An Investigation on the Efficiency Correction Method of the Turbocharger at Low Speed
Abstract
:1. Introduction
2. Turbine and Compressor Efficiency of the Turbocharger
3. Test Bench and Experiment Method
4. Result Analysis and Efficiency Correction (Test 1)
4.1. Effects of Temperature Changes from Oil and Turbine Inlet
4.2. Calculation of the Heat Transfer to the Compressor
4.3. Correction of Compressor Efficiency (Test 1)
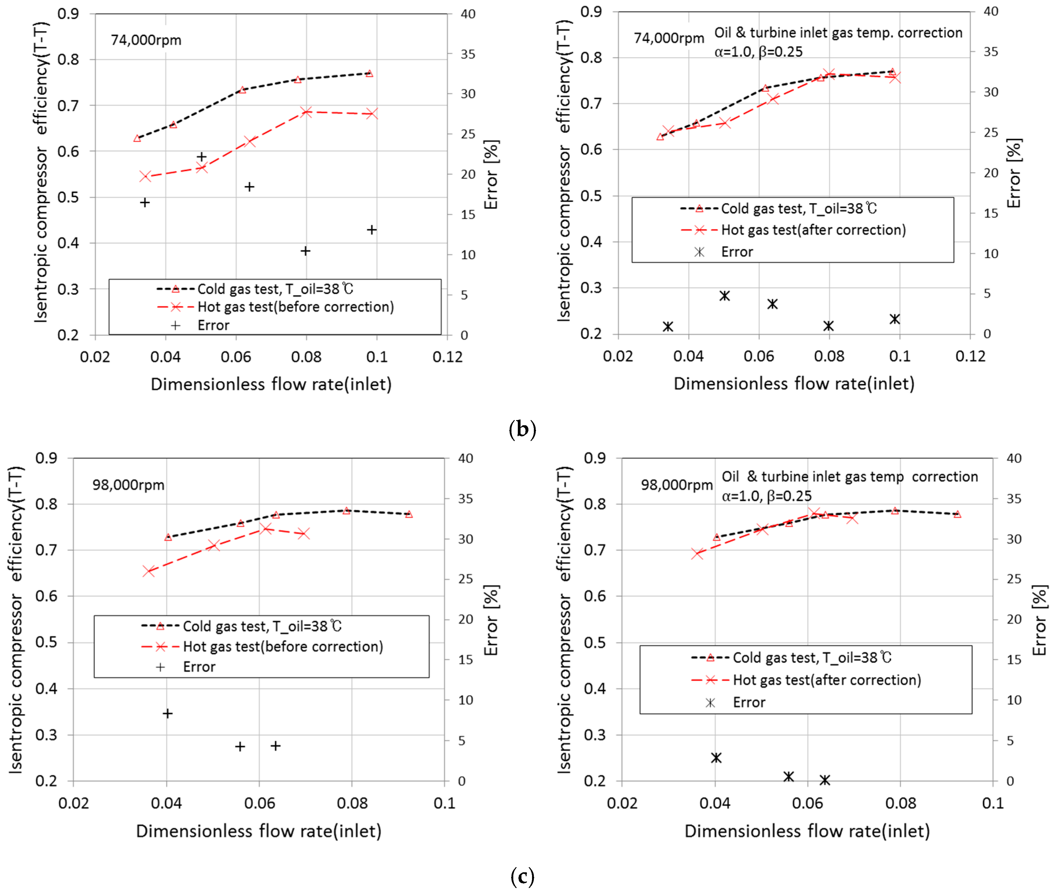
4.4. Verification of Compressor Efficiency Correction (Test 2)
4.5. Verification of Turbine Efficiency Correction
5. Conclusions
- (1)
- Heat transfer from the outside during these low speeds causes underestimation of compressor efficiency.
- (2)
- The heat transfer rate of the oil to the compressor was calculated by analyzing cold gas test results, and performed a correction of compressor efficiency calculation depending on the oil temperature.
- (3)
- The correction of compressor efficiency, depending on the turbine inlet temperature, was performed through both hot and cold gas tests, and the results showed a maximum of 23% error prior to correction and a maximum of 5% error after the correction at 52,000 rpm.
- (4)
- The corrected compressor efficiency during the tests of the oil and turbine inlet temperatures did not show a significant difference as compared to the cold gas test results during the oil temperature at 38 °C, which indicates minimum distortion from the heat transfer effect during low speed, thus confirming that there was no distortion during the correction process.
- (5)
- In order to verify the efficiency correction method of an additional compressor, a compressor efficiency correction method was applied to the results of manufacturer’s hot gas test. Showing the tendency of compressor efficiency results to match through the laboratory cold gas test, the reliability of the compressor efficiency correction method of the objection method was verified.
- (6)
- Based on the corrected compressor efficiency, the turbine combined efficiency results were corrected by the turbocharger manufacturer, and the overestimation of the turbine combined efficiency by heat transfer was lowered, and it was confirmed that the turbine combined efficiency correction was possible.
Acknowledgments
Author Contributions
Conflicts of Interest
Abbreviations
| Coefficient of heat transfer from the lubricant oil | |
| Coefficient of heat transfer from the exhaust gas | |
| Cp. c | Specific heat at constant compressor pressure |
| Cp. t | Specific heat of turbine gas |
| Dc | Compressor blade diameter |
| hc | Specific compressor enthalpy |
| hc,corr | Corrected specific enthalpy in compressor |
| hc,mea | Measured specific compressor enthalpy |
| his,c | Isentropic compressor enthalpy |
| c | Air mass flow rate |
| t | Turbine gas flow rate |
| Pc | Compressor power |
| Pis,c | Isentropic compressor power |
| Pis,t | Isentropic turbine power |
| Ploss | Mechanical friction loss power |
| Pt | Turbine power |
| Heat transfer rate to compressor | |
| qc | Heat flux to compressor |
| Tcomp | Representative compressor temperature |
| T1 | Compressor inlet temperature |
| T2 | Compressor outlet temperature |
| T2,is | Isentropic compressor outlet temperature |
| T3 | Turbine inlet gas temperature |
| T4 | Turbine outlet gas temperature |
| Uc | Compressor blade tip speed |
| Maximum compressor blade tip speed | |
| ηis,c | Isentropic compressor efficiency |
| ηis,c,corr | Corrected specific enthalpy in compressor |
| ηis,c,mea | Measured compressor efficiency |
| ηis,t | Isentropic turbine efficiency |
| ηm,TC | Mechanical efficiency of turbocharger |
| ηt | Turbine overall efficiency |
| ρc | Air density in compressor |
| Dimensionless flow rate | |
| c | Compressor work |
| is,c | Isentropic compressor work |
References
- Aghaali, H.; Angstrom, H.E. Improving Turbocharged Engine Simulation by Including Heat Transfer in the Turbocharger; SAE Technical Paper No. 2012-01-0703; SAE International: Warrendale, PA, USA, 2012. [Google Scholar]
- Njoya, T.; Nakhjiri, M.; Plez, P.F.; Frase, R. Scaling methods for matching tasks in turbocharged engines. In Proceedings of the ASME Turbo Expo 2014: Turbine Technical Conference and Exposition, Düsseldorf, Germany, 16–20 June 2014. [Google Scholar]
- Otobe, T.; Grigoroadis, P.; Sens, M.; Berndt, R. Method of performance measurement for low turbocharger speeds. In Proceedings of the 9th International Conference on Turbochargers and Turbocharging-Institution of Mechanical Engineers, Combustion Engines and Fuels Group, London, UK, 19–20 May 2010. [Google Scholar]
- Park, Y.; Park, K.; Min, K.; Sunwoo, M. Model-based feedforward control of the VGT in a diesel engine based on empirical models of compressor and turbine efficiencies. Int. J. Automot. Technol. 2015, 16, 561–570. [Google Scholar] [CrossRef]
- Schorn, N.A. The Radial Turbine for Small Turbocharger Applications: Evoluation and Analytical Methods for Twin-Entry Turbine Turbochargers; SAE Technical Paper No. 2014-01-1647; SAE International: Warrendale, PA, USA, 2014. [Google Scholar]
- Serrano, J.R.; Olmeda, P.; Tiseira, A.; Luis Miguel Garcí-Cuevas, L.M. Importance of Mechanical Losses Modeling in the Performance Prediction of Radial Turbochargers under Pulsating Flow Conditions; SAE International: Warrendale, PA, USA, 2013. [Google Scholar]
- Serrano, J.R.; Guardiola, C.; Dolz, V.; Tiseira, A.; Cervelló, C. Experimental Study of the Turbine Inlet Gas Temperature Influence on Turbocharger Performance; SAE International: Warrendale, PA, USA, 2013. [Google Scholar]
- Lüddecke, B.; Filsinger, D.; Bargende, M. On wide mapping of a mixed flow turbine with regard to compressor heat flows during turbocharger testing. In Proceedings of the 10th International Conference on Turbochargers and Turbocharging, London, UK, 15–16 May 2012; pp. 185–202. [Google Scholar]
- Nakhjiri, M. Apparent and real efficiency of turbochargers under influence of heat flow. In Proceedings of the 14th International Symposium on Transport Phenomena and Dynamics of Rotating Machinery, Honolulu, HI, USA, 27 February–2 March 2012. [Google Scholar]
- Sundström, E.; Semlitsch, B.; Mihăescu, M. Similarities and differences concerning flow characteristics in centrifugal compressors of different size. In Springer Proceedings in Physics; Springer: Berlin, Germany, 2016; Volume 185, pp. 457–464. [Google Scholar]
- Griffith, R.C.; Slaughter, S.E.; Mavrosakis, P.E. Applying Ball Bearings to the Series Turbochargers for the Caterpillar® Heavy-Duty on-Highway Truck Engines; SAE International: Warrendale, PA, USA, 2007. [Google Scholar]
- Marelli, S.; Marmorato, G.; Capobianoco, M.; Rinaldi, A. Heat Transfer Effects on Performance Map of a Turbocharger Compressor for Automotive Applicatio; SAE International: Warrendale, PA, USA, 2007. [Google Scholar]
- Luis, D. Experiments and Modeling of Automotive Turbochargers under Unsteady Conditions. Ph.D. Thesis, Universitat Politècnica de València, Valnecia, Spain, 2014. [Google Scholar]
- Engine Power Test Code Committee. Turbocharger Gas Stand Test Code, SAE Standard; SAE International: Warrendale, PA, USA, 2007. [Google Scholar]












| Test 1 | Efficiency Correction Method Development | ||
|---|---|---|---|
| Condition | Unit | Cold Gas Test | Hot Gas Test |
| Turbine inlet temp. | °C | 40 (Electric heater used) | 600 (Diesel fuel burner used) |
| Oil inlet temp. | °C | 38, 62, 93 | 75 |
| Compressor speed | rpm | 52,000 (0.26 74,000 (0.37 ), 98,000 (0.5 ) | |
| Compressor inlet temp. | °C | Ambient temperature | |
| Device Manufacturer | Laboratory-made | ||
| Insulation treatment | External insulation treatment | ||
| Compression ratio | Change (Maintain rotation speed) | ||
| Coolant Supply | None (Prevent of temperature distortion by heat transfer) | ||
| Test 2 | Efficiency Correction Method Application | ||
|---|---|---|---|
| Condition | Unit | Hot Gas Test (Turbocharger Maker) | Cold Gas Test (Reference Test) |
| Turbine inlet temp. | °C | 300, 400, 500, 600 | 40 |
| Oil inlet temp. | °C | 95 | 38 |
| Compressor speed | rpm | 50,000 (0.25 ), 60,000 (0.3 ,) 70,000 (0.35 ) | |
| Compressor inlet temp. | °C | Ambient temperature (Based on 20 °C) | Ambient temperature |
| Device Manufacturer | Kratzer automation | Laboratory-made | |
| Insulation treatment | External insulation treatment | ||
| Compression ratio | Change (Maintain rotation speed) | ||
| Coolant Supply | None (Prevent of temperature distortion by heat transfer) | ||
| Turbo. Max. Speed () | Compressor | Turbine | Bearing | Type |
|---|---|---|---|---|
| Wheel Dia. | Wheel Dia. | |||
| rpm | mm | mm | - | - |
| 195,000 | 56 | 47 | Full Floating | WGT |
© 2018 by the authors. Licensee MDPI, Basel, Switzerland. This article is an open access article distributed under the terms and conditions of the Creative Commons Attribution (CC BY) license (http://creativecommons.org/licenses/by/4.0/).
Share and Cite
Chung, J.E.; Chung, J.W.; Kim, N.H.; Lee, S.W.; Kim, G.Y. An Investigation on the Efficiency Correction Method of the Turbocharger at Low Speed. Energies 2018, 11, 269. https://doi.org/10.3390/en11020269
Chung JE, Chung JW, Kim NH, Lee SW, Kim GY. An Investigation on the Efficiency Correction Method of the Turbocharger at Low Speed. Energies. 2018; 11(2):269. https://doi.org/10.3390/en11020269
Chicago/Turabian StyleChung, Jin Eun, Jae Woo Chung, Nam Ho Kim, Sang Woon Lee, and Gi Yong Kim. 2018. "An Investigation on the Efficiency Correction Method of the Turbocharger at Low Speed" Energies 11, no. 2: 269. https://doi.org/10.3390/en11020269
APA StyleChung, J. E., Chung, J. W., Kim, N. H., Lee, S. W., & Kim, G. Y. (2018). An Investigation on the Efficiency Correction Method of the Turbocharger at Low Speed. Energies, 11(2), 269. https://doi.org/10.3390/en11020269

