Luminescent Electrochromic Devices for Smart Windows of Energy-Efficient Buildings
Abstract
1. Introduction
2. Materials and Methods
3. Results
3.1. Characterization of the Complex and of the C2 Electrolyte
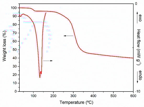
3.1.1. [Er(tta)3(H2O)2] Complex
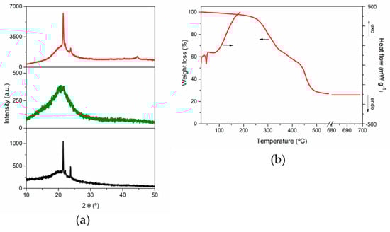
3.1.2. d-PCL(530)9.1LiTrif-[Er(tta)3(H2O)2] Electrolyte
3.2. Characterization of the IMO Layers
3.3. Characterization of the ECDs
3.4. Photoluminescence Characterization
4. Discussion
Supplementary Materials
Author Contributions
Funding
Conflicts of Interest
References
- Mortimer, R.J. Electrochromic materials. Annu. Rev. Mater. Res. 2011, 41, 241–268. [Google Scholar] [CrossRef]
- Thakur, V.K.; Ding, G.; Ma, J.; Lee, P.S.; Lu, X. Hybrid materials and polymer electrolytes for electrochromic device applications. Adv. Mater. 2012, 24, 4071–4096. [Google Scholar] [CrossRef] [PubMed]
- 2012 Mercedes SLK Teased: Electrochromic Roof. Available online: https://www.autoevolution.com/news/2012-mercedes-slk-teased-electrochromic-roof-25175.html (accessed on 9 November 2018).
- Wang, Y.; Runnerstom, E.L.; Milliron, D.J. Switchable Materials for Smart Windows. Annu. Rev. Chem. Biomol. Eng. 2016, 7, 283–304. [Google Scholar] [CrossRef] [PubMed]
- Jelle, B.P. Electrochromic Smart Windows for Dynamic Daylight and Solar Energy Control in Buildings. In Electrochromic Materials and Devices; Mortimer, R.J., Rosseinsky, D.R., Monk, P.M.S., Eds.; Wiley-VCH: Weinheim, Germany, 2015; Chapter 15; pp. 154–196, 419–502. [Google Scholar]
- Runnerstrom, E.L.; Llordés, A.; Lounis, S.D.; Milliron, D.J. Nanostructured electrochromic smart windows: Traditional materials and NIR-selective plasmonic nanocrystals. Chem. Commun. 2014, 50, 10555–10572. [Google Scholar] [CrossRef] [PubMed]
- Granqvist, C.G. Electrochromics for smart windows: Oxide-based thin films and devices. Thin Solid Films 2014, 564, 1–38. [Google Scholar] [CrossRef]
- Barawi, M.; Veramonti, G.; Epifani, M.; Giannuzzi, R.; Sibillano, T.; Giannini, C.; Rougier, A.; Manca, M. A dual band electrochromic device switchable across four distinct optical modes. J. Mater. Chem. A 2018, 6, 10201–10205. [Google Scholar] [CrossRef]
- Eh, A.L.-S.; Tan, A.W.M.; Cheng, X.; Magdassi, S.; See Lee, P. Recent Advances in Flexible Electrochromic Devices: Prerequisites, Challenges, and Prospects. Energy Technol. 2018, 6, 33–45. [Google Scholar] [CrossRef]
- Alesanco, Y.; Viñuales, A.; Rodriguez, J.; Tena-Zaera, R. All-in-one gel-based electrochromic devices: Strengths and Recent Developments. Materials 2018, 11, 414. [Google Scholar] [CrossRef]
- Yang, P.; Sun, P.; Mai, W. Electrochromic energy devices. Mater. Today 2016, 19, 394–402. [Google Scholar] [CrossRef]
- Kraft, A.; Rottmann, M. Properties, performance and current status of the laminated electrochromic glass of Gesimat. Sol. Energy Mater. Sol. Cells 2009, 93, 2088–2092. [Google Scholar] [CrossRef]
- Baetens, R.; Jelle, B.P.; Gustavsen, A. Properties, requirements and possibilities of smart windows for dynamic daylight and solar energy control in buildings: A state-of-the-art review. Sol. Energy Mater. Sol. Cells 2010, 94, 87–105. [Google Scholar] [CrossRef]
- Tavares, P.F.; Gaspar, A.R.; Martins, A.G.; Frontini, F. Evaluation of electrochromic windows impact in energy performance of buildings in Mediterranean climates. Energy Policy 2014, 67, 68–81. [Google Scholar] [CrossRef]
- Granqvist, C.G.; Arvizu, M.A.; Bayrak Pehlivan, İ.; Qu, H.-Y.; Wen, R.-T.; Niklasson, G.A. Electrochromic materials and devices for energy efficiency and human comfort in buildings: A critical review. Electrochim. Acta 2018, 259, 1170–1182. [Google Scholar] [CrossRef]
- Rezaei, S.D.; Shannigrahi, S.; Ramakrishna, S. A review of conventional, advanced, and smart glazing technologies and materials for improving in door environment. Sol. Energy Mater. Sol. Cells 2010, 94, 87–105. [Google Scholar] [CrossRef]
- Bunzli, J.-C.G.; Piguet, C. Taking advantage of luminescent lanthanide ions. Chem. Soc. Rev. 2005, 34, 1048–1077. [Google Scholar] [CrossRef] [PubMed]
- Fernandes, M.; de Zea Bermudez, V.; Sá Ferreira, R.A.; Carlos, L.D.; Charas, A.; Morgado, J.; Silva, M.M.; Smith, M.J. Highly photostable luminescent poly(ε-caprolactone)siloxane biohybrids doped with europium complexes. Chem. Mater. 2007, 19, 3892–3901. [Google Scholar] [CrossRef]
- Elangovan, E.; Gonçalves, G.; Martins, R.; Fortunato, E. RF sputtered wide work function indium molybdenum oxide thin films for solar cell applications. Sol. Energy 2009, 83, 726–731. [Google Scholar] [CrossRef]
- Parthiban, S.; Gokulakrishnan, V.; Ramamurthi, K.; Elangovan, E.; Martins, R.; Fortunato, E.; Ganesan, R. High near-infrared transparent molybdenum-doped indium oxide thin films for nanocrystalline silicon solar cell applications. Sol. Energy Mater. Sol. Cells 2009, 93, 92–97. [Google Scholar] [CrossRef]
- Fernandes, M.; Freitas, V.T.; Pereira, S.; Fortunato, E.; Ferreira, R.A.S.; Carlos, L.D.; Rego, R.; de Zea Bermudez, V. Green Li+- and Er3+-doped poly(ε-caprolactone)/siloxane biohybrid electrolytes for smart electrochromic windows. Sol. Energy Mater. Sol. Cells 2014, 123, 203–210. [Google Scholar] [CrossRef]
- Nunes, S.C.; de Zea Bermudez, V.; Silva, M.M.; Smith, M.J.; Morales, E.; Carlos, L.D.; Sá Ferreira, R.A.; Rocha, J. Sol-gel derived Li+-doped poly(ε-caprolactone)/siloxane biohybrid electrolytes. J. Solid State Electrochem. 2006, 10, 203–210. [Google Scholar] [CrossRef]
- Fernandes, M.; Botas, A.M.P.; Leones, R.; Pereira, S.; Silva, M.M.; Ferreira, R.A.S.; Carlos, L.D.; Fortunato, E.; Rego, R.; de Zea Bermudez, V. Luminescent Electrochromic Device Based on a Biohybrid Electrolyte Doped with a Mixture of Potassium Triflate and a Europium β-diketonate Complex. ECS Trans. 2014, 61, 213–225. [Google Scholar] [CrossRef]
- Nunes, S.C.; Saraiva, S.M.; Pereira, R.F.P.; Pereira, S.; Silva, M.M.; Carlos, L.D.; Fortunato, E.; Ferreira, R.A.S.; Rego, R.; de Zea Bermudez, V. Sustainable dual-mode smart windows for energy-efficient buildings. ACS Appl. Energy Mater. 2018. submitted. [Google Scholar]
- Leones, R.; Fernandes, M.; Sentanin, F.; Cesarino, I.; Lima, J.F.; de Zea Bermudez, V.; Pawlicka, A.; Magon, C.J.; Donoso, J.P.; Silva, M.M. Ionically conducting Er3+-doped DNA-based biomembranes for electrochromic devices. Electrochim. Acta 2014, 120, 327–333. [Google Scholar] [CrossRef]
- Alves, R.; Sentanin, F.; Sabadini, R.C.; Pawlicka, A.; Silva, M.M. Green polymer electrolytes of chitosan doped with erbium triflate. J. Non-Cryst. Solids 2018, 482, 183–191. [Google Scholar] [CrossRef]
- Fernandes, M.; Rodrigues, L.C.; Ferreira, R.A.S.; Gonçalves, A.; Fortunato, E.; Silva, M.M.; Smith, M.J.; Carlos, L.D.; de Zea Bermudez, V. K+-doped poly(ε-caprolactone)/siloxane biohybrid electrolytes for electrochromic devices. Solid State Ionics 2011, 204–205, 129–139. [Google Scholar] [CrossRef]
- Carlos, L.D.; de Zea Bermudez, V.; Ferreira, R.A.S.M.; Marques, L.; Assunção, M. Sol–gel derived urea cross-linked organically modified silicates. 2. Blue-light emission. Chem. Mater. 1999, 11, 581–588. [Google Scholar] [CrossRef]
- Gomes Correia, S.M.; de Zea Bermudez, V.; Silva, M.M.; Barros, S.; Sá Ferreira, R.A.; Carlos, L.D.; Passos de Almeida, A.P.; Smith, M.J. Morphological and conductivity studies of di-ureasil xerogels containing lithium triflate. Electrochim. Acta 2002, 47, 2421–2428. [Google Scholar] [CrossRef]
- Ha, J.C.; Kim, S.Y.; Lee, Y.M. Poly(ethylene oxide)–poly(propylene oxide)–poly(ethylene oxide) (Pluronic)/poly(e-caprolactone) (PCL) amphiphilic block copolymeric nanospheres I. Preparation and characterization. J. Control. Release 1999, 62, 381–392. [Google Scholar] [CrossRef]
- Balu, R.; Sampath Kumar, T.S.; Ramalingam, M.; Ramakrishn, S. Electrospun Polycaprolactone/Poly(1,4-butylene adipate-co-polycaprolactam) blends: Potential biodegradable scaffold for bone tissue regeneration. J. Biomater. Tissue Eng. 2011, 1, 30–39. [Google Scholar] [CrossRef]
- Fernandes, M.; Leones, R.; Pereira, S.; Costa, A.M.S.; Mano, J.F.; Silva, M.M.; Fortunato, E.; de Zea Bermudez, V.; Rego, R. Eco-friendly sol-gel derived sodium-based ormolytes for electrochromic devices. Electrochim. Acta 2017, 232, 484–494. [Google Scholar] [CrossRef]
- Fernandes, M.; Nobre, S.S.; Rodrigues, L.C.; Gonçalves, A.; Rego, R.; Oliveira, M.C.; Ferreira, R.A.S.; Silva, M.M.; Fortunato, E.; Carlos, L.D.; de Zea Bermudez, V. Li+ and Eu3+-doped poly(ε-caprolactone)/siloxane biohybrid electrolytes for electrochromic devices. ACS Appl. Mater. Interfaces 2011, 3, 2953–2965. [Google Scholar] [CrossRef]
- Teixeira, J.C.S.; Fernandes, M.; de Zea Bermudez, V.; Barbosa, P.C.; Rodrigues, L.C.; Silva, M.M.; Smith, M.J. Mg2+-doped poly(ε-caprolactone)/siloxane biohybrids. Electrochim. Acta 2010, 55, 1328–1332. [Google Scholar] [CrossRef]
- Silva, M.M.; Nunes, S.C.; Barbosa, P.C.; Evans, A.; de Zea Bermudez, V.; Smith, M.J.; Ostrovskii, D. Sol–gel preparation of a di-ureasil electrolyte doped with lithium perchlorate. Electrochim. Acta 2006, 52, 1542–1548. [Google Scholar] [CrossRef]
- Carlos, L.D.; SáFerreira, R.A.; de Zea Bermudez, V.; Ribeiro, S.J.L. Full-Color Phosphors from Amine-Functionalized Crosslinked Hybrids Lacking Metal Activator Ions. Adv. Funct. Mater. 2001, 2, 111–115. [Google Scholar] [CrossRef]
- Carlos, L.D.; Sá Ferreira, R.A.; Pereira, R.N.; Assunção, M.; de Zea Bermudez, V. White-light emission of amine-functionalized organic/inorganic hybrids: Emitting centers and recombination mechanisms. J. Phys. Chem. B 2004, 108, 14924–14932. [Google Scholar] [CrossRef]
- Cardoso, M.A.; Pereira, R.F.P.; Pereira, S.; Gonçalves, H.; Silva, M.M.; Carlos, L.D.; Nunes, S.C.; Fortunato, E.; Ferreira, R.A.S.; Rego, R.; de Zea Bermudez, V. Three-mode modulation electrochromic device with high energy efficiency for windows of buildings located in continental climatic regions. Adv. Sustain. Syst. 2018, 1800115. [Google Scholar] [CrossRef]
- Pereira, R.F.P.; Sentanin, F.; Pawlicka, A.; Gonçalves, M.C.; Silva, M.M.; Zea Bermudez, V. de Smart windows prepared from Bombyx mori silk. ChemElectroChem 2016, 3, 1084–1097. [Google Scholar] [CrossRef]








© 2018 by the authors. Licensee MDPI, Basel, Switzerland. This article is an open access article distributed under the terms and conditions of the Creative Commons Attribution (CC BY) license (http://creativecommons.org/licenses/by/4.0/).
Share and Cite
Fernandes, M.; Freitas, V.; Pereira, S.; Leones, R.; Silva, M.M.; Carlos, L.D.; Fortunato, E.; A. S. Ferreira, R.; Rego, R.; De Zea Bermudez, V. Luminescent Electrochromic Devices for Smart Windows of Energy-Efficient Buildings. Energies 2018, 11, 3513. https://doi.org/10.3390/en11123513
Fernandes M, Freitas V, Pereira S, Leones R, Silva MM, Carlos LD, Fortunato E, A. S. Ferreira R, Rego R, De Zea Bermudez V. Luminescent Electrochromic Devices for Smart Windows of Energy-Efficient Buildings. Energies. 2018; 11(12):3513. https://doi.org/10.3390/en11123513
Chicago/Turabian StyleFernandes, Mariana, Vânia Freitas, Sónia Pereira, Rita Leones, Maria Manuela Silva, Luís D. Carlos, Elvira Fortunato, Rute A. S. Ferreira, Rosa Rego, and Verónica De Zea Bermudez. 2018. "Luminescent Electrochromic Devices for Smart Windows of Energy-Efficient Buildings" Energies 11, no. 12: 3513. https://doi.org/10.3390/en11123513
APA StyleFernandes, M., Freitas, V., Pereira, S., Leones, R., Silva, M. M., Carlos, L. D., Fortunato, E., A. S. Ferreira, R., Rego, R., & De Zea Bermudez, V. (2018). Luminescent Electrochromic Devices for Smart Windows of Energy-Efficient Buildings. Energies, 11(12), 3513. https://doi.org/10.3390/en11123513

