Next Article in Journal
Three-Phase Saturated-Core Fault Current Limiter
Previous Article in Journal
Experimental Investigations of Innovative Biomass Energy Harnessing Solutions
 
 
Font Type:
Arial Georgia Verdana
Font Size:
Aa Aa Aa
Line Spacing:
Column Width:
Background:
Article

Initial Comparison of Lithium Battery and High-Temperature Thermal-Turbine Electricity Storage for 100% Wind and Solar Electricity Supply on Prince Edward Island

Faculty of Sustainable Design Engineering, University of Prince Edward Island, Charlottetown, PE C1A-4P3, Canada
*
Author to whom correspondence should be addressed.
Energies 2018, 11(12), 3470; https://doi.org/10.3390/en11123470
Submission received: 16 November 2018 / Revised: 4 December 2018 / Accepted: 5 December 2018 / Published: 11 December 2018

Abstract

:
Due to fundamental temporal mismatches between renewable energy generation and demand load, a long-duration energy storage system is required to power Prince Edward Island’s (PEI) electricity system exclusively from on-island wind and solar resources. While a very large lithium battery is a technically capable solution, today’s battery technology is not cost effective; even as wind and solar generation costs become increasingly competitive with fossil fuel alternatives. To explore alternative storage technologies this comparative study utilizes the established hybrid optimization model for multiple energy resources (HOMER) techno-economic modeling tool to perform an application-based high-level comparison of an efficient but costly lithium battery technology solution with a much less efficient but lower-cost thermal-storage with steam-turbine concept; both capable of enabling a 100% wind and solar powered electricity supply for the island. Interestingly, the thermal storage turbine concept is shown to be competitive, at least in principle, with projected cost reductions in lithium battery technologies while also offering a number of distinct practical advantages.

Graphical Abstract

1. Introduction

Large-scale electric energy storage is at the crux of energy system decarbonization initiatives around the world, and the wide spectrum of capabilities and costs from different storage technologies cause a high degree of uncertainty about the future possibilities are. The published literature shows a high variance in what cost and application assumptions are made for various large-scale electricity storage options. For example, Budischak et al. [1] considered 99.9% wind and solar enabling electricity storage options that have a per-capacity cost of $318/kWh for lithium batteries and $28/kWh for hydrogen fuel cells in 2008 and then projected to $192/kWh and $18.2/kWh respectively in 2030. Berckmans et al. [2] showed lithium battery costs ranging from $450/kWh in 2015 to $50/kWh in 2030. Lazard’s [3] considered a range of electricity storage options, including thermal and compressed air, but only flow, lead-acid and lithium batteries, at $280/kWh in 2018, are assessed in their cost of storage analysis; the other technologies are deemed to be non-commercially viable in the near future. Darling et al. [4] discussed the US Department of Energy future cost target for widespread adoption of $100/kWh for relatively short duration high power batteries for grid smoothing but not the long durations required for 100% wind and solar power supplies. Uncertainty about installed costs and the relative viability of storage technologies is also compounded by the reality that the actual performance (and cost) depends heavily on the application context and requires temporal modeling based on accurate data sets for assessment.
This comparative study examines how two promising yet fundamentally different long-duration electricity storage technologies might perform to facilitate a decade-in-the-future 100% wind and solar power supply within the contained and well-defined electricity system of Prince Edward Island (PEI). PEI, an island province of 150,000 people on the east coast of Canada, provides an ideal case study because aggregate high-resolution historical wind and load data is available, it has a rare wind power penetration of 70% of peak load, and it is a jurisdiction currently grappling with ways of increasing its use of renewable energy further. A previous work by the authors explored initial perspectives on a 100% renewable energy supply for PEI [5]. In this work, measured 15-min data for PEI’s wind generation and electricity demand was obtained and analyzed in conjunction with synthetic solar photovoltaic (PV) output data in order to model various renewable energy supply and lithium battery based storage scenarios. A custom Python-based techno-economic modeling and optimization environment was then used to determine least-cost combinations of renewable energy generation and storage. Two interesting contributions from the previous work are: (1) wind and solar generation conclusively complement each other and reduce energy storage requirements on PEI; (2) with cost-optimized complementary mixes of wind and solar generation, the resulting cost of energy (COE) in the PEI context, based on the cost assumptions used, was still more than twice current values; even when current battery costs were reduced by an order of magnitude from approximately $500/kWh to $50/kWh.
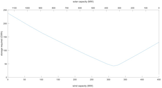
In Figure 1 the relationship between combinations of wind and solar generation and the size of storage required to bridge the temporal differences between generation and demand over the course of a full year on PEI is shown. In this example, normalized data sets of wind and solar production are scaled to produce a combined power output that sums to meet the annual island demand of 1.4 TWh with no curtailment of wind or solar generation. The required storage capacity is then determined as the peak-to-peak value of the integrated net power over the year. Similar to the UK [6], the inherent complementary nature of wind and solar generation towards reducing storage requirements on PEI is clearly shown in Figure 1. Figure 2 then details the energy stored and released over the course of the year for the three scenarios of 100% wind, 100% solar and the storage-minimizing combination of 350 MW wind and 313 MW solar. Because the total generation and total demand are equivalent, at 1.4 TWh, the energy storage component ends the year at the same state-of-charge as it started. In this illustrative example the energy storage is considered to be ideal and, therefore, 100% efficient.
Further analysis of the information in Figure 2 is summarized in Table 1 where a number of additional observations are made that form the basis for this current work. A first observation is that when solar is combined with wind, the actual amount of demand energy supplied by the storage can be reduced to about a quarter of the demand load. This low fraction suggests that the efficiency of the energy storage might not be a critical consideration as long as its cost is low, especially as wind and solar generation prices continue to fall. A second and third observation are that the overall storage throughput in all cases is less than 10 full cycles per year and that the maximum charge C-rate (where the 1C rate represents a complete charge or discharge in one hour) is 1/95 or less. These are not typical application details suitable for lithium battery technologies, which inherently offer orders of magnitude faster (>1C) charging, lifetimes of thousands of cycles and associated costs as driven by the automotive market [7]. These observations raised questions about the feasibility of a fundamentally less efficient, slower, more robust, simpler and possibly more cost-effective storage technology based on storing heat energy in commodity rock material and converting to electricity using a traditional steam turbine generator with a low, say, 30% overall round-trip AC-to-AC efficiency.
While numerous examples of concentrating solar thermal technologies using molten salts and latent heat storage combined with steam turbine generators appear in the literature, the concept of sensible heat storage at high temperatures for large-scale grid energy storage is not well addressed. This is especially true for slower responding long-duration (high energy-to-power ratio) storage systems where heat transfer might conveniently take place internally with air as a free convection working fluid. In Laing et al. [8], formable high-temperature concrete was explored as a solid media storage and heat exchanger medium. In Hänchen et al. [9], the simplified concept of high-temperature sensible heat storage in rocks is explored for concentrating solar applications. In Bechattini et al. [10], a number of commonly available rock materials were successfully investigated for use in high-temperature solar storage applications. In Ibrahim et al. [11], a concept of high-temperature sensible heat storage up to 1400 °C in refractory material using high-efficiency resistance heating and steam turbine power generation was also discussed. The overall concept is highlighted as yet-to-be-applied but deserving of development due to its simplicity, low material cost, relatively low self-discharge for larger systems and potential for 60% efficiency using combined cycle turbines. More recently, Siemens announced in 2017 the development of similar high-temperature sensible heat storage concept using low-cost rock materials and with a steam turbine for grid energy storage [12]. The 36 MWh, 1.5 MW Siemens demonstration system is of significantly high energy-to-power ratio and intended for relatively long-duration grid energy storage. High-temperature storage using sensible heat also has a number of inherent advantages over future battery developments including a rapid development process due to the prior understanding of the traditional technologies involved and an ability to capitalize on economies of scale for larger systems in a way that batteries cannot.
An obvious question, and the core contribution of this work, is to explore how a relatively inefficient but potentially low-cost thermal storage system compares against the more efficient lithium battery based approach in the future context of PEI powered by 100% wind and solar energy. At first glance it might be easy to dismiss such a system as far too inefficient to be practical. However, given the relatively small fraction of the load required to be serviced by stored energy, the potential for low storage costs, and steadily reducing prices of wind and solar [13], the concept invites further investigation. This paper provides techno-economic analysis based on historical high-temporal-resolution power system data and presents least-cost energy results for electrification scenarios based on different pricing structures for both 90% efficient batteries and a 30% efficient high-temperature thermal-turbine concept. The intent is to provide insight towards solar and wind generation sizing and the future competitiveness of thermal storage approaches as compared to battery storage in the context of PEI.

2. Methods

For this work, hybrid optimization model for multiple energy resources (HOMER) energy was selected as a well-established and convenient modeling tool for performing techno-economic analysis of hybridized multi-input electricity systems [14]. The simulation schematic diagram is shown in Figure 3 where the wind, solar and demand load are located on the AC bus and an ideal battery on a DC bus through an AC–DC converter facilitates the stored energy. HOMER automatically generates the normalized hourly solar PV output for a default south-facing generic flat plate solar generator for Charlottetown, PEI’s geographic location based on necessary monthly average values as sourced from NASA’s solar energy database. The HOMER-generated synthetic hourly PV data captures key temporal aspects to due to weather and the seasonally varying angular track of the sun in the sky and is discussed further in [5]. As in the previous work, 15-min wind power and demand load data sets for all of PEI in 2014 were obtained from an archive of web-based electricity system updates and processed to represent a typical year, also as discussed in [5]. The load data is used as is. The wind data is normalized to represent the intermittency of the resource and appears as the Wind 2014 input in Figure 3. Wind 2014 is then scaled within HOMER search space to represent modeled MW capacities of wind generation.
The converter between the AC and DC bus is configured to represent the effective efficiency of the energy storage mechanism. Initially, custom battery types with varying round trip efficiency configurations were explored but this proved too ineffective when modeling the 30% round trip efficiency thermal storage system. This is due to how HOMER automatically allocates the charge and discharge efficiencies within battery models. Implementing an ideal 100% efficient battery model for the storage device and accounting for round trip storage efficiency in the converter component allows for the charge and discharge efficiencies to be conveniently configured separately. In the case of the thermal storage approach, the steam turbine losses can be effectively modeled as a discharge inefficiency and the energy stored within the battery model describes the energy stored as sensible heat with the rock material; this was an important realization in the preliminary analysis. It is worth noting that, for both the lithium battery and the thermal storage, self-discharge losses are not included as they are anticipated to be less than 2% per month in both cases and not critical to the results. The heat loss of the thermal storage system is addressed further in the discussion section of this paper.
Rather than use the built-in HOMER optimizer, a manual search space was specified for the three flexible system component sizes. Capacities of wind and solar generation are considered in 25 MW increments and the storage size is considered in 5 GWh increments for the thermal storage scenarios and 1 GWh increments for the smaller battery scenarios. The only inputs that are predefined between scenarios are the storage efficiency and the storage cost; the rest of the HOMER simulation configuration remains unchanged. HOMER calculates each storage cost scenario by simulating all combinations of the three component sizes over the project lifetime and then sorting results by least COE. Key modeling constraints include load being met at all times and the state-of-charge kept between 0 and 100%. This allows the various scenarios to be compared by their impact on COE, which is the critical point of comparison.
Relative to the prior study [5], costs of wind and solar were reduced from $2000 to $1000 per kW with annual operating and maintenance (O&M) costs of $30/year/kW and $20/year/kW respectively. This results in levelized costs of $0.04/kWh for wind energy and $0.07/kWh for solar, which are in line with current market predictions for utility scale deployments of wind and solar in the near future [8]. Note that the levelized cost of solar PV will generally be lower in parts of the world that have a greater solar resource than PEI’s moderate solar resource of approximately 1200 kWh/m2/year [15].
The lifetime of all system components and project life was configured to 30 years and the discount rate set to 6%. This means the lithium batteries are assumed to last 30 years. Given the relatively low annual throughput utilization of the lithium batteries in this application, we assume that future long duration grid storage battery systems have been engineered for such a long calendar life.
The lithium battery was modeled as having a 90% round trip efficiency by implementing 95% efficiency in both the charge and discharge directions within the converter component. The battery component model itself is ideal. The thermal storage system was modeled to have a 30% round trip efficiency by implementing 100% efficiency in the charge direction and 30% efficiency in the discharge direction. This allows the ideal 100% efficient ‘battery’ component model’s state-of-charge to reflect the sensible heat contained within the thermal storage medium. The modeled efficiencies are summarized in Table 2. The power converter component is modeled with zero cost and the actual converter costs are incorporated and accounted for in the modeled battery cost. This means the inverters required to convert between the DC lithium battery and the AC grid are included in the battery storage cost. Similarly, the costs of the steam turbine infrastructure are also included in the specified per kWh battery storage costs specified within the model. Further discussion of the storage cost rational is included in the discussion section of this paper.

3. Results

3.1. 90% Efficient Lithium Battery Cost Scenarios

Initially three cost scenarios for future lithium battery systems were simulated and the results are summarized in Table 3. Similar to the previous work [5] the resulting least-cost energy system configurations involve significant oversizing and subsequent curtailment of wind and solar generation. The results for the $50/kWh lithium battery scenario with the new lower cost wind and solar expectedly change from 537 MW wind, 246 MW solar and 17 GWh of storage in the previous study to a larger 575 MW wind, 300 MWh solar configuration and a smaller battery requirement of 15 GWh. There is also an expected reduction in the COE from $0.15/kWh down to $0.10/kWh due to the lower modeled cost of wind and solar.
For the purpose of this comparative analysis, the battery storage cost has also been considered at two other points, namely $100/kWh and $25/kWh. The COE is shown to fall significantly, but not proportionally, with the cost of storage. $100/kWh is selected as battery costs are forecast to achieve at least this cost by 2030 [2]. It is unknown whether the lessor costs will be achieved—especially as demand for lithium battery technologies will increase as the automobile industry transitions to electric vehicles. At storage capital costs of $25/kWh, the COE is $0.08/kWh and approaching current wholesale electricity rates in PEI with a scalable power supply that is essentially free of ongoing CO2 emissions.
Figure 4 details the stored energy result from the $50/kWh lithium battery scenario. When the battery is fully charged and the available wind plus solar power is greater than the load the surplus power is curtailed and not used. This is shown to happen frequently and is the result of increments of generation being more economic than increments of storage while still providing the least overall COE.
Another interesting observation is that the required capacity of the wind and solar generation is not strongly dependent on the storage cost. This could mean that from a planning perspective wind and solar projects can be implemented with a reduced concern with respect to the unknowns’ storage prices that might present.
Also, there are distinct points where the storage system might be best first charged from a zero-energy state, thereby saving in pre-charging energy. In this case, however, there is significant surplus (curtailed) renewable energy combined with a relatively small amount of energy storage, which serves to mitigate this consideration.

3.2. 30% Efficient High-Temperature Thermal-Turbine Storage Cost Scenarios

The high-temperature thermal-turbine approach was also modeled with various cost scenarios for the storage technology. Resulting renewable energy capacities and energy storage requirements to provide minimum cost energy for the three cost scenarios are summarized in Table 3. These results are purposely centered by factors of two around storage costs of $10/kWh in order to provide similar COE results to the previous battery cost scenarios. A challenge with rationalizing the thermal-turbine storage cost at this point is the required energy-to-power storage ratio for the application is unknown until the simulation is performed. The storage cost for batteries is almost exclusively a function of cell cost (energy) and not power conversion capacity (power). The thermal-turbine concept is quite different. The steam turbine converter itself is a significant cost relative to the almost-free energy storage medium—the rocks; this is discussed in more detail in the discussion section of this paper. The techno-economic modeling strategy at this point was to use HOMER to define the costs and energy storage capacities required to similarly compete with cost-reduced future batteries and then to determine later if the required costs are reasonable or simply non-competitive. It is shown later in the discussion that both the cost and the physical details of the energy storage required for the thermal-turbine to compete with future battery projections appear feasible in principle and warrant further research.
The results in Table 4 also show that the COE is a strong function of the storage energy cost. Interestingly, the required renewable energy and energy storage capacity is relatively unaffected by the storage cost. In fact, for the two significantly different storage efficiency scenarios the required installed capacity of wind and solar and remains near 300 MW and 600 MW respectively in all six modeled scenarios. This is an observation that suggests, again, that the deployments of wind and solar required for a 100% renewable energy power infrastructure may not be dependent on future storage technologies and, therefore, can be planned significantly ahead of time.
Figure 5 illustrates the energy storage profile required by the 30% efficient storage system. While the wind and solar capacity are similar to the previous 90% efficient battery scenarios, the thermal energy storage is full and curtailing wind and solar power much less often and operates more in a partial state of charge regime. In this situation quantities of energy previously curtailed at the generation source are now being stored thermally and then predominately wasted as heat in the stream turbine’s re-condensation process. In both storage cases the effective overall non-utilized renewable energy is similar even though they have dramatically different storage efficiencies. In the case of the batteries, excess generation is avoided by curtailing the renewable energy farms. In the case of the thermal storage excess generation is lost, mostly, in the steam turbine’s heat-to-mechanical-work conversion process. This means that the surplus curtailed renewable energy in the battery example is potentially available as high-quality electricity for, say, opportunity charging of electric vehicles whereas in the thermal storage scenario this energy exists only as waste heat.
As with the previous example there is also a distinct time of year, at the end of August, where the storage system might be commissioned with minimal pre-heating energy required. In the case of the thermal-turbine concept this is of larger impact because there is significantly less surplus renewable energy available for charging and a much larger energy store to charge. The results indicate a low stage of charge in the summer and a fall season of surplus energy, which suggests that there could be some economy associated with commissioning a system around this time of year. It should also be noted that the thermal-turbine approach requires a significant operating temperature even when at zero state of charge. The preheating energy required is further discussed in the discussion section of this paper.

4. Discussion

The results generated in Table 3 and Table 4 allow for further rationalization of the energy storage costs. The summary in Table 5 can be explained as follows: the cost of the energy storage is considered in terms of power (W) and energy storage (kWh). In the case of a 15 GWh lithium battery the dominant cost is that of the scalable battery pack material that stores the energy. The power electronic-based power converter costs are relatively small where utility scale inverter costs are shown in [16] as less than $100/kW. Furthermore, as shown in Table 4 the total per-kWh cost is insensitive to the power converter cost in context of the 250 MW converter required for supplying the load of PEI.
The required 80 GWh thermal-turbine concept is different due to the sizable cost associated with the steam turbine generator. In Table 5, $1000/kW is used and is based on steam turbine-based thermal power plant cost information [17]. The cost of the rock storage infrastructure remains unknown but is considered in Table 5 to be an order of magnitude higher than the local commodity price of rock at $10 per ton [18]. This accounts for the associated mechanical infrastructure and relatively small amount of insulation required. With these high-level cost numbers, it is shown that a resulting ~$10/kWh storage cost is competitive with yet-to-appear lithium batteries at ~$50/kWh and that the inefficient thermal storage approach, perhaps surprisingly, warrants further investigation. Also, since the ultimate COEs are strong functions of storage price, thermal storage is shown to be similarly competitive with battery storage if they are each of proportionally higher or lower cost; at least over the cost ranges considered. The intent of this study is not so much to predict future costs but rather to give a sense of how the technologies compete against each other as renewable energy integration solutions in terms of future cost scenarios and what the overall COEs might be.
In order to further assess the high-level feasibility of the thermal-turbine, Table 6 summarizes key technical details of the 80 GWh thermal storage concept sized for PEI. Given the specific heat of basalt rock, a working temperature range of 600 °C and a 50% reduced density of 1500 kg/m3 to allow for large convective air heat exchange within the material, a 400,000 m3 volume is required. This corresponds to a cube with side dimension of 74 m and surface area of 32,500 m2. Interestingly, this volume easily fits in the area that will be left by PEI’s soon-to-be-decommissioned fuel-oil thermal generation plant pictured in Figure 6. It should also be noted that the thermal storage system requires pre-heating in a way batteries do not. While the operating temperature range is shown in Table 6 to be 600 °C, the rocks need to be preheated by a few hundred degrees to achieve the lower operating range. This would require tens of GWh in the context of the PEI application, while PEI’s annual demand is around 1.4 TWh.
Another obvious technical consideration is the insulation required for such a high-temperature device. Conveniently, the same temperature-tolerant rock material can be used for insulation and is commonly found in the form of rock wool. One meter thick of rock wool insulation has a thermal resistance R-value of 120 (imperial) and a corresponding RSI (metric) value of 21 m2K/W [19]. Assuming an average internal temperature of 600 °C and an average external temperature of zero degrees, the heat loss per square meter is 600/21 = 29 W/m2 and is equivalent to a loss of only 8.3 GWh per year. Thus, a relatively small amount of insulation provides a reasonable rate of self-discharge of less than 2% per month and comparable to lithium batteries and explains why modeling self-discharge was not considered within this study. It should be noted that a cube-square relationship applies with respect to the volume of the energy storage relative to its heat dissipating surface area and one larger block is less dissipative than multiple smaller blocks. Also, for the purpose of this analysis the bottom is also assumed to have the same R120 insulation and operating conditions.
The techno-economic results and initial feasibility assessment suggest the thermal-turbine electricity storage approach warrants further investigation. However, it should be noted that there are further fundamental differences between batteries and the thermal-turbine concept. Batteries are scalable and can be distributed geographically with little consequence. This is not the case of with the thermal-turbine concept. Also, as mentioned previously, batteries can leave curtailed renewable energy available for later opportunity use. This energy is not available with the thermal-turbine because most of the surplus renewable energy from the similarly sized wind and solar capacity is rejected as heat in the Rankine cycle process. This could have impacts upon future grid systems where electric vehicles, for example, may serve has flexible sinks for low-cost ‘surplus’ renewable energy
The methods used within this study can be used to model any constrained grid system powered by 100% wind and solar for which historical wind energy data is available. The results of this particular study are a function of the complimentary nature of wind and solar on PEI which serve to minimize the energy storage requirement. Region-specific variables such as capacity factor could also affect the results from other locations.
This study focused on comparing two very different storage technologies that serve as limit cases on the trade-off between performance and affordability. The methodology could also be used to explore other storage options such as flow batteries, compressed air and hydrogen-based storage. Such analysis would help to position them as contenders within the context of location being studied. Further studies can also enhance the initial comparison by adding considerations for self-discharge, temperature-based charge efficiency, maintenance charging (e.g., any required battery cell balancing routines), and storage interruptions due to scheduled servicing etc. Future work can also look at rationalizing the storage costs in more detail.

5. Conclusions

In the paper the concept of a low (30%) round-trip efficiency thermal-turbine grid energy storage system has been considered and compared to future projected cost reductions of 90% efficient lithium battery technologies in the application context of PEI’s electricity grid. HOMER Energy modeling software was configured to perform the techno-economic analysis and determine least-cost energy configurations for a 100% wind and solar powered PEI using system data for wind, solar and demand load. While substantial future cost reductions in lithium batteries show promise for facilitating a cost-effective 100% wind and solar power grid on PEI, the thermal-turbine storage approach is also shown to be surprisingly effective if cost targets can be achieved. Given the challenges required to supply grid-scale quantities of low-cost lithium batteries and the inherent maturity of steam-turbine technology, the low-cost availability of rock material and the physical space required, it is shown that the thermal storage approach may, in fact, be more realizable than future low-cost battery technology.
Results show the overall cost of energies of near $0.10 for both batteries at $50/kWh and thermal-turbine storage at $10/kWh, thus establishing a benchmark at which each solution starts to become interesting for powering PEI’s electricity system with 100% wind and solar energy.
In all modeled scenarios the least COE results required similar wind and solar capacities of near 600 MW and 300 MW respectively. This suggests the dimensioning of wind and solar resources is not critically dependent on the energy storage technology and pricing and can perhaps be planned in advance of commitments to the deployment of storage technology
The thermal storage system requires significant pre-charging and is shown to benefit from being commissioned in August when its state of charge would normally be at a minimum. Future analysis with multi-year data is expected to bolster this observation.
Although both storage technologies result in similar amounts of unutilized renewable energy, the battery technology results in more electrical curtailment at the source which may be of benefit in the future context of flexible opportunity charging of electric vehicles.
This initial work can be further enhanced by considering the impacts of future grid scenarios which incorporate large electric vehicle-charging demands, real-time energy pricing and responsive customer loads—including behind-the-meter batteries and thermal storage for space and domestic hot water heating.

Author Contributions

Conceptualization, A.S. and M.H.; Formal analysis, A.S; Data curation, M.H. and A.S.; Writing—original draft preparation, A.S.; Writing—review and editing, A.S. and M.H.

Funding

This research received no external funding and is the result of pure curiosity.

Acknowledgments

PEI wind and load data originates from http://www.gov.pe.ca/windenergy/chart.php. Thank you to the PEI government for making this data openly available. Special thanks are due to Peter Rukavina for archiving the 15-min data and making the data sets available.

Conflicts of Interest

The authors declare no conflict of interest.

References

  1. Budischak, C.; Sewell, D.; Thomson, H.; Mach, L.; Veron, D.E.; Kempton, W. Cost-minimized combinations of wind power, solar power and electrochemical storage, power the grid up to 99.9% of the time. J. Power Sources 2013, 225, 60–74. [Google Scholar] [CrossRef]
  2. Berckmans, G.; Messagie, M.; Smekens, J.; Omar, N.; Vanhaverbeke, L.; Van Mierlo, J. Cost Projections of State of the Art Lithium-Ion Batteries for Electric Vechicles Up to 2030. Energies 2017, 10, 1314. [Google Scholar] [CrossRef]
  3. Lazard’s Levelized Cost of Storage Analysis. Available online: https://www.lazard.com/media/450338/lazard-levelized-cost-of-storage-version-30.pdf (accessed on 19 October 2018).
  4. Darling, M.R.; Gallagher, K.G.; Kowalski, J.A.; Ha, S.; Brushett, F.R. Pathways to low-cost electrochemical energy storage: A comparison of aqueous and nonaqueous flow batteries. Energy Environ. Sci. 2014, 7, 3459–3477. [Google Scholar] [CrossRef]
  5. Hall, M.; Swingler, A. Initial perspective on a 100% renewable electricity supply for Prince Edward Island. Int. J. Environ. Stud. 2018, 75, 135–153. [Google Scholar] [CrossRef]
  6. Bett, P.E.; Thornton, H.E. The climatological relationships between wind and solar energy supply in Britain. Renew. Energy 2016, 87, 96–110. [Google Scholar] [CrossRef]
  7. Cost and Price Metrics for Automotive Lithium-Ion Batteries. Available online: https://www.energy.gov/sites/prod/files/2017/02/f34/67089%20EERE%20LIB%20cost%20vs%20price%20metrics%20r9.pdf (accessed on 15 October 2018).
  8. Laing, D.; Bahl, C.; Bauer, T.; Fiss, M.; Breidenbach, N.; Hempel, M. High Temperature Solid-Media Thermal Energy Storage for Solar Thermal Power Plants. Proc. IEEE 2012, 100, 516–524. [Google Scholar] [CrossRef]
  9. Hänchen, M.; Brückner, S.; Steinfeld, A. High-temperature thermal storage using a packed bed of rocks—Heat transfer analysis and experimental validation. Appl. Therm. Eng. 2011, 31, 1798–1806. [Google Scholar] [CrossRef]
  10. Becattini, V.; Motmans, T.; Zappone, A.; Madonna, C.; Haselbacher, A.; Steinfeld, A. Experimental investigation of the thermal and mechanical stability of rocks for high-temperature thermal-energy storage. Appl. Energy 2017, 203, 373–389. [Google Scholar] [CrossRef]
  11. Ibrahim, A.; Ilinca, A.; Perron, J. Energy Storage Systems—Characteristics and Comparisons. Renew. Sustain. Energy Rev. 2008, 12, 1221–1250. [Google Scholar] [CrossRef]
  12. Siemens Presents Thermal Storage Solution for Wind Energy. Available online: https://www.siemens.com/press/en/pressrelease/?press=/en/pressrelease/2016/windpower-renewables/pr2016090419wpen.htm&content[]=WP (accessed on 20 October 2018).
  13. Unsubsidized Levelized Cost of Energy Comparison. Available online: https://www.lazard.com/media/450337/lazard-levelized-cost-of-energy-version-110.pdf (accessed on 15 October 2018).
  14. Homer Energy. Available online: https://www.homerenergy.com/ (accessed on 21 October 2018).
  15. Photovoltaic Resource Maps. Available online: https://www.nrcan.gc.ca/18366 (accessed on 23 October 2018).
  16. Fu, R.; Feldman, D.J.; Margolis, R.M.; Woodhouse, M.A.; Ardani, K.B. U.S. Solar Photovoltaic System Cost Benchmark: Q1 2017; Technical Report NREL/TP-6A20-68925; National Renewable Energy Laboratory: Golden, CO, USA, 2017.
  17. Renewable Power Generation Costs in 2017. Available online: https://www.irena.org/-/media/Files/IRENA/Agency/Publication/2018/Jan/IRENA_2017_Power_Costs_2018.pdf (accessed on 21 October 2018).
  18. Price of Crushed Stone. Available online: https://www.statista.com/statistics/219371/crushed-stone-prices-in-the-us (accessed on 25 October 2018).
  19. Rockwool Technical Specifications. Available online: https://www.rockwool.com/technical-resources/documentation/ (accessed on 28 October 2018).
Figure 1. Idealized storage capacity required as function of non-curtailing mixes of wind and solar generation on Prince Edward Island (PEI) (2014 wind and demand data). Installed capacities are non-symmetrical due to different capacity factors for wind and solar.
Figure 1. Idealized storage capacity required as function of non-curtailing mixes of wind and solar generation on Prince Edward Island (PEI) (2014 wind and demand data). Installed capacities are non-symmetrical due to different capacity factors for wind and solar.
Energies 11 03470 g001
Figure 2. Stored energy charge for the scenarios of 450 MW wind-only, 1150 MW solar-only and the storage minimizing mix of 350 MW wind and 313 MW solar configuration (2014 wind and demand data).
Figure 2. Stored energy charge for the scenarios of 450 MW wind-only, 1150 MW solar-only and the storage minimizing mix of 350 MW wind and 313 MW solar configuration (2014 wind and demand data).
Energies 11 03470 g002
Figure 3. Hybrid optimization model for multiple energy resources (HOMER) simulation schematic diagram.
Figure 3. Hybrid optimization model for multiple energy resources (HOMER) simulation schematic diagram.
Energies 11 03470 g003
Figure 4. HOMER results with 90% efficient $50/kWh lithium battery system: (a) an arbitrary but illustrative three weeks; and (b) the full year.
Figure 4. HOMER results with 90% efficient $50/kWh lithium battery system: (a) an arbitrary but illustrative three weeks; and (b) the full year.
Energies 11 03470 g004
Figure 5. Example HOMER results with 30% efficient $10/kWh thermal-turbine storage concept: (a) an arbitrary but illustrative three weeks; and (b) the full year.
Figure 5. Example HOMER results with 30% efficient $10/kWh thermal-turbine storage concept: (a) an arbitrary but illustrative three weeks; and (b) the full year.
Energies 11 03470 g005
Figure 6. Charlottetown PEI’s soon-to-be-decommissioned thermal power plant that is more than 50 years old (Natalia Goodwin/CBC).
Figure 6. Charlottetown PEI’s soon-to-be-decommissioned thermal power plant that is more than 50 years old (Natalia Goodwin/CBC).
Energies 11 03470 g006
Table 1. Storage summary for Figure 2.
Table 1. Storage summary for Figure 2.
Solar (MW)Wind (MW)Demand from StorageStorage Required (GWh)Equivalent Cycles per YearMax Discharge (MW)Max Charge (MW)Max Charge (C-Rate)
31335028%419.62454331/95
045035%1323.72473171/416
1150060%2353.525710001/235
Table 2. Storage efficiencies modeled within the “converter” element.
Table 2. Storage efficiencies modeled within the “converter” element.
Storage OptionCharge EfficiencyDischarge Efficiency
Lithium battery95%95%
Thermal-turbine100%30%
Table 3. Least-cost scenarios and cost of energy (COE) as a function of defined storage cost for the 90% efficient lithium battery cost scenarios.
Table 3. Least-cost scenarios and cost of energy (COE) as a function of defined storage cost for the 90% efficient lithium battery cost scenarios.
Storage Cost ($/kWh)Solar (MW)Wind (MW)Storage (GWh)COE ($/kWh)
100350575140.14
50300575150.10
25275525180.08
Table 4. Least-cost scenarios and COEs as a function of storage cost for a 30% efficient thermal-turbine storage concept.
Table 4. Least-cost scenarios and COEs as a function of storage cost for a 30% efficient thermal-turbine storage concept.
Storage Cost ($/kWh)Solar (MW)Wind (MW)Storage (GWh)COE ($/kWh)
20375600750.15
10325600800.11
5325600800.09
Table 5. Cost rationalization for future battery and thermal-turbine storage options based on 250 MW power rating.
Table 5. Cost rationalization for future battery and thermal-turbine storage options based on 250 MW power rating.
250 MW Storage OptionsPower ($/kW)Energy ($/kWh)Power ($)Energy ($)Total ($/kWh)
Lithium battery (15 GWh)1005025 M750 M52
Thermal-turbine (80 GWh)10004250 M320 M11
Table 6. High-level design details of the thermal-turbine storage option.
Table 6. High-level design details of the thermal-turbine storage option.
Storage (GWh)Cp (Basalt) (J/kgK)ΔT (°C)Density (kg/m3)Mass (kg)Volume (m3)Cube (m)Surface Area (m2)Heat Loss (W/m2)Heat Loss (GWh/year)
8080060015006 × 108400,0007432,500298.3

Share and Cite

MDPI and ACS Style

Swingler, A.; Hall, M. Initial Comparison of Lithium Battery and High-Temperature Thermal-Turbine Electricity Storage for 100% Wind and Solar Electricity Supply on Prince Edward Island. Energies 2018, 11, 3470. https://doi.org/10.3390/en11123470

AMA Style

Swingler A, Hall M. Initial Comparison of Lithium Battery and High-Temperature Thermal-Turbine Electricity Storage for 100% Wind and Solar Electricity Supply on Prince Edward Island. Energies. 2018; 11(12):3470. https://doi.org/10.3390/en11123470

Chicago/Turabian Style

Swingler, Andrew, and Matthew Hall. 2018. "Initial Comparison of Lithium Battery and High-Temperature Thermal-Turbine Electricity Storage for 100% Wind and Solar Electricity Supply on Prince Edward Island" Energies 11, no. 12: 3470. https://doi.org/10.3390/en11123470

APA Style

Swingler, A., & Hall, M. (2018). Initial Comparison of Lithium Battery and High-Temperature Thermal-Turbine Electricity Storage for 100% Wind and Solar Electricity Supply on Prince Edward Island. Energies, 11(12), 3470. https://doi.org/10.3390/en11123470

Note that from the first issue of 2016, this journal uses article numbers instead of page numbers. See further details here.

Article Metrics

Back to TopTop