Design of Low-Ripple and Fast-Response DC Filters in DC Distribution Networks
Abstract
1. Introduction
2. Design of DC Filters for DC Distribution Networks
2.1. Basic Prototype Selection of DC Filters
2.2. Design and Characteristic Analysis of DC Filters
3. Parameter Optimization and Performance Analysis of the Filter Networks
3.1. Optimization of Filter Parameters Based on Pole-Circle
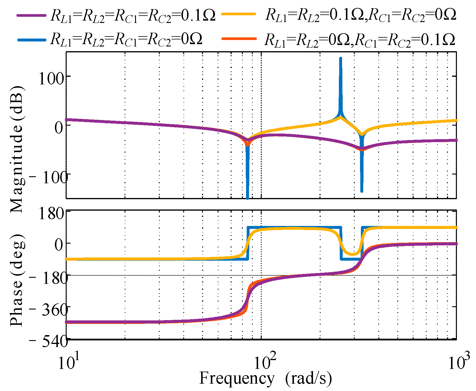
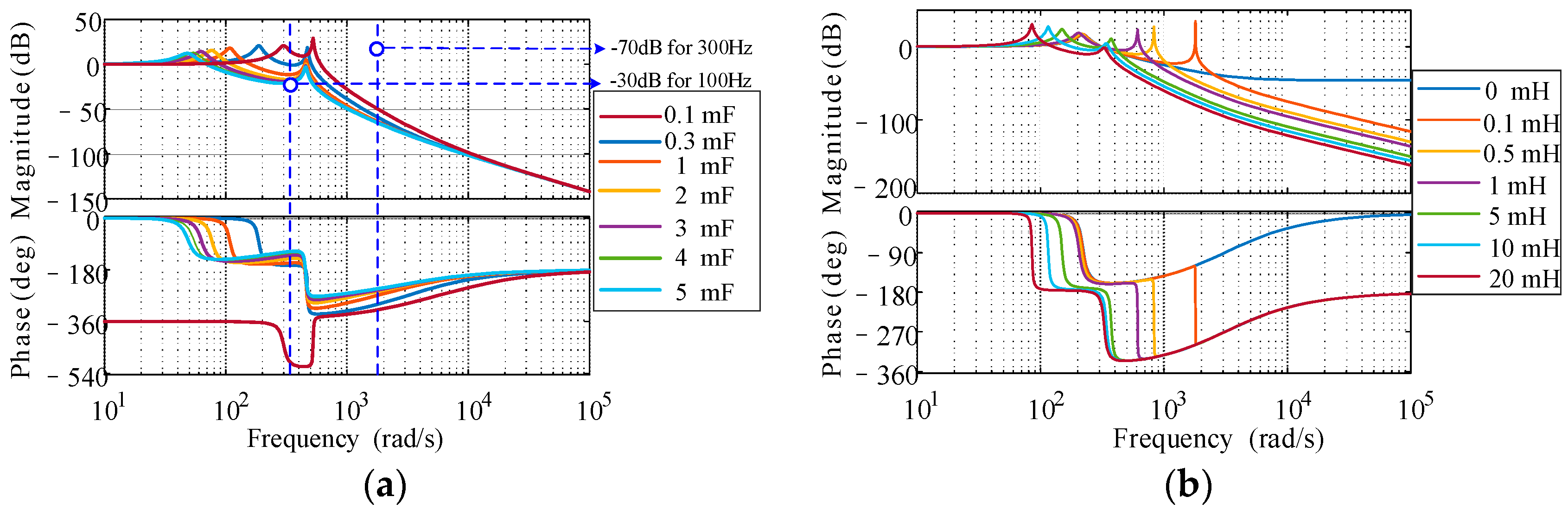
3.2. Sensitivity Analysis of Filter Parameters
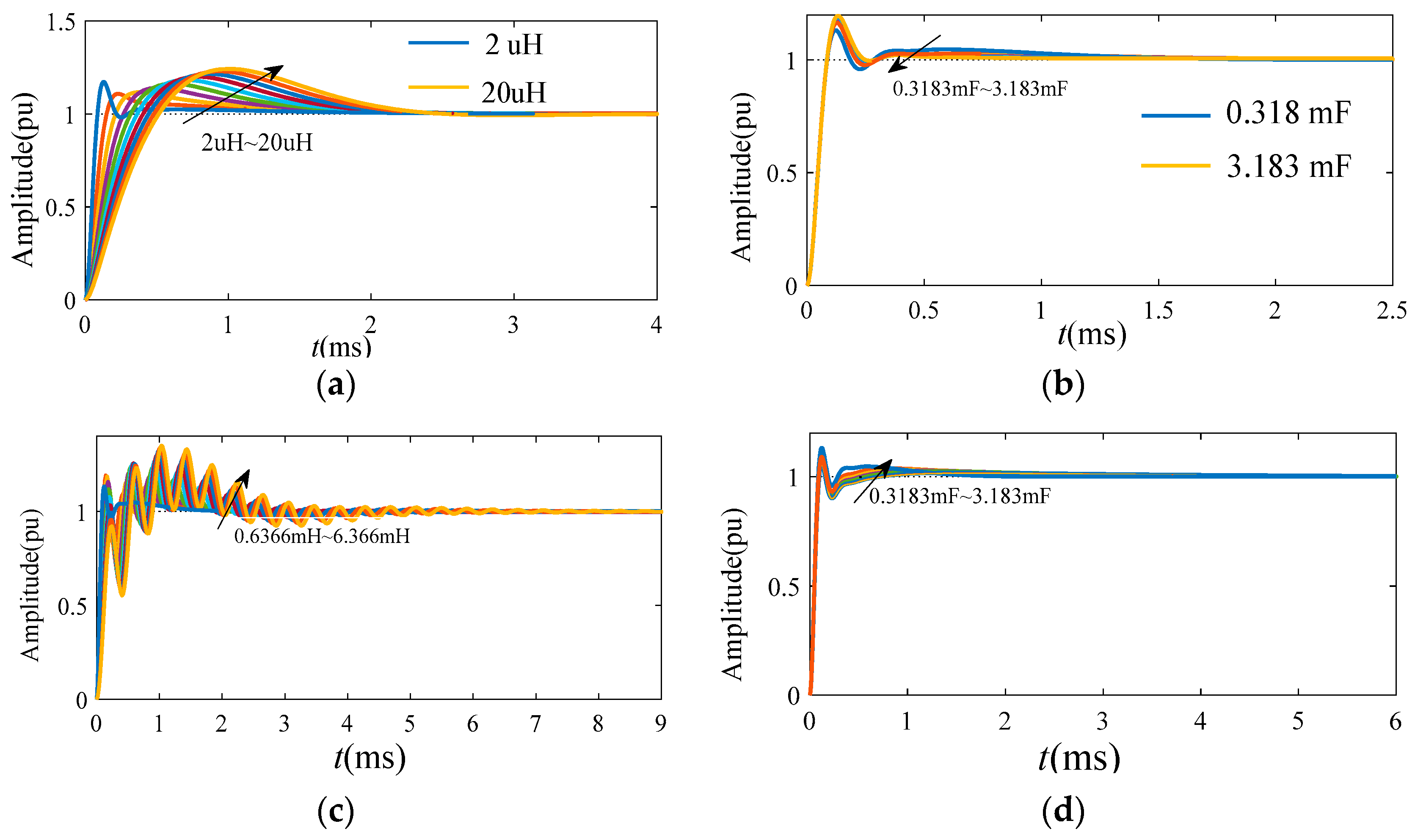
3.3. Dynamic Performance Analysis of the Filter
4. Simulation Study
4.1. Simulation of Filtering Effect in Bipolar DC Distribution Networks
4.2. Simulation Result of Single-Ended Radial DC Distribution Networks
4.3. Simulation of the Power Transmission Efficiency in Single-Ended Radial DC Distribution Network
5. Experimental Study
6. Conclusions
Author Contributions
Acknowledgments
Conflicts of Interest
References
- Deng, W.; Pei, W.; Li, L.Y. Active Stabilization Control of Multi-Terminal AC/DC Hybrid System Based on Flexible Low-Voltage DC Power Distribution. Energies 2018, 11, 502. [Google Scholar] [CrossRef]
- Kim, J.H.; Kim, J.Y.; Cho, J.T.; Song, I.K.; Kweon, B.M.; Chung, I.Y.; Choi, J.H. Comparison between Underground Cable and Overhead Line for a Low-Voltage Direct Current Distribution Network Serving Communication Repeater. Energies 2014, 7, 1656–1672. [Google Scholar] [CrossRef]
- Wang, M.H.; Tan, S.C.; Lee, C.K.; Hui, S.Y.R. A Configuration of Storage System for DC Microgrids. IEEE Trans. Power Electron. 2017, 33, 3722–3733. [Google Scholar] [CrossRef]
- Chen, X.; Shi, M.; Sun, H.; Li, Y.; He, H. Distributed Cooperative Control and Stability Analysis of Multiple DC Electric Springs in a DC Microgrid. IEEE Trans. Ind. Electron. 2018, 65, 5611–5622. [Google Scholar] [CrossRef]
- Liu, Y.; Hou, X.C.; Wang, X.F.; Lin, C.; Guerrero, J.M. A Coordinated Control for Photovoltaic Generators and Energy Storages in Low-Voltage AC/DC Hybrid Microgrids under Islanded Mode. Energies 2016, 9, 651. [Google Scholar] [CrossRef]
- Van der Blij, N.H.; Ramirez-Elizondo, L.M.; Spaan, M.T.J.; Bauer, P. Stability of DC Distribution Systems: An Algebraic Derivation. Energies 2017, 10, 1412. [Google Scholar] [CrossRef]
- Kakigano, H.; Miura, Y.; Ise, T. Low-Voltage Bipolar-Type DC Microgrid for Super High Quality Distribution. IEEE Trans. Power Electron. 2010, 25, 3066–3075. [Google Scholar] [CrossRef]
- Wang, M.H.; Mok, K.T.; Tan, S.C.; Hui, S.Y.R. Multifunctional DC Electric Springs for Improving Voltage Quality of DC Grids. IEEE Trans. Smart Grid 2018, 9, 2248–2258. [Google Scholar] [CrossRef]
- Mok, K.T.; Wang, M.H.; Tan, S.C.; Hui, S.Y.R. DC Electric Springs—A Technology for Stabilizing DC Power Distribution Systems. IEEE Trans. Power Electron. 2016, 32, 1088–1105. [Google Scholar] [CrossRef]
- Sahoo, S.; Prakash, S.; Mishra, S. Power Quality Improvement of Grid Connected DC Microgrids using Repetitive Learning Based PLL under Abnormal Grid Conditions. IEEE Trans. Ind. Appl. 2017, 54, 82–90. [Google Scholar] [CrossRef]
- Wang, H.; Blaabjerg, F. Reliability of Capacitors for DC-Link Applications in Power Electronic Converters—An Overview. Ind. Appl. IEEE Trans. 2014, 50, 3569–3578. [Google Scholar] [CrossRef]
- Gu, L.; Ruan, X.; Xu, M.; Yao, K. Means of Eliminating Electrolytic Capacitor in AC/DC Power Supplies for LED Lightings. IEEE Trans. Power Electron. 2009, 24, 1399–1408. [Google Scholar] [CrossRef]
- Lehman, B.; Wilkins, A.; Berman, S.; Poplawski, M.; Miller, N.J. Proposing Measures of Flicker in the Low Frequencies for Lighting Applications. LEUKOS 2011, 7, 189–195. [Google Scholar]
- Shimizu, T.; Jin, Y.; Kimura, G. DC ripple current reduction on a single-phase PWM voltage-source rectifier. IEEE Trans. Ind. Appl. 2000, 36, 1419–1429. [Google Scholar] [CrossRef]
- Krein, P.T.; Balog, R.S.; Mirjafari, M. Minimum Energy and Capacitance Requirements for Single-Phase Inverters and Rectifiers Using a Ripple Port. IEEE Trans. Power Electron. 2012, 27, 4690–4698. [Google Scholar] [CrossRef]
- Jung, T.H.; Gwon, G.H.; Kim, C.H.; Han, J.; Oh, Y.S.; Noh, C.H. Voltage Regulation Method for Voltage Drop Compensation and Unbalance Reduction in Bipolar Low-Voltage DC Distribution System. IEEE Trans. Power Deliv. 2018, 33, 141–149. [Google Scholar] [CrossRef]
- Graham, A.D. The Importance of A DC Side Harmonic Study for A DC Distribution System. In Proceedings of the IET International Conference on Power Electronics, Machines and Drives, Bristol, UK, 27–29 March 2012; pp. 1–5. [Google Scholar]
- Hu, Y.; Du, Y.; Xiao, W.; Finney, S.; Cao, W. DC-link voltage control strategy for reducing capacitance and total harmonic distortion in single-phase grid-connected photovoltaic inverters. IET Power Electron. 2015, 8, 1386–1393. [Google Scholar] [CrossRef]
- Li, S.; Lee, A.T.L.; Tan, S.C.; Hui, S.Y. Plug-and-Play Voltage Ripple Mitigator for DC Links in Hybrid AC-DC Power Grids with Local Bus-Voltage Control. IEEE Trans. Ind. Electron. 2017, 65, 687–698. [Google Scholar] [CrossRef]
- Wang, M.H.; Yan, S.; Tan, S.C.; Hui, S.Y. Hybrid-DC Electric Springs for DC Voltage Regulation and Harmonic Cancellation in DC Microgrids. IEEE Trans. Power Electron. 2018, 33, 1167–1177. [Google Scholar] [CrossRef]
- Lee, T.L.; Wang, Y.C.; Li, J.C.; Guerrero, J.M. Hybrid Active Filter with Variable Conductance for Harmonic Resonance Suppression in Industrial Power Systems. Ind. Electron. IEEE Trans. 2015, 62, 746–756. [Google Scholar] [CrossRef]
- Somlal, J.; Rao, M.V.G. Power conditioning in distribution systems using ANN controlled Shunt Hybrid Active Power Filter. In Proceedings of the International Conference on Smart Electric Grid, Guntur, India, 19–20 September 2014. [Google Scholar]
- Wang, Z.; Wu, B.; Xu, D.; Cheng, M.; Xu, L. DC-Link Current Ripple Mitigation for Current-Source Grid-Connected Converters Under Unbalanced Grid Conditions. IEEE Trans. Ind. Electron. 2016, 63, 4967–4977. [Google Scholar] [CrossRef]
- Li, H.; Zhang, L.; Yan, X.; Kang, W. Design Method of Low Loss and Fast Response LC Filters Based on Locomotive Battery Testing System. EPE J. 2008, 18, 25–31. [Google Scholar]
- Beres, R.N.; Wang, X.; Liserre, M.; Blaabjerg, F.; Bak, C.L. A Review of Passive Power Filters for Three-Phase Grid-Connected Voltage-Source Converters. IEEE J. Emerg. Sel. Top. Power Electron. 2017, 4, 54–69. [Google Scholar] [CrossRef]
- Yang, L.; Chen, Y.; Luo, A.; Wu, W.; Huai, K.; Zhou, X.; Zhou, L.; Xu, Q.; Guerrero, J.M. Second Ripple Current Suppression by Two Band-Pass Filters and Current Sharing Method for Energy Storage Converters in DC Microgrid. IEEE J. Emerg. Sel. Top. Power Electron. 2017, 5, 1031–1044. [Google Scholar] [CrossRef]
- Bo, C.; Zeng, X.; Yao, X. Three Tuned Passive Filter to Improve Power Quality. In Proceedings of the International Conference on Power System Technology, Chongqing, China, 22–26 October 2006. [Google Scholar]
- Fadloullah, I.; Mechaqrane, A.; Ahaitouf, A. Butterworth Low Pass filter design using evolutionary algorithm. In Proceedings of the International Conference on Wireless Technologies, Embedded and Intelligent Systems, Fez, Morocco, 19–20 April 2017; pp. 1–6. [Google Scholar]
- Kang, W.; Zhang, L.; Liu, C. Output filter design method in current-source PWM converters. Trans. China Electrotech. Soc. 2012, 27, 83–89. [Google Scholar]
- Aleem, S.H.E.A.; Balci, M.E.; Zobaa, A.F.; Sakar, S. Optimal passive filter design for effective utilization of cables and transformers under non-sinusoidal conditions. In Proceedings of the 16th International Conference on Harmonics and Quality of Power (ICHQP). Bucharest, Romania, 25–28 May 2014; pp. 626–630. [Google Scholar]
- Yang, N.C.; Le, M.D. Optimal Design of Passive Power Filters Based on Multi-Objective Bat Algorithm and Pareto Front; Elsevier: Amsterdam, The Netherlands, 2015; pp. 257–266. [Google Scholar]
- Sakar, S.; Balci, M.E.; Aleem, S.H.E.A.; Zobaa, A.F. Hosting capacity assessment and improvement for photovoltaic-based distributed generation in distorted distribution networks. In Proceedings of the IEEE International Conference on Environment and Electrical Engineering, Florence, Italy, 7–10 June 2016. [Google Scholar]
- Ali, Z.M.; Alenezi, F.Q.; Kandil, S.S.; Aleem, S.H.E.A. Practical considerations for reactive power sharing approaches among multiple-arm passive filters in non-sinusoidal power systems. Int. J. Electr. Power Energy Syst. 2018, 103, 660–675. [Google Scholar] [CrossRef]
- Zhang, L.; Gui, J.; Xing, C.; He, Z.; Zhan, G. Research on how to enhance the Chebyshev DC/DC filter’s performance. Phys. Procedia 2012, 24, 891–899. [Google Scholar]
- Zhang, L.; Xiangwu, Y.; Li, H.; Wei, K. Design and Simulation of Fast-Response Filter Based on Locomotive Battery Testing System. In Proceedings of the Power Electronics and Motion Control Conference, Portoroz, Slovenia, 30 August–1 September 2006. [Google Scholar]

























| Type | Application | Advantage | Disadvantage |
|---|---|---|---|
| APF | AC or DC filtering | Dynamic compensation of harmonics | High cost, complex design and control |
| TF | AC or DC filtering | Simple principle and design method | Large occupation area |
| LCF | AC or DC filtering | Few elements and low cost | Large volume and small power density |
| FRF | DC filtering | Fast response speed | Slow stopband attenuation |
| CBSF | DC filtering | Fast attenuation of stopband | Slow response speed |
| Element | km | Value |
|---|---|---|
| C1 | 1 | 3.183 mF |
| L1 | - | 20 mH |
| C2 | 1 | 3.183 mF |
| L2 | 2 | 6.366 mH |
| Element | km | Value |
|---|---|---|
| C1 | 1.48 | 4.7 mF |
| L1 | - | 2 mH |
| C2 | 1 | 3.183 mF |
| L2 | 2 | 6.366 mH |
| R1 | - | 0.1 Ω |
| R2 | - | 0.1 Ω |
| Parameter | Value | Parameter | Value |
|---|---|---|---|
| Three-phase voltage unbalance factor (%) | 0–2% | DC line resistance (Ω) | 0.2 |
| AC voltage (V) | 220 | DC bus current (A) | 20 |
| DC bus voltage (V) | 640 | DC load power (kW) | 1 × 10 |
| Modulation ratio (pu) | 0.7 | AC load power (kW) | 2 × 1.4 |
| Parameter | Value | Parameter | Value |
|---|---|---|---|
| AC Voltage (V) | 220 | AC Load Power (kW) | 8 × 1 |
| DC Bus Voltage (V) | 500 | DC Load Power (kW) | 8 × 1 |
| Trigger Angle (°) | 10 | Switching Frequency (Hz) | 1000 |
| DC Line Resistance (Ω) | 0.1 | DC Current (A) | 20 |
© 2018 by the authors. Licensee MDPI, Basel, Switzerland. This article is an open access article distributed under the terms and conditions of the Creative Commons Attribution (CC BY) license (http://creativecommons.org/licenses/by/4.0/).
Share and Cite
Liao, J.; Zhou, N.; Wang, Q. Design of Low-Ripple and Fast-Response DC Filters in DC Distribution Networks. Energies 2018, 11, 3128. https://doi.org/10.3390/en11113128
Liao J, Zhou N, Wang Q. Design of Low-Ripple and Fast-Response DC Filters in DC Distribution Networks. Energies. 2018; 11(11):3128. https://doi.org/10.3390/en11113128
Chicago/Turabian StyleLiao, Jianquan, Niancheng Zhou, and Qianggang Wang. 2018. "Design of Low-Ripple and Fast-Response DC Filters in DC Distribution Networks" Energies 11, no. 11: 3128. https://doi.org/10.3390/en11113128
APA StyleLiao, J., Zhou, N., & Wang, Q. (2018). Design of Low-Ripple and Fast-Response DC Filters in DC Distribution Networks. Energies, 11(11), 3128. https://doi.org/10.3390/en11113128

