI, Basel, Switzerland. This article is an open access article distributed under the terms and conditions of the Creative Commons Attribution (CC BY) license (http://creativecommons.org/licenses/by/4.0/).
Share and Cite
Munajad, A.; Subroto, C.; Suwarno. Fourier Transform Infrared (FTIR) Spectroscopy Analysis of Transformer Paper in Mineral Oil-Paper Composite Insulation under Accelerated Thermal Aging. Energies 2018, 11, 364. https://doi.org/10.3390/en11020364
Munajad A, Subroto C, Suwarno. Fourier Transform Infrared (FTIR) Spectroscopy Analysis of Transformer Paper in Mineral Oil-Paper Composite Insulation under Accelerated Thermal Aging. Energies. 2018; 11(2):364. https://doi.org/10.3390/en11020364
Chicago/Turabian StyleMunajad, Abi, Cahyo Subroto, and Suwarno. 2018. "Fourier Transform Infrared (FTIR) Spectroscopy Analysis of Transformer Paper in Mineral Oil-Paper Composite Insulation under Accelerated Thermal Aging" Energies 11, no. 2: 364. https://doi.org/10.3390/en11020364
APA StyleMunajad, A., Subroto, C., & Suwarno. (2018). Fourier Transform Infrared (FTIR) Spectroscopy Analysis of Transformer Paper in Mineral Oil-Paper Composite Insulation under Accelerated Thermal Aging. Energies, 11(2), 364. https://doi.org/10.3390/en11020364









