Improved Performance of Dye-Sensitized Solar Cells with TiO2 Nanoparticles/Zn-Doped TiO2 Hollow Fiber Photoanodes
Abstract
1. Introduction
2. Results and Discussion
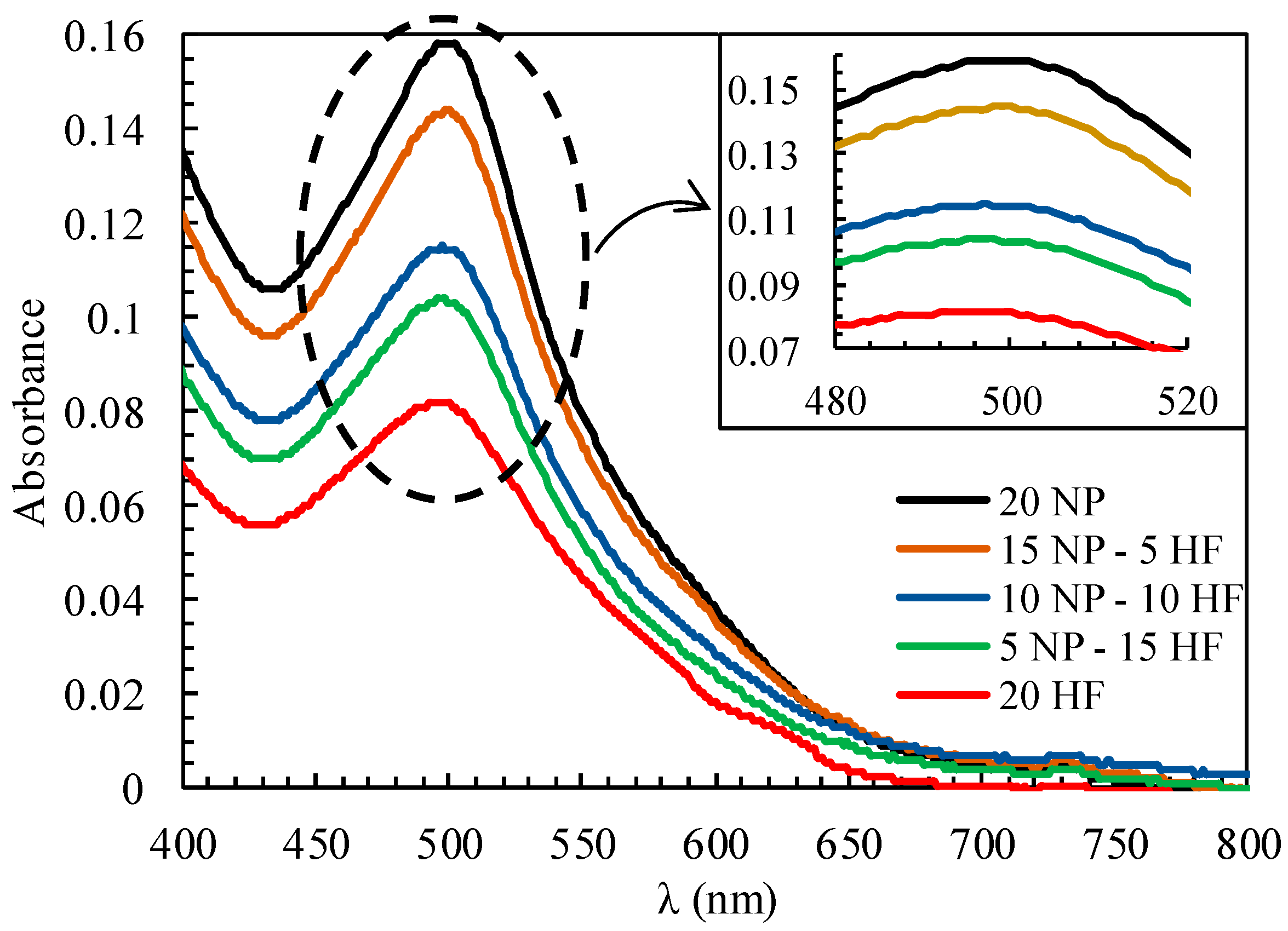
2.1. Photoanode Characterization
2.2. Performance of DSSCs
3. Materials and Methods
3.1. Synthesis and Characteristics of TiO2 NPs and Zn-Doped TiO2 HF
3.2. Counter Electrode
3.3. DSSC Fabrication and Testing
4. Conclusions
Author Contributions
Funding
Conflicts of Interest
References
- Li, M.H.; Yum, J.H.; Moon, S.J.; Chen, P. Inorganic p-type semiconductors: Their applications and progress in dye-sensitized solar cells and perovskite solar cells. Energies 2016, 9, 331. [Google Scholar] [CrossRef]
- Prananto, L.A.; Juangsa, F.B.; Iqbal, R.M.; Aziz, M.; Soelaiman, T.A.F. Dry steam cycle application for excess steam utilization: Kamojang geothermal power plant case study. Renew. Energy 2018, 117, 157–165. [Google Scholar] [CrossRef]
- Juangsa, F.B.; Budiman, B.A.; Aziz, M.; Soelaiman, T.A.F. Design of an airborne vertical axis wind turbine for low electrical power demands. Int. J. Energy Environ. Eng. 2017, 8, 293–301. [Google Scholar] [CrossRef]
- Grätzel, M. Dye-sensitized solar cells. J. Photochem. Photobiol. C Photochem. Rev. 2003, 4, 145–153. [Google Scholar] [CrossRef]
- Wei, D. Dye sensitized solar cells. Int. J. Mol. Sci. 2010, 11, 1103–1113. [Google Scholar] [CrossRef] [PubMed]
- Balasingam, S.K.; Lee, M.; Kang, M.G.; Jun, Y. Improvement of dye-sensitized solar cells toward the broader light harvesting of the solar spectrum. Chem. Commun. 2013, 49, 1471–1487. [Google Scholar] [CrossRef] [PubMed]
- Balasingam, S.K.; Kang, M.G.; Jun, Y. Metal substrate based electrodes for flexible dye-sensitized solar cells: Fabrication methods, progress and challenges. Chem. Commun. 2013, 49, 11457–11475. [Google Scholar] [CrossRef] [PubMed]
- Nazeeruddin, M.K.; Baranoff, E.; Grätzel, M. Dye-sensitized solar cells: A brief overview. Sol. Energy 2011, 85, 1172–1178. [Google Scholar] [CrossRef]
- Lee, M.; Balasingam, S.K.; Ko, Y.; Jeong, H.Y.; Min, B.K.; Yun, Y.J.; Jun, Y. Graphene modified vanadium pentoxide nanobelts as an efficient counter electrode for dye-sensitized solar cells. Synth. Met. 2016, 215, 110–115. [Google Scholar] [CrossRef]
- Balasingam, S.K.; Jun, Y. Recent Progress on Reduced Graphene Oxide-Based Counter Electrodes for Cost-Effective Dye-Sensitized Solar Cells. Isr. J. Chem. 2015, 55, 955–965. [Google Scholar] [CrossRef]
- Zhao, J.; Yang, Y.; Cui, C.; Hu, H.; Zhang, Y.; Xu, J.; Lu, B.; Xu, L.; Pan, J.; Tang, W. TiO2 hollow spheres as light scattering centers in TiO2 photoanodes for dye-sensitized solar cells: The effect of sphere diameter. J. Alloys Compd. 2016, 663, 211–216. [Google Scholar] [CrossRef]
- Sutanto, B.; Arifin, Z.; Suyitno; Hadi, S.; Pranoto, L.M.; Agustia, Y.V. Enhancement ZnO nanofiber as semiconductor for dye-sensitized solar cells by using Al doped. AIP Conf. Proc. 2016. [Google Scholar] [CrossRef]
- Syu, Y.K.; Tingare, Y.; Lin, S.Y.; Yeh, C.Y.; Wu, J.J. Porphyrin Dye-Sensitized Zinc Oxide Aggregated Anodes for Use in Solar Cells. Molecules 2016, 21, 1025. [Google Scholar] [CrossRef] [PubMed]
- Ooyama, Y.; Harima, Y. Photophysical and electrochemical properties, and molecular structures of organic dyes for dye-sensitized solar cells. ChemPhysChem 2012, 13, 4032–4080. [Google Scholar] [CrossRef] [PubMed]
- Ito, S.; Murakami, T.N.; Comte, P.; Liska, P.; Grätzel, C.; Nazeeruddin, M.K.; Grätzel, M. Fabrication of thin film dye sensitized solar cells with solar to electric power conversion efficiency over 10%. Thin Solid Films 2008, 516, 4613–4619. [Google Scholar] [CrossRef]
- Bonomo, M.; Dini, D. Nanostructured p-type semiconductor electrodes and photoelectrochemistry of their reduction processes. Energies 2016, 9, 373. [Google Scholar] [CrossRef]
- Kim, H.K.; Utashiro, K.; Abe, Y.; Kawamura, M. Structural Properties of Zinc Oxide Nanorods Grown on Al-Doped Zinc Oxide Seed Layer and Their Applications in Dye-Sensitized Solar Cells. Materials 2014, 7, 2522–2533. [Google Scholar] [CrossRef] [PubMed]
- Kim, A.Y.; Kang, M. High efficiency dye-sensitized solar cells based on multilayer stacked TiO2 nanoparticle/nanotube photoelectrodes. J. Photochem. Photobiol. A Chem. 2012, 233, 20–23. [Google Scholar] [CrossRef]
- Ko, K.W.; Lee, M.; Sekhon, S.S.; Balasingam, S.K.; Han, C.H.; Jun, Y. Efficiency Enhancement of Dye-Sensitized Solar Cells by the Addition of an Oxidizing Agent to the TiO2 Paste. ChemSusChem 2013, 6, 2117–2123. [Google Scholar] [CrossRef] [PubMed]
- Bakhshayesh, A.M.; Azadfar, S.S.; Bakhshayesh, N. Multi-layered architecture of electrodes containing uniform TiO2 aggregates layers for improving the light scattering efficiency of dye-sensitized solar cells. J. Mater. Sci. Mater. Electron. 2015, 26, 9808–9816. [Google Scholar] [CrossRef]
- Hussein, A.K. Applications of nanotechnology in renewable energies—A comprehensive overview and understanding. Renew. Sustain. Energy Rev. 2015, 42, 460–476. [Google Scholar] [CrossRef]
- Sutanto, B.; Arifin, Z. Suyitno Structural characterisation and optical properties of aluminum-doped zinc oxide nanofibers synthesized by electrospinning. J. Eng. Sci. Technol. 2018, 13, 715–724. [Google Scholar]
- Yun, J.H.; Wang, L.; Amal, R.; Ng, H.Y. One-dimensional TiO2 nanostructured photoanodes: From dye-sensitised solar cells to perovskite solar cells. Energies 2016, 9, 12. [Google Scholar] [CrossRef]
- Dao, V.D.; Choi, H.S. Highly-Efficient Plasmon-Enhanced Dye-Sensitized Solar Cells Created by Means of Dry Plasma Reduction. Nanomaterials 2016, 6, 70. [Google Scholar] [CrossRef] [PubMed]
- Baglio, V.; Girolamo, M.; Antonucci, V.; Aricò, A.S. Influence of TiO2 film thickness on the electrochemical behaviour of dye-sensitized solar cells. Int. J. Electrochem. Sci. 2011, 6, 3375–3384. [Google Scholar]
- Yang, L.; Leung, W.W.F. Optimizing scattering layer for efficient dye sensitized solar cells based on TiO2 nanofiber. Polyhedron 2014, 82, 7–11. [Google Scholar] [CrossRef]
- Nath, N.C.D.; Jung, I.S.; Kim, S.-W.; Lee, J.-J. Optimization of hierarchical light-scattering layers in TiO2 photoelectrodes of dye-sensitized solar cells. Sol. Energy 2016, 134, 399–405. [Google Scholar] [CrossRef]
- Lee, J.H.; Ahn, K.; Kim, S.H.; Kim, J.M.; Jeong, S.Y.; Jin, J.S.; Jeong, E.D.; Cho, C.R. Thickness effect of the TiO2 nanofiber scattering layer on the performance of the TiO2 nanoparticle/TiO2 nanofiber-structured dye-sensitized solar cells. Curr. Appl. Phys. 2014, 14, 856–861. [Google Scholar] [CrossRef]
- Rui, Y.; Wang, L.; Zhao, J.; Wang, H.; Li, Y.; Zhang, Q.; Xu, J. Template-free synthesis of hierarchical TiO2 hollow microspheres as scattering layer for dye-sensitized solar cells. Appl. Surf. Sci. 2016, 369, 170–177. [Google Scholar] [CrossRef]
- Xie, F.; Li, Y.; Dou, J.; Wu, J.; Wei, M. Facile synthesis of SnO2 coated urchin-like TiO2 hollow microspheres as efficient scattering layer for dye-sensitized solar cells. J. Power Sources 2016, 336, 143–149. [Google Scholar] [CrossRef]
- Chava, R.K.; Lee, W.M.; Oh, S.Y.; Jeong, K.U.; Yu, Y.T. Improvement in light harvesting and device performance of dye sensitized solar cells using electrophoretic deposited hollow TiO2 NPs scattering layer. Sol. Energy Mater. Sol. Cells 2017, 161, 255–262. [Google Scholar] [CrossRef]
- Wang, G.; Xiao, W.; Yu, J. High-efficiency dye-sensitized solar cells based on electrospun TiO2 multi-layered composite film photoanodes. Energy 2015, 86, 196–203. [Google Scholar] [CrossRef]
- Hung, I.-M.; Bhattacharjee, R. Effect of photoanode design on the photoelectrochemical performance of dye-sensitized solar cells based on SnO2 nanocomposite. Energies 2016, 9, 641. [Google Scholar] [CrossRef]
- Lim, J.; Lee, M.; Balasingam, S.K.; Kim, J.; Kim, D.; Jun, Y. Fabrication of panchromatic dye-sensitized solar cells using pre-dye coated TiO2 nanoparticles by a simple dip coating technique. RSC Adv. 2013, 3, 4801–4805. [Google Scholar] [CrossRef]
- Yin, Y.T.; Chen, L.Y. Promising surface modification strategies for high power conversion efficiency dye sensitized solar cell based on ZnO composite photoanode. Energy Procedia 2014, 61, 2042–2045. [Google Scholar] [CrossRef]
- Zhu, L.; Zhao, Y.L.; Lin, X.P.; Gu, X.Q.; Qiang, Y.H. The effect of light-scattering layer on the performance of dye-sensitized solar cell assembled using TiO2 double-layered films as photoanodes. Superlattices Microstruct. 2014, 65, 152–160. [Google Scholar] [CrossRef]
- Arifin, Z.; Soeparman, S.; Widhiyanuriyawan, D.; Purwanto, A. Dharmanto Synthesis, characterisation, and fabrication hollow fibres of Zn-doped TiO2 for dye-sensitized solar cells. J. Eng. Sci. Technol. 2017, 12, 1227–1239. [Google Scholar]
- Suyitno, S.; Purwanto, A.; Hidayat, R.L.L.G.; Sholahudin, I.; Yusuf, M.; Huda, S.; Arifin, Z. Fabrication and characterization of zinc oxide-based electrospun nanofibers for mechanical energy harvesting. J. Nanotechnol. Eng. Med. 2014, 5, 11002–11006. [Google Scholar] [CrossRef]
- Li, D.; Xia, Y. Electrospinning of nanofibers: Reinventing the wheel? Adv. Mater. 2004, 16, 1151–1170. [Google Scholar] [CrossRef]
- Musavi Gharavi, P.S.; Mohammadi, M.R. The improvement of light scattering of dye-sensitized solar cells aided by a new dandelion-like TiO2 nanostructures. Sol. Energy Mater. Sol. Cells 2015, 137, 113–123. [Google Scholar] [CrossRef]
- Ito, S.; Nazeeruddin, M.K.; Zakeeruddin, S.M.; Péchy, P.; Comte, P.; Grätzel, M.; Mizuno, T.; Tanaka, A.; Koyanagi, T. Study of dye-sensitized solar cells by scanning electron micrograph observation and thickness optimization of porous TiO2 electrodes. Int. J. Photoenergy 2009, 2009, 1–8. [Google Scholar] [CrossRef]
- Gupta, D.; Mukhopadhyay, S.; Narayan, K.S. Fill factor in organic solar cells. Sol. Energy Mater. Sol. Cells 2010, 94, 1309–1313. [Google Scholar] [CrossRef]
- Dou, Y.; Wu, F.; Fang, L.; Liu, G.; Mao, C.; Wan, K.; Zhou, M. Enhanced performance of dye-sensitized solar cell using Bi2Te3 nanotube/ZnO nanoparticle composite photoanode by the synergistic effect of photovoltaic and thermoelectric conversion. J. Power Sources 2016, 307, 181–189. [Google Scholar] [CrossRef]









| Photoanode | VOC (V) | JSC (mA/cm2) | Fill Factor (%) | Efficiency (%) | Dye Loading (mol/cm2) |
|---|---|---|---|---|---|
| 20 µm NP | 0.553 | 5.61 | 41.64 | 1.293 | 8.96 × 10−8 |
| 15 µm NP-5 µm HF | 0.566 | 15.81 | 34.91 | 3.122 | 8.17 × 10−8 |
| 10 µm NP-10 µm HF | 0.569 | 12.20 | 39.34 | 2.731 | 6.46 × 10−8 |
| 5 µm NP-15 µm HF | 0.562 | 9.08 | 32.11 | 1.636 | 5.84 × 10−8 |
| 20 µm HF | 0.612 | 2.94 | 49.55 | 0.890 | 4.65 × 10−8 |
© 2018 by the authors. Licensee MDPI, Basel, Switzerland. This article is an open access article distributed under the terms and conditions of the Creative Commons Attribution (CC BY) license (http://creativecommons.org/licenses/by/4.0/).
Share and Cite
Arifin, Z.; Suyitno, S.; Hadi, S.; Sutanto, B. Improved Performance of Dye-Sensitized Solar Cells with TiO2 Nanoparticles/Zn-Doped TiO2 Hollow Fiber Photoanodes. Energies 2018, 11, 2922. https://doi.org/10.3390/en11112922
Arifin Z, Suyitno S, Hadi S, Sutanto B. Improved Performance of Dye-Sensitized Solar Cells with TiO2 Nanoparticles/Zn-Doped TiO2 Hollow Fiber Photoanodes. Energies. 2018; 11(11):2922. https://doi.org/10.3390/en11112922
Chicago/Turabian StyleArifin, Zainal, Suyitno Suyitno, Syamsul Hadi, and Bayu Sutanto. 2018. "Improved Performance of Dye-Sensitized Solar Cells with TiO2 Nanoparticles/Zn-Doped TiO2 Hollow Fiber Photoanodes" Energies 11, no. 11: 2922. https://doi.org/10.3390/en11112922
APA StyleArifin, Z., Suyitno, S., Hadi, S., & Sutanto, B. (2018). Improved Performance of Dye-Sensitized Solar Cells with TiO2 Nanoparticles/Zn-Doped TiO2 Hollow Fiber Photoanodes. Energies, 11(11), 2922. https://doi.org/10.3390/en11112922

