Analysis, Design, and Implementation of Improved LLC Resonant Transformer for Efficiency Enhancement
Abstract
1. Introduction
2. Analysis of Conventional LLC Transformer
3. Analysis of Improved LLC Resonant Transformer
3.1. Main Structure
3.2. Switch Controlled Inductor (SCI)
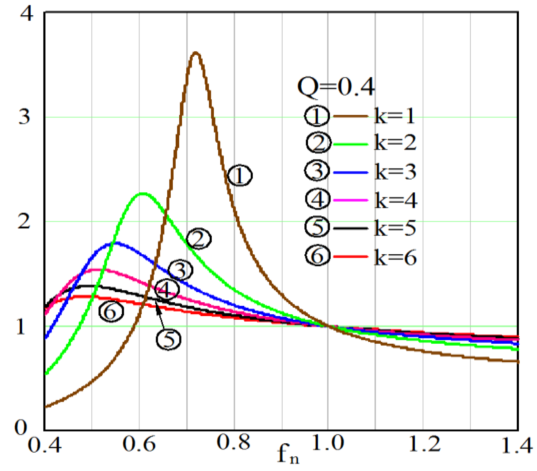
3.3. Equivalent Circuit of Resonant Tank and Magnetic Field Analysis
3.4. LLC Resonant Converter Charger Application
4. Design Methodology
4.1. Electrical Design Considerations
4.2. Transformer Loss and Thermal Design Considerations
4.3. Transformer Design Considerations
5. Experimental Verification
5.1. Design Specification
5.2. Transformer Parameters
5.3. Experimental Results
6. Conclusions
Author Contributions
Funding
Conflicts of Interest
References
- Deng, J.; Mi, C.C.; Ma, R.; Li, S. Design of LLC resonant converters based on operation-mode analysis for level two PHEV battery chargers. IEEE/ASME Trans. Mechatron. 2015, 20, 1595–1606. [Google Scholar] [CrossRef]
- Demirel, I.; Erkmen, B. A Very Low-Profile Dual Output LLC Resonant Converter for LCD/LED TV Applications. IEEE Trans. Power Electron. 2014, 29, 3514–3524. [Google Scholar] [CrossRef]
- Uno, M.; Kukita, A. Two-Switch Voltage Equalizer Using an LLC Resonant Inverter and Voltage Multiplier for Partially Shaded Series-Connected Photovoltaic Modules. IEEE Trans. Ind. Appl. 2015, 51, 1587–1601. [Google Scholar] [CrossRef]
- Yang, B.; Lee, F.C.; Zhang, A.J.; Huang, G. LLC resonant converter for front end DC/DC conversion. In Proceedings of the Seventeenth Annual IEEE Applied Power Electronics Conference and Exposition, Dallas, TX, USA, 10–14 March 2002; pp. 1108–1112. [Google Scholar]
- Wang, H.; Li, Z. A PWM LLC Type Resonant Converter Adapted to Wide Output Range in PEV Charging Applications. IEEE Trans. Power Electron. 2018, 33, 3791–3801. [Google Scholar] [CrossRef]
- Jeong, Y.; Moon, G.W.; Kim, J.K. Analysis on half-bridge LLC resonant converter by using variable inductance for high efficiency and power density server power supply. In Proceedings of the 2017 IEEE Applied Power Electronics Conference and Exposition (APEC), Tampa, FL, USA, 26–30 March 2017; pp. 170–177. [Google Scholar]
- Zhang, J.; Hurley, W.G.; Wölfle, W.H. Gapped Transformer Design Methodology and Implementation for LLC Resonant Converters. IEEE Trans. Ind. Appl. 2016, 52, 342–350. [Google Scholar] [CrossRef]
- Saket, M.A.; Shafiei, N.; Ordonez, N. LLC Converters with Planar Transformers: Issues and Mitigation. IEEE Trans. Power Electron. 2017, 32, 4524–4542. [Google Scholar] [CrossRef]
- Watanabe, T.; Kurokawa, F. Efficiency comparison between phase shift and LLC converters as power supply for information and communication equipment. In Proceedings of the 2015 IEEE International Telecommunications Energy Conference (INTELEC), Osaka, Japan, 18–22 October 2015; pp. 1–5. [Google Scholar]
- Kim, E.S.; Kang, C.H.; Hwang, I.G.; Lee, Y.S.; Huh, D.Y. LLC Resonant Converter Using A Planar Transformer with New Core Shape. In Proceedings of the 2014 IEEE Applied Power Electronics Conference and Exposition—APEC 2014, Fort Worth, TX, USA, 16–20 March 2014; pp. 3374–3377. [Google Scholar]
- Yamamoto, T.; Bu, Y.; Mizuno, T.; Yamaguchi, Y.; Kano, T. Loss Reduction of Transformer for LLC Resonant Converter Using a Magneto plated Wire. In Proceedings of the 2016 19th International Conference on Electrical Machines and Systems (ICEMS), Chiba, Japan, 13–16 November 2016; pp. 1–6. [Google Scholar]
- Kang, B.G.; Park, C.S.; Chung, S.K. Integrated transformer using magnetic sheet for LLC resonant converter. Electron. Lett. 2014, 50, 770–771. [Google Scholar] [CrossRef]
- Stadler, A.; Gulden, C. Copper Losses of Litz-Wire Windings Due to an Air Gap. In Proceedings of the 2013 15th European Conference on Power Electronics and Applications (EPE), Lille, France, 2–6 September 2013; pp. 1–7. [Google Scholar]
- Zhang, J.; Hurley, W.G.; Wölfle, W.H. Design of the Planar Transformer in LLC Resonant Converters for Micro-grid applications. In Proceedings of the 2014 IEEE 5th International Symposium on Power Electronics for Distributed Generation Systems (PEDG), Galway, Ireland, 24–27 June 2014; pp. 1–7. [Google Scholar]
- Yang, S.; Abe, S.; Shoyama, M. Design Consideration of Two Flat Transformers in a Low-Profile LLC Resonant Converter. In Proceedings of the 8th International Conference on Power Electronics—ECCE Asia, Jeju, Korea, 30 May–3 June 2011; pp. 854–859. [Google Scholar]
- Yang, S.; Abe, S.; Shoyama, M. Design Consideration of Flat Transformer in LLC Resonant Converter for Low Core Loss. In Proceedings of the 2010 International Power Electronics Conference (IPEC), Sapporo, Japan, 21–24 June 2010; pp. 343–348. [Google Scholar]
- Alabakhshizadeh, A.; Midtgård, O.M. Winding Loss Analysis and Optimization of an AC Inductor for a Galvanically Isolated PV Inverter. In Proceedings of the 2012 International Conference and Exposition on Electrical and Power Engineering, Iasi, Romania, 25–27 October 2012; pp. 705–708. [Google Scholar]
- Alabakhshizadeh, A.; Midtgård, O.M. Air Gap Fringing Flux Reduction in a High Frequency Inductor for a Solar Inverter. In Proceedings of the 2013 IEEE 39th Photovoltaic Specialists Conference (PVSC), Tampa, FL, USA, 16–21 June 2013; pp. 2849–2852. [Google Scholar]
- Huang, W.N.; Lee, S.H.; Chen, C.G. Light-Load Efficiency Improvement Strategy for LLC Resonant Converter Utilizing a Step-Gap Transformer. In Proceedings of the 2014 International Power Electronics Conference, Hiroshima, Japan, 18–21 May 2014; pp. 1734–1737. [Google Scholar]
- Hua, C.C.; Fang, Y.H.; Lin, C.W. LLC resonant converter for electric vehicle battery chargers. IET Power Electron. 2016, 9, 2369–2376. [Google Scholar] [CrossRef]
- Gu, W.J.; Harada, K. A new method to regulate resonant converters. IEEE Trans. Power Electron. 1998, 3, 430–439. [Google Scholar]
- Musavi, F.; Craciun, M.; Gautam, D.S.; Eberle, W.; Dunford, W.G. An LLC Resonant DC–DC Converter for Wide Output Voltage Range Battery Charging Applications. IEEE Trans. Power Electron. 2013, 28, 5437–5445. [Google Scholar] [CrossRef]
- Hurley, W.G.; Wölfle, W.H. Transformers and Inductors for Power Electronics. Theory, Design and Applications; Wiley: London, UK, 2013. [Google Scholar]


















| Symbol | Description | Value |
|---|---|---|
| Output power | 760 W | |
| Switching frequency | 50 k–300 kHz | |
| Resonant frequency | 85 kHz | |
| Magnetizing inductance | 44 µH | |
| Resonant inductance | 50 µH | |
| a | Turns ratio | 2:1 |
| Temperature rise | 70 °C | |
| Ambient temperature | 40 °C | |
| Resonant rms current | 4.53 A | |
| Magnetizing peak current | 1.26 A | |
| Secondary rms current | 9.1 A | |
| SCI current | 2 A | |
| The total rated VA values of windings | 1466.3 VA |
| Symbol | Description | Value |
|---|---|---|
| Steinmetz parameter | 16.9 | |
| α | Steinmetz parameter | 1.25 |
| β | Steinmetz parameter | 2.35 |
| Saturation magnetic flux | 0.4 T | |
| Window utilization factor | 0.55 | |
| Effective magnetic circuit sectional area | 213 mm2 | |
| γ | Ratio of core loss to winding loss | 1 |
| Symbol | Description | Value |
|---|---|---|
| Cross-section area | 1.73 cm2 | |
| Magnetic path length | 10.3 cm | |
| Window area | 2.78 cm2 | |
| Area product parameter | 4.81 cm4 | |
| Volume of core | 17.70 cm3 | |
| Mean length of a turn | 7.77 cm | |
| Core stacking factor | 1.0 | |
| Copper resistivity (20 °C) | 1.72 µΩ·cm | |
| Constant | 0.00393 |
| AWG | Sectional Area | Resistivity | Diameter |
|---|---|---|---|
| 24 | 0.2047 mm2 | 842.1 µΩ/cm | 0.51 mm |
| Symbol | Description | Value |
|---|---|---|
| Allowed Maximum power loss | 4.9 W | |
| DC winding loss | 1.56 W | |
| AC winding loss | 1.74 W | |
| Core loss | 1.94 W | |
| The loss of SCI | 1.1 W | |
| Total loss | 4.78 W | |
| Transformer efficiency | 99.37% |
© 2018 by the authors. Licensee MDPI, Basel, Switzerland. This article is an open access article distributed under the terms and conditions of the Creative Commons Attribution (CC BY) license (http://creativecommons.org/licenses/by/4.0/).
Share and Cite
Zhao, Z.; Xu, Q.; Dai, Y.; Yin, H. Analysis, Design, and Implementation of Improved LLC Resonant Transformer for Efficiency Enhancement. Energies 2018, 11, 3288. https://doi.org/10.3390/en11123288
Zhao Z, Xu Q, Dai Y, Yin H. Analysis, Design, and Implementation of Improved LLC Resonant Transformer for Efficiency Enhancement. Energies. 2018; 11(12):3288. https://doi.org/10.3390/en11123288
Chicago/Turabian StyleZhao, Zhenxing, Qianming Xu, Yuxing Dai, and Hanhang Yin. 2018. "Analysis, Design, and Implementation of Improved LLC Resonant Transformer for Efficiency Enhancement" Energies 11, no. 12: 3288. https://doi.org/10.3390/en11123288
APA StyleZhao, Z., Xu, Q., Dai, Y., & Yin, H. (2018). Analysis, Design, and Implementation of Improved LLC Resonant Transformer for Efficiency Enhancement. Energies, 11(12), 3288. https://doi.org/10.3390/en11123288

