Impact of Climate Change on Combined Solar and Run-of-River Power in Northern Italy
Abstract
1. Introduction
2. Study Area
3. Data and Methods
3.1. Regional Energy Load
3.2. Run-of-River Hydropower
3.3. Solar PV Power Generation
3.4. Evaluating the Penetration Rates of VRE Mixes
3.5. Future Scenarios
4. Penetration Rates for the Current Climate (1992–2009)
5. Penetration Rates for Future Climates
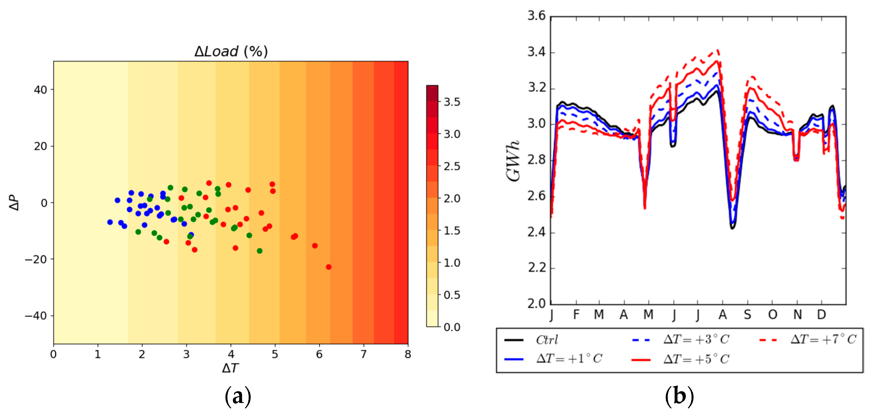
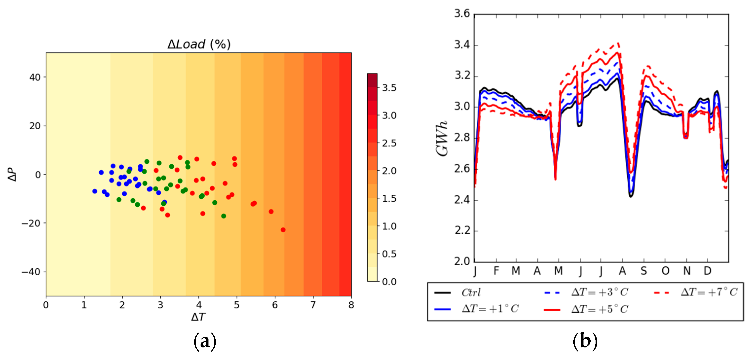
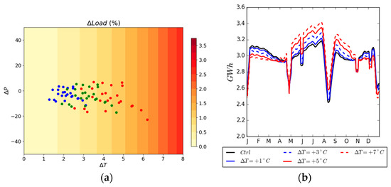
5.1. Future Electricity Consumption, RoR and Solar PV Power Production
5.2. Future Penetration Rates
5.3. Future Penetration Rates with Storage
6. Discussion and Conclusions
Acknowledgments
Author Contributions
Conflicts of Interest
References
- Jacobson, M.Z. Roadmaps to transition countries to 100% clean, renewable energy for all purposes to curtail global warming, Air Pollution, and Energy Risk. Earth’s Future 2017, 5, 948–952. [Google Scholar] [CrossRef]
- Engeland, K.; Borga, M.; Creutin, J.D.; François, B.; Ramos, M.H.; Vidal, J.P. Space-time variability of climate and hydro-meteorology and intermittent renewable energy production—A review. Renew. Sustain. Energy Rev. 2017, 79, 600–617. [Google Scholar] [CrossRef]
- François, B.; Borga, M.; Anquetin, S.; Creutin, J.D.; Engeland, K.; Favre, A.C.; Hingray, B.; Ramos, M.H.; Raynaud, D.; Renard, B.; et al. Integrating hydropower and intermittent climate-related renewable energies: A call for hydrology. Hydrol. Process 2014, 28, 5465–5468. [Google Scholar] [CrossRef]
- Saarinen, L.; Dahlbäck, N.; Lundin, U. Power system flexibility need induced by wind and solar power intermittency on time scales of 1–14 days. Renew. Energy 2015, 83, 339–344. [Google Scholar] [CrossRef]
- Raunbak, M.; Zeyer, T.; Zhu, K.; Greiner, M. Principal Mismatch Patterns Across a Simplified Highly Renewable European Electricity Network. Energies 2017, 10, 1934. [Google Scholar] [CrossRef]
- François, B. Influence of winter North-Atlantic Oscillation on Climate-Related-Energy penetration in Europe. Renew. Energy 2016, 99, 602–613. [Google Scholar] [CrossRef]
- IEA. Energy and Climate Change: World Energy Outlook, Special Report. 2015. Available online: https://www.iea.org (accessed on 19 January 2018).
- Jerez, S.; Tobin, I.; Vautard, R.; Montávez, J.P.; López-Romero, J.M.; Thais, F.; Bartok, B.; Christensen, O.B.; Colette, A.; Déqué, M.; et al. The impact of climate change on photovoltaic power generation in Europe. Nat. Commun. 2015, 6, 10014. [Google Scholar] [CrossRef] [PubMed]
- Sullivan, P.; Colman, J.; Kalendra, E. Predicting the Response of Electricity Load to Climate Change; NREL Technical Report; National Renewable Energy Laboratory (NREL): Golden, CO, USA, 2015. Available online: http://www.nrel.gov/docs/fy15osti/64297 (accessed on 19 January 2018).
- Bridge, G.; Bouzarovski, S.; Bradshaw, M.; Eyre, N. Geographies of energy transition: Space, place and the low-carbon economy. Energy Policy 2013, 53, 331–340. [Google Scholar] [CrossRef]
- Von Bremen, L. Large-scale variability of weather dependent renewable energy sources. In Management of Weather and Climate Risk in the Energy Industry; Springer: Berlin, Germany, 2010; pp. 189–206. [Google Scholar]
- Becker, S.; Rodriguez, R.A.; Andresen, G.B.; Schramm, S.; Greiner, M. Transmission grid extensions during the build-up of a fully renewable pan-European electricity supply. Energy 2014, 64, 404–418. [Google Scholar] [CrossRef]
- Wilby, R.L.; Dessai, S. Robust adaptation to climate change. Weather 2010, 65, 180–185. [Google Scholar] [CrossRef]
- Tobin, I.; Vautard, R.; Balog, I.; Bréon, F.-M.; Jerez, S.; Ruti, P.M.; Thais, F.; Vrac, M.; Yiou, P. Assessing climate change impacts on European wind energy from ENSEMBLES high-resolution climate projections. Clim. Chang. 2015, 128, 99–112. [Google Scholar] [CrossRef]
- Tobin, I.; Jerez, S.; Vautard, R.; Thais, F.; van Meijgaard, E.; Prein, A.; Déqué, M.; Kotlarski, S.; Maule, C.F.; Nikulin, G.; et al. Climate change impacts on the power generation potential of a European mid-century wind farms scenario. Environ. Res. Lett. 2016, 11, 034013. [Google Scholar] [CrossRef]
- François, B.; Hingray, B.; Creutin, J.D.; Hendrickx, F. Estimating Water System Performance under Climate Change: Influence of the Management Strategy Modeling. Water Resour. Manag. 2015, 29, 4903–4918. [Google Scholar] [CrossRef]
- Gaudard, L.; Gilli, M.; Romerio, F. Climate Change Impacts on Hydropower Management. Water Resour. Manag. 2013, 27, 5143–5156. [Google Scholar] [CrossRef]
- Schaefli, B. Projecting hydropower production under future climates: A guide for decision-makers and modelers to interpret and design climate change impact assessments. Wiley Interdiscip. Rev. Water 2015, 2, 271–289. [Google Scholar] [CrossRef]
- Christensen, N.S.; Wood, A.W.; Voisin, N.; Lettenmaier, D.P.; Palmer, R.N. The Effects of Climate Change on the Hydrology and Water Resources of the Colorado River Basin. Clim. Chang. 2004, 62, 337–363. [Google Scholar] [CrossRef]
- Brown, C.; Ghile, Y.; Laverty, M.; Li, K. Decision scaling: Linking bottom-up vulnerability analysis with climate projections in the water sector. Water Resour. Res. 2012, 48, W09537. [Google Scholar] [CrossRef]
- Stainforth, D.A.; Downing, T.E.; Washington, R.; Lopez, A.; New, M. Issues in the interpretation of climate model ensembles to inform decisions. Philos. Trans. R. Soc. Lond. A 2007, 365, 2163–2177. [Google Scholar] [CrossRef] [PubMed]
- Brown, C.; Wilby, R.L. An alternate approach to assessing climate risks. Eos Trans. Am. Geophys. Union 2012, 93, 401–402. [Google Scholar] [CrossRef]
- Kundzewicz, Z.W.; Stakhiv, E.Z. Are climate models “ready for prime time” in water resources management applications, or is more research needed? Hydrol. Sci. J. 2010, 55, 1085–1089. [Google Scholar] [CrossRef]
- Prudhomme, C.; Wilby, R.L.; Crooks, S.; Kay, A.; Reynard, N.S. Scenario-neutral approach to climate change impact studies: Application to flood risk. J. Hydrol. 2010, 390, 198–209. [Google Scholar] [CrossRef]
- Poff, N.L.; Brown, C.M.; Grantham, T.E.; Matthews, J.H.; Palmer, M.A.; Spence, C.M.; Wilby, R.L.; Haasnoot, M.; Mendoza, G.F.; Dominique, K.C.; et al. Sustainable water management under future uncertainty with eco-engineering decision scaling. Nat. Clim. Chang. 2015, 6, 25–34. [Google Scholar] [CrossRef]
- François, B.; Martino, S.; Tøfte, L.; Hingray, B.; Mo, B.; Creutin, J.-D. Effects of Increased Wind Power Generation on Mid-Norway’s Energy Balance under Climate Change: A Market Based Approach. Energies 2017, 10, 227. [Google Scholar] [CrossRef]
- Norbiato, D.; Borga, M.; Dinale, R. Flash flood warning in ungauged basins by use of the flash flood guidance and model-based runoff thresholds. Meteorol. Appl. 2009, 16, 65–75. [Google Scholar] [CrossRef]
- Gestore Servizi Energetici (GSE). Statistical Report: Renewable Energy Power Plants in Italy. Technical Report. 2011. Available online: http://www.gse.it/it/ (accessed on 30 November 2014).
- Moser, D.; Vettorato, D.; Vaccaro, R.; Del Buono, M.; Sparber, W. The PV Potential of South Tyrol: An Intelligent Use of Space. Energy Procedia 2014, 57, 1392–1400. [Google Scholar] [CrossRef]
- François, B.; Borga, M.; Creutin, J.D.; Hingray, B.; Raynaud, D.; Sauterleute, J.F. Complementarity between Solar and Hydro Power: Sensitivity study to climate characteristics in Northern-Italy. Renew. Energy 2016, 86, 543–553. [Google Scholar] [CrossRef]
- Hekkenberg, M.; Moll, H.C.; Uiterkamp, A.J.M.S. Dynamic temperature dependence patterns in future energy demand models in the context of climate change. Energy 2009, 34, 1797–1806. [Google Scholar] [CrossRef]
- Psiloglou, B.E.; Giannakopoulos, C.; Majithia, S.; Petrakis, M. Factors affecting electricity demand in Athens, Greece and London, UK: A comparative assessment. Energy 2009, 34, 1855–1863. [Google Scholar] [CrossRef]
- Nash, J.E.; Sutcliffe, J.V. River flow forecasting through conceptual models part I—A discussion of principles. J. Hydrol. 1970, 10, 282–290. [Google Scholar] [CrossRef]
- Hänggi, P.; Weingartner, R. Variations in Discharge Volumes for Hydropower Generation in Switzerland. Water Resour. Manag. 2012, 26, 1231–1252. [Google Scholar] [CrossRef]
- Norbiato, D.; Borga, M.; Degli Esposti, S.; Gaume, E.; Anquetin, S. Flash flood warning based on rainfall thresholds and soil moisture conditions: An assessment for gauged and ungauged basins. J. Hydrol. 2008, 362, 274–290. [Google Scholar] [CrossRef]
- Norbiato, D.; Borga, M.; Merz, R.; Bloschl, G.; Carton, A. Controls on event runoff coefficients in the eastern Italian Alps. J. Hydrol. 2009, 375, 312–325. [Google Scholar] [CrossRef]
- Cazorzi, F.; Dalla Fontana, G. Snowmelt modelling by combining air temperature and a distributed radiation index. J. Hydrol. 1996, 181, 169–187. [Google Scholar] [CrossRef]
- Hargreaves, G.H.; Samani, Z.A. Reference Crop Evapotranspiration from Ambient Air Temperature; American Society of Agricultural Engineers: St. Joseph, MI, USA, 1985. [Google Scholar]
- Moore, R. The PDM rainfall-runoff model. Hydrol. Earth Syst. Sci. 2007, 11, 483–499. [Google Scholar] [CrossRef]
- Perpiñan, O.; Lorenzo, E.; Castro, M.A. On the calculation of energy produced by a PV grid-connected system. Prog. Photovolt. 2007, 15, 265–274. [Google Scholar] [CrossRef]
- Duffie, J.A.; Beckman, W.A. Solar Engineering of Thermal Processes, 2nd ed.; Wiley: New York, NY, USA, 1991. [Google Scholar]
- Jaramillo, O.A.; Borja, M.A.; Huacuz, J.M. Using hydropower to complement wind energy: A hybrid system to provide firm power. Renew. Energy 2004, 29, 1887–1909. [Google Scholar] [CrossRef]
- François, B.; Hingray, B.; Raynaud, D.; Borga, M.; Creutin, J.D. Increasing climate-related-energy penetration by integrating run-of-the river hydropower to wind/solar mix. Renew. Energy 2016, 87, 686–696. [Google Scholar] [CrossRef]
- François, B.; Zoccatelli, D.; Borga, M. Assessing small hydro/solar power complementarity in ungauged mountainous areas: A crash test study for hydrological prediction methods. Energy 2017, 127, 716–729. [Google Scholar] [CrossRef]
- Ueckerdt, F.; Brecha, R.; Luderer, G. Analyzing major challenges of wind and solar variability in power systems. Renew. Energy 2015, 81, 1–10. [Google Scholar] [CrossRef]
- Bett, P.E.; Thornton, H.E. The climatological relationships between wind and solar energy supply in Britain. Renew. Energy 2016, 87, 96–110. [Google Scholar] [CrossRef]
- Heide, D.; von Bremen, L.; Greiner, M.; Hoffmann, C.; Speckmann, M.; Bofinger, S. Seasonal optimal mix of wind and solar power in a future, highly renewable Europe. Renew. Energy 2010, 35, 2483–2489. [Google Scholar] [CrossRef]
- Heide, D.; Greiner, M.; von Bremen, L.; Hoffmann, C. Reduced storage and balancing needs in a fully renewable European power system with excess wind and solar power generation. Renew. Energy 2011, 36, 2515–2523. [Google Scholar] [CrossRef]
- Chattopadhyay, K.; Kies, A.; Lorenz, E.; von Bremen, L.; Heinemann, D. The impact of different PV module configurations on storage and additional balancing needs for a fully renewable European power system. Renew. Energy 2017, 113, 176–189. [Google Scholar] [CrossRef]
- Vautard, R.; Thais, F.; Tobin, I.; Bréon, F.-M.; de Lavergne, J.-G.D.; Colette, A.; Yiou, P.; Ruti, P.M. Regional climate model simulations indicate limited climatic impacts by operational and planned European wind farms. Nat. Commun. 2014, 5, 3196. [Google Scholar] [CrossRef] [PubMed]
- Beaudin, M.; Zareipour, H.; Schellenberglabe, A.; Rosehart, W. Energy storage for mitigating the variability of renewable electricity sources: An updated review. Energy Sustain. Dev. 2010, 14, 302–314. [Google Scholar] [CrossRef]
- Weitemeyer, S.; Kleinhans, D.; Vogt, T.; Agert, C. Integration of Renewable Energy Sources in future power systems: The role of storage. Renew. Energy 2015, 75, 14–20. [Google Scholar] [CrossRef]
- Weitemeyer, S.; Kleinhans, D.; Wienholt, L.; Vogt, T.; Agert, C. A European Perspective: Potential of Grid and Storage for Balancing Renewable Power Systems. Energy Technol. 2015, 4, 114–122. [Google Scholar] [CrossRef]
- Taylor, K.E.; Stouffer, R.J.; Meehl, G.A. An Overview of CMIP5 and the Experiment Design. Bull. Am. Meteorol. Soc. 2012, 93, 485–498. [Google Scholar] [CrossRef]
- Hawkins, E.; Sutton, R. The potential to narrow uncertainty in projections of regional precipitation change. Clim. Dyn. 2011, 37, 407–418. [Google Scholar] [CrossRef]
- Lafaysse, M.; Hingray, B.; Gailhard, J.; Mezghani, A.; Terray, L. Internal variability and model uncertainty components in a multireplicate multimodel ensemble of hydrometeorological projections. Water Resour. Res. 2014, 50, 3317–3341. [Google Scholar] [CrossRef]
- Hingray, B.; Saïd, M. Partitioning internal variability and model uncertainty components in a multimodel multireplicate ensemble of climate projections. J. Clim. 2014, 27, 6779–6798. [Google Scholar] [CrossRef]
- Knutti, R.; Masson, D.; Gettelman, A. Climate model genealogy: Generation CMIP5 and how we got there. Geophys. Res. Lett. 2013, 40, 1194–1199. [Google Scholar] [CrossRef]
- Steinschneider, S.; McCrary, R.; Mearns, L.O.; Brown, C. The effects of climate model similarity on probabilistic climate projections and the implications for local, risk-based adaptation planning. Geophys. Res. Lett. 2015, 42, 5014–5044. [Google Scholar] [CrossRef]
- Adeboye, O.B.; Alatise, M.O. Performance of probability distributions and plotting positions in estimating the flood of river Osun at Apoje Sub-basin, Nigeria. Agric. Eng. Int. CIGR J. 2007, 9, 1–21. [Google Scholar]
- Steinschneider, S.; Brown, C. A semiparametric multivariate, multisite weather generator with low-frequency variability for use in climate risk assessments: Weather Generator for Climate Risk. Water Resour. Res. 2013, 49, 7205–7220. [Google Scholar] [CrossRef]
- Apadula, F.; Bassini, A.; Elli, A.; Scapin, S. Relationships between meteorological variables and monthly electricity demand. Appl. Energy 2012, 98, 346–356. [Google Scholar] [CrossRef]
- Scapin, S.; Apadula, F.; Brunetti, M.; Maugeri, M. High-resolution temperature fields to evaluate the response of Italian electricity demand to meteorological variables: An example of climate service for the energy sector. Theor. Appl. Climatol. 2016, 125, 729–742. [Google Scholar] [CrossRef]











| Modeling Center | Model | Institution |
|---|---|---|
| BCC | BCC-CSM1.1 | Beijing Climate Center, China Meteorological Administration |
| BCC-CSM1.1(m) | ||
| CCCma | CanESM2 | Canadian Center for Climate Modelling and Analysis |
| CMCC | CMCC-CM | Centro Euro-Mediterraneo par I Cambiamenti Climatici |
| CNRM-CERFACS | CNRM-CM5 | Centre National de Recherches Météorologiques ; Centre Européen de Recherche et Formation Avancées en Calcul Scientifique |
| CSIRO-BOM | ACCESS1.0 | CSIRO (Commonwealth Scientific and Industrial Research Organisation, Australia); BOM (Bureau of Meteorology) |
| CSIRO-QCCCE | CSIRO-Mk3.6.0 | Commonwealth Scientific and Industrial Research Organisation in collaboration with the Queensland Climate Change Center of Excellence |
| GCESS | BNU-ESM | College of Global Change and Earth System Science, Beijing Normal University |
| INM | INM-CM4 | Institute for Numerical Mathematics |
| IPSL | IPSL-CM5A-MR | Institut Pierre-Simon Laplace |
| LASG-CESS | FGOALS-g2 | LASG, Institute of Atmospheric Physics, Chinese Academy of Sciences, and CESS, Tsinghua University |
| MIROC | MIROC5 | Atmosphere and Ocean Research Institute (Univ. Tokyo); National Institute for Environmental Studies; Japan Agency for Marine-Earth-Science and Technology |
| MIROC-ESM | ||
| MIROC-ESM-CHEM | ||
| MPI-M | MPI-ESM-MR | Max Planck Institute for Meteorology (MPI-M) |
| MRI | MRI-CGCM3 | Meteorological Research Institute |
| NSA GISS | GISS-E2-R | NASA Goddard Institute for Space Studies |
| NCAR | CCSM4 | National Center for Atmospheric Research |
| NCC | NorESM1-M | Norwegian Climate Center |
| NOAA GFDL | GFDL-CM3 | Geophysical Fluid Dynamics Laboratory |
| GFDL-ESM2G | ||
| GFDL-ESM2M | ||
| NSF-DOE-NCAR | CESM1(BGC) | National Science Foundation; Department of Energy; National Center for Atmospheric Research |
| CESM1(CAM5) |
© 2018 by the authors. Licensee MDPI, Basel, Switzerland. This article is an open access article distributed under the terms and conditions of the Creative Commons Attribution (CC BY) license (http://creativecommons.org/licenses/by/4.0/).
Share and Cite
François, B.; Hingray, B.; Borga, M.; Zoccatelli, D.; Brown, C.; Creutin, J.-D. Impact of Climate Change on Combined Solar and Run-of-River Power in Northern Italy. Energies 2018, 11, 290. https://doi.org/10.3390/en11020290
François B, Hingray B, Borga M, Zoccatelli D, Brown C, Creutin J-D. Impact of Climate Change on Combined Solar and Run-of-River Power in Northern Italy. Energies. 2018; 11(2):290. https://doi.org/10.3390/en11020290
Chicago/Turabian StyleFrançois, Baptiste, Benoit Hingray, Marco Borga, Davide Zoccatelli, Casey Brown, and Jean-Dominique Creutin. 2018. "Impact of Climate Change on Combined Solar and Run-of-River Power in Northern Italy" Energies 11, no. 2: 290. https://doi.org/10.3390/en11020290
APA StyleFrançois, B., Hingray, B., Borga, M., Zoccatelli, D., Brown, C., & Creutin, J.-D. (2018). Impact of Climate Change on Combined Solar and Run-of-River Power in Northern Italy. Energies, 11(2), 290. https://doi.org/10.3390/en11020290

