Characterization and Consecutive Prediction of Pore Structures in Tight Oil Reservoirs
Abstract
:1. Introduction
2. Methods
2.1. Samples and Experiments
2.2. Prediction Method of Pore Structure by NMR Logs
3. Results and Discussion
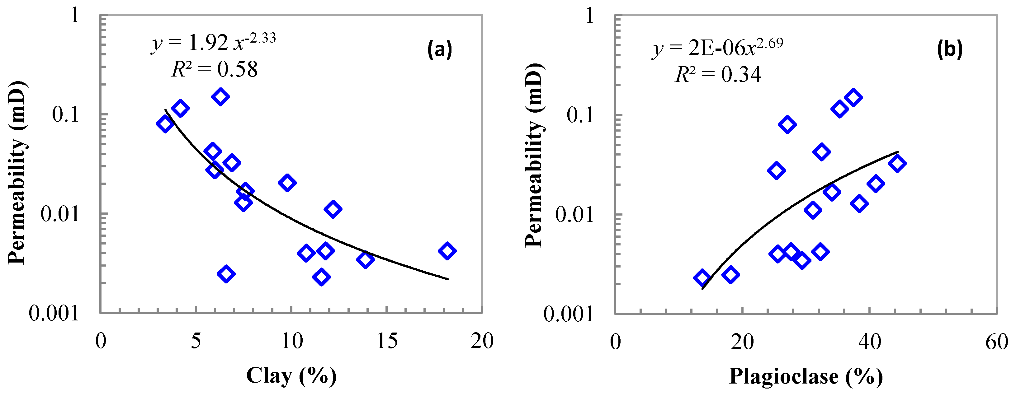
3.1. Mineralogical Compositions
3.2. Pore Types
3.3. Petrophysiccal Properties and Mercury Injection Capillary Curves
3.4. Prediction by NMR Logs
3.4.1. Model Verification
3.4.2. Case Study
3.4.3. Overall Pore Structure Characteristics of the Studied Formation
4. Conclusions
- According to the SEM images, the main pores of the tight oil reservoirs in the Lucaogou Formation are secondary pores. These pores can be divided into four categories: intragranular dissolution, intergranular dissolution, micro fractures and clay pores.
- The displacement pressure values of the studied samples ranges from 0.83 to 13.01 MPa with an average of 5.06 MPa. Saturation median pressure varied from 4.96 to 83.02 MPa with an average of 31.47 MPa. The mean capillary radius was measured from 0.02 to 0.26 μm.
- The capillary pressure curves are divided into three types: displacement pressure <2 MPa, 2–5 MPa and >5 MPa. Type I rocks have the smallest displacement pressures while Type III the highest displacement pressures and lowest maximum mercury intrusion saturation. The pores of type I rocks are mainly dissolution pores, and type III are clay pores.
- The T2 distributions of “as-received” and water-saturated state samples were measured. The model for predicting capillary pressure curves with NMR T2 distribution was verified by two state T2 distributions measurements. This model was applied to well logs where the estimated pore structure parameters by NMR T2 distribution were in a good agreement with core analysis.
- The predicted capillary pressure curves from NMR logging data of the fourteen wells in the studied area were categorized based on the proposed model. Types I, II, and III of the upper sweet spot reservoir account for 25.2%, 33.9%, and 40.9%, while in the lower sweet spot, 17.2%, 24.1%, and 58.6% was calculated respectively. The pores smaller than 12 nm in the lower sweet spot reservoirs are more abundant than the upper sweet spot, indicating the pore structure of the lower sweet spot reservoir is more complicated than that in the upper sweet spot reservoir.
Author Contributions
Acknowledgments
Conflicts of Interest
References
- Miller, B.A.; Paneitz, J.M.; Mullen, M.J.; Meijs, R.; Tunstall, K.M.; Garcia, M. The successful application of a compartmental completion technique used to isolate multiple hydraulic-fracture treatments in horizontal Bakken Shale wells in North Dakota. In Proceedings of the SPE Annual Technical Conference and Exhibition, Denver, CO, USA, 21–24 September 2008. SPE-116469-MS. [Google Scholar]
- Jia, C.Z.; Zou, C.N.; Li, J.Z.; Li, D.H.; Zheng, M. Assessment criteria, main types, basic features and resource prospects of the tight oil in China. Acta Pet. Sin. 2012, 33, 343–350. [Google Scholar]
- Li, C.; Ostadhassan, M.; Gentzis, T.; Kong, L.; Carvajal-Ortiz, H.; Bubach, B. Nanomechanical characterization of organic matter in the Bakken formation by microscopy-based method. Mar. Pet. Geol. 2018, 96, 128–138. [Google Scholar] [CrossRef]
- Wang, L.; Zhao, N.; Sima, L.; Meng, F.; Guo, Y. Pore Structure Characterization of the Tight Reservoir: Systematic Integration of Mercury Injection and Nuclear Magnetic Resonance. Energy Fuel 2018, 32, 7471–7484. [Google Scholar] [CrossRef]
- Zou, C.N.; Zhu, R.K.; Wu, S.T.; Yang, Z. Types, characteristics, genesis and prospects of conventional and unconventional hydrocarbon accumulations: Taking tight oil and tight gas in China as an instance. Acta Pet. Sin. 2012, 33, 173–187. [Google Scholar]
- Ramakrishna, S.; Balliet, R.; Miller, D.; Sarvotham, S.; Merkel, D. Formation evaluation in the Bakken Complex using laboratory core data and advanced logging technologies. In Proceedings of the SPWLA 51st Annual Logging Symposium, Perth, Australia, 19–23 June 2010. SPWLA-2010-74900. [Google Scholar]
- Wood, D.A.; Hazra, B. Characterization of organic-rich shales for petroleum exploration & exploitation: A review—Part 1: Bulk properties, multi-scale geometry and gas adsorption. J. Earth Sci. 2017, 28, 739–757. [Google Scholar] [CrossRef]
- Wood, D.A.; Hazra, B. Characterization of organic-rich shales for petroleum exploration & exploitation: A review—Part 3: Applied geomechanics, petrophysics and reservoir modeling. J. Earth Sci. 2017, 28, 739–757. [Google Scholar] [CrossRef]
- Ge, X.; Fan, Y.; Li, J.; Zahid, M.A. Pore structure characterization and classification using multifractal theory—An application in Santanghu basin of western China. J. Petrol. Sci. Eng. 2015, 127, 297–304. [Google Scholar] [CrossRef]
- Kong, L.; Ostadhassan, M.; Li, C.; Tamimi, N. Pore characterization of 3D-printed gypsum rocks: A comprehensive approach. J. Mater. Sci. 2018, 53, 5063–5078. [Google Scholar] [CrossRef]
- Lai, J.; Wang, G.; Wang, Z.; Chen, J.; Pang, X.; Wang, S.; Zhou, Z.; He, Z.; Qin, Z.; Fan, X. A review on pore structure characterization in tight sandstones. Earth Sci. Rev. 2018, 177, 436–457. [Google Scholar] [CrossRef]
- Xia, Y.; Cai, J.; Wei, W.; Hu, X.; Wang, X.; Ge, X. A new method for calculating fractal dimensions of porous media based on pore size distribution. Fractals 2018, 26. [Google Scholar] [CrossRef]
- Kuang, L.C.; Hu, W.X.; Wang, X.L.; Wu, H.G.; Wang, X.L. Research of the tight oil reservoir in the Lucaogou Formation in Jimusar Sag: Analysis of lithology and porosity characteristics. Geol. J. China Univ. 2013, 19, 529–535. [Google Scholar]
- Zhang, T.; Fan, G.; Li, Y.; Yu, C. Pore-throat characterization of tight oil reservoir in the Lucaogou formation, Jimusar sag. CT Theor. Appl. 2016, 25, 425–434. [Google Scholar]
- Zhou, P. Characterization and Evaluation of Tight Oil Reservoirs of Permian Lucaogou Formation in Jimusar Sag, Junggar Basin. Master’s Thesis, Northwest University, Xi’an, China, 2016. [Google Scholar]
- Su, Y.; Zha, M.; Ding, X. Pore type and pore size distribution of tight reservoirs in the Permian Lucaogou Formation of the Jimsar Sag, Junggar Basin, NW China. Mar. Pet. Geol. 2017, 89, 761–774. [Google Scholar] [CrossRef]
- Zhao, P.; Sun, Z.; Luo, X.; Wang, Z.; Mao, Z.; Wu, Y.; Xia, P. Study on the response mechanisms of nuclear magnetic resonance (NMR) log in tight oil reservoirs. Chin. J. Geophys. 2016, 29, 1927–1937. [Google Scholar] [CrossRef]
- Zhao, P.; Wang, Z.; Sun, Z.; Cai, J.; Wang, L. Investigation on the pore structure and multifractal characteristics of tight oil reservoirs using NMR measurements: Permian Lucaogou Formation in Jimusaer Sag, Junggar Basin. Mar. Pet. Geol. 2017, 86, 1067–1081. [Google Scholar] [CrossRef]
- Wang, X.; Hou, J.; Liu, Y.; Zhao, P.; Ma, K.; Wang, D.; Ren, X.; Yan, L. Overall PSD and fractal characteristics of tight oil reservoirs: A case study of Lucaogou formation in Junggar Basin, China. Fractals 2019, 27. [Google Scholar] [CrossRef]
- Loren, J.D.; Robinson, J.D. Relations between pore size fluid and matrix properties, and NML measurements. SPE J. 1970, 10, 50–58. [Google Scholar] [CrossRef]
- Kenyon, W.E. Petrophysical principles of applications of NMR logging. Log Anal. 1997, 38, 21–40. [Google Scholar]
- Volokitin, Y.; Looyestijn, W. A practical approach to obtain primary drainage capillary pressure curves from NMR core and log data. Petrophysics 2001, 42, 334–343. [Google Scholar]
- Volokitin, Y.; Looyestijn, W. Constructing capillary pressure curve from NMR log data in the presence of hydrocarbons. In Proceedings of the SPWLA 40th Annual Logging Symposium, Oslo, Norway, 30 May–3 June 1999. SPWLA-1999-KKK. [Google Scholar]
- Liu, T.; Wang, S.; Fu, R.; Li, Y.; Luo, M. Analysis of rock pore throat structure with NMR spectra. Oil Geophys. Prospect. 2003, 38, 328–333. [Google Scholar]
- Grattoni, C.A.; Al-Mahrooqi, S.H.; Moss, A.K.; Muggeridge, A.H.; Jing, X.D. An improved technique for deriving drainage capillary pressure from NMR T2 Distributions. In Proceedings of the International Symposium of the Society of Core Analysis, Pau, France, 21–24 September 2003. SCA2003-25. [Google Scholar]
- He, Y.; Mao, Z.; Xiao, L.; Ren, X. An improved method of using NMR T2 distribution to evaluate pore size distribution. Chin. J. Geophys. 2005, 48, 373–378. [Google Scholar]
- He, Y.; Mao, Z.; Xiao, L.; Zhang, Y. A new method to obtain capillary pressure curve using NMR T2 distribution. J. Jilin Univ. (Earth Sci. Ed.) 2005, 35, 177–181. [Google Scholar]
- Xiao, L.; Mao, Z.; Wang, Z.; Jin, Y. Application of NMR logs in tight gas reservoirs for formation evaluation: A case study of Sichuan basin in China. J. Petrol. Sci. Eng. 2012, 81, 182–195. [Google Scholar] [CrossRef]
- Hu, F.; Zhou, C.; Li, C.; Xu, H.; Zhou, F.; Si, Z. Water spectrum method of NMR logging for identifying fluids. Petrol. Explor. Dev. 2016, 43, 244–252. [Google Scholar] [CrossRef]
- Ge, X.; Fan, Y.; Liu, J.; Zhang, L.; Han, Y.; Xing, D. An improved method for permeability estimation of the bioclastic limestone reservoir based on NMR data. J. Magn. Reson. 2017, 283, 96–109. [Google Scholar] [CrossRef] [PubMed]
- Xiao, L.; Mao, Z.; Li, J.; Yu, H. Effect of hydrocarbon on evaluating formation pore structure using nuclear magnetic resonance (NMR) logging. Fuel 2018, 216, 199–207. [Google Scholar] [CrossRef]
- Coates, G.R.; Xiao, L.Z.; Prammer, M.G. NMR Logging Principles and Applications; Gulf Publishing Company: Houston, TX, USA, 1999. [Google Scholar]
- Dunn, K.J.; Bergman, D.J.; Latorraca, G.A. Nuclear Magnetic Resonance Petrophysical and Logging Application; Elservier: Amsterdam, The Netherlands, 2002. [Google Scholar]
- Daigle, H.; Johnson, A. Combining mercury intrusion and nuclear magnetic resonance measurements using percolation theory. Transp. Porous Med. 2016, 111, 669–679. [Google Scholar] [CrossRef]
- Zhao, P. Study on the NMR Log Responses and Models for Estimating Petrophysical Parameters from Well Logs in Tight Oil Reservoirs. Ph.D. Thesis, China University of Petroleum, Beijing, China, 2016. [Google Scholar]
- Cao, Z.; Liu, G.; Xiang, B.; Wang, P.; Niu, G.; Niu, Z.; Li, C.; Wang, C. Geochemical Characteristics of crude oil from a tight oil reservoir in the Lucaogou Formation, Jimusar Sag, Junggar, Basin. AAPG Bull. 2017, 101, 39–72. [Google Scholar] [CrossRef]
- Kuang, L.C.; Tang, Y.; Lei, D.W.; Chang, Q.S.; Ouyang, M.; Hou, L.H.; Liu, D.G. Formation conditions and exploration potential of tight oil in the Permian saline lacustrine dolomitic rock, Junggar Basin, NW China. Petrol. Explor. Dev. 2012, 39, 657–667. [Google Scholar] [CrossRef]
- Butler, J.P.; Reeds, J.A.; Dawson, S.V. Estimating solutions of first kind integral equations with nonnegative constraints and optimal smoothing. SIAM. J. Numer. Anal. 1981, 18, 381–397. [Google Scholar] [CrossRef]
- Washburn, E.D. The dynamics of capillary flow. Phys. Rev. 1921, 17, 273–283. [Google Scholar] [CrossRef]
- Latour, L.L.; Kleinberg, R.L.; Sezginer, A. Nuclear magnetic resonance properties of rocks at elevated temperatures. J. Colloid Interface Sci. 1994, 150, 535–548. [Google Scholar] [CrossRef]
- Looyestijn, W.J.; Hofman, J.P. Wettability determination by NMR. SPE Reserv. Eval. Eng. 2006, 6, 146–153. [Google Scholar] [CrossRef]
- Yang, S.L.; Wei, J.Z. Petrophysics; Petroleum Industry Press: Beijing, China, 2004; pp. 209–233. [Google Scholar]











| No. | Clay | Quartz | K-Feldspar | Plagioclase | Calcite | Dolomite | Pyrite | Siderite |
|---|---|---|---|---|---|---|---|---|
| 1 | 4.2 | 15.9 | 2.2 | 35.3 | 17.5 | 24.9 | 0.0 | 0.0 |
| 2 | 6.3 | 21.4 | 7.9 | 37.5 | 1.0 | 18.9 | 0.0 | 7.0 |
| 3 | 3.4 | 13.0 | 6.1 | 27.1 | 8.7 | 41.7 | 0.0 | 0.0 |
| 4 | 9.8 | 16.5 | 3.9 | 41.0 | 13.3 | 15.0 | 0.0 | 0.5 |
| 5 | 5.9 | 15.8 | 4.9 | 32.5 | 0.5 | 40.1 | 0.3 | 0.0 |
| 6 | 7.5 | 16.3 | 5.0 | 38.4 | 22.9 | 9.9 | 0.0 | 0.0 |
| 7 | 6.0 | 15.6 | 4.4 | 25.4 | 0.0 | 48.6 | 0.0 | 0.0 |
| 8 | 6.9 | 17.8 | 5.4 | 44.4 | 0.0 | 23.6 | 0.0 | 1.9 |
| 9 | 12.2 | 24.7 | 4.5 | 31.1 | 0.0 | 26.5 | 1.0 | 0.0 |
| 10 | 13.9 | 23.2 | 3.9 | 29.4 | 21.9 | 7.7 | 0.0 | 0.0 |
| 11 | 18.2 | 16.4 | 4.7 | 27.7 | 0.0 | 32.5 | 0.5 | 0.0 |
| 12 | 10.8 | 20.3 | 3.8 | 25.6 | 0.0 | 38.5 | 1.0 | 0.0 |
| 13 | 11.6 | 22.6 | 2.5 | 13.7 | 0.0 | 49.4 | 0.0 | 0.2 |
| 14 | 7.6 | 32.0 | 3.9 | 34.1 | 22.0 | 0.0 | 0.4 | 0.0 |
| 15 | 11.8 | 18.3 | 5.8 | 32.3 | 0.0 | 31.3 | 0.0 | 0.5 |
| 16 | 6.6 | 21.0 | 1.8 | 18.2 | 5.8 | 41.2 | 5.4 | 0.0 |
| Ave. | 8.9 | 19.4 | 4.4 | 30.9 | 7.1 | 28.2 | 0.5 | 0.6 |
| No. | Porosity | Permeability | Pd | P50 | Smax | Rm | Type |
|---|---|---|---|---|---|---|---|
| (%) | (mD) | (MPa) | (MPa) | (%) | (μm) | ||
| 1 | 14.22 | 0.1142 | 0.83 | 6.32 | 90.93 | 0.26 | I |
| 2 | 16.02 | 0.1487 | 1.19 | 6.51 | 99.25 | 0.19 | I |
| 3 | 15.19 | 0.0799 | 1.28 | 4.96 | 96.99 | 0.18 | I |
| 4 | 14.14 | 0.0203 | 1.72 | 11.46 | 94.57 | 0.13 | I |
| 5 | 15.86 | 0.0424 | 2.35 | 9.64 | 98.16 | 0.10 | II |
| 6 | 13.43 | 0.0128 | 3.19 | 15.09 | 94.38 | 0.07 | II |
| 7 | 13.63 | 0.0275 | 3.38 | 14.97 | 95.57 | 0.07 | II |
| 8 | 13.63 | 0.0323 | 3.38 | 16.94 | 93.09 | 0.07 | II |
| 9 | 14.59 | 0.0110 | 4.69 | 19.09 | 96.59 | 0.05 | II |
| 10 | 7.38 | 0.0034 | 4.69 | 19.18 | 91.71 | 0.05 | II |
| 11 | 8.26 | 0.0042 | 7.03 | 39.8 | 92.95 | 0.03 | III |
| 12 | 10.3 | 0.0040 | 6.13 | 60.23 | 89.43 | 0.03 | III |
| 13 | 8.28 | 0.0023 | 11.18 | 83.02 | 82.56 | 0.02 | III |
| 14 | 20.1 | 0.0168 | 10.42 | 66.27 | 76.68 | 0.02 | III |
| 15 | 10.23 | 0.0042 | 6.55 | 63.48 | 69.55 | 0.03 | III |
| 16 | 10.0 | 0.0025 | 13.01 | 66.6 | 76.98 | 0.02 | III |
| Ave. | 12.83 | 0.01 | 5.06 | 31.47 | 89.96 | 0.08 |
© 2018 by the authors. Licensee MDPI, Basel, Switzerland. This article is an open access article distributed under the terms and conditions of the Creative Commons Attribution (CC BY) license (http://creativecommons.org/licenses/by/4.0/).
Share and Cite
Xu, Z.; Zhao, P.; Wang, Z.; Ostadhassan, M.; Pan, Z. Characterization and Consecutive Prediction of Pore Structures in Tight Oil Reservoirs. Energies 2018, 11, 2705. https://doi.org/10.3390/en11102705
Xu Z, Zhao P, Wang Z, Ostadhassan M, Pan Z. Characterization and Consecutive Prediction of Pore Structures in Tight Oil Reservoirs. Energies. 2018; 11(10):2705. https://doi.org/10.3390/en11102705
Chicago/Turabian StyleXu, Zhaohui, Peiqiang Zhao, Zhenlin Wang, Mehdi Ostadhassan, and Zhonghua Pan. 2018. "Characterization and Consecutive Prediction of Pore Structures in Tight Oil Reservoirs" Energies 11, no. 10: 2705. https://doi.org/10.3390/en11102705
APA StyleXu, Z., Zhao, P., Wang, Z., Ostadhassan, M., & Pan, Z. (2018). Characterization and Consecutive Prediction of Pore Structures in Tight Oil Reservoirs. Energies, 11(10), 2705. https://doi.org/10.3390/en11102705

