Wave Energy Resource Assessment off the Coast of China around the Zhoushan Islands
Abstract
:1. Introduction
2. Data and Their Verification
3. Wave Energy Analysis in Offshore Waters
3.1. Temporal and Spatial Distributions of the Wave Climate
3.1.1. Temporal and Spatial Distributions of the Significant Wave Height
3.1.2. Temporal and Spatial Distributions of the Energy Period
3.2. Calculation Method for the Wave Power Density
3.3. Temporal and Spatial Distributions of the Wave Power Density
3.4. Stability of Wave Energy
3.5. Discussion on Wave Energy in Offshore Waters
4. Division of Key Wave Energy Regions in Relatively Nearshore Waters
4.1. Division Criterion
- (1)
- Nine small continuous areas that were 0.5 × 0.5 in size were selected in the relatively nearshore waters of the Zhoushan Islands, which are shown in Figure 8. First, the annual average Pw and annual average TE of every grid were calculated for each small area. Then, the results of every grid in each small area were averaged, providing the annual average Pw and the annual average TE of each small area. Finally, the TWE for each small area was calculated.
- (2)
- The comprehensive division coefficient (CDC) was defined as follows:When the CDC is higher, wave energy is abundant and the potential of development is higher.
- (3)
- Five grades were established according to the CDC. The general criterion of the regional division is shown in Table 3. The potential of the wave energy increases from levels 1 to 5, which indicate poor, available, good, better and best potential. The ranges of each index in Table 3 exhibit different value ranges for the different areas. The threshold value a-c can be determined by equal division as follows (with as an example):Then:where is the maximum annual average and is the minimum annual average .The method for determining the other threshold values is similar to that of .
- (4)
- Thresholds were calculated for each index, as shown in Table 4.
- (5)
- The criterion of the regional division was established. This criterion is suitable for the relatively nearshore waters of the Zhoushan Islands. The results are shown in Table 5.
4.2. Division Results
5. Wave Energy Analysis in the Key Locations in the Relatively Nearshore Waters
5.1. Selecting Key Locations in the Relatively Nearshore Waters
5.2. Directionality of the Wave Energy’s Propagation
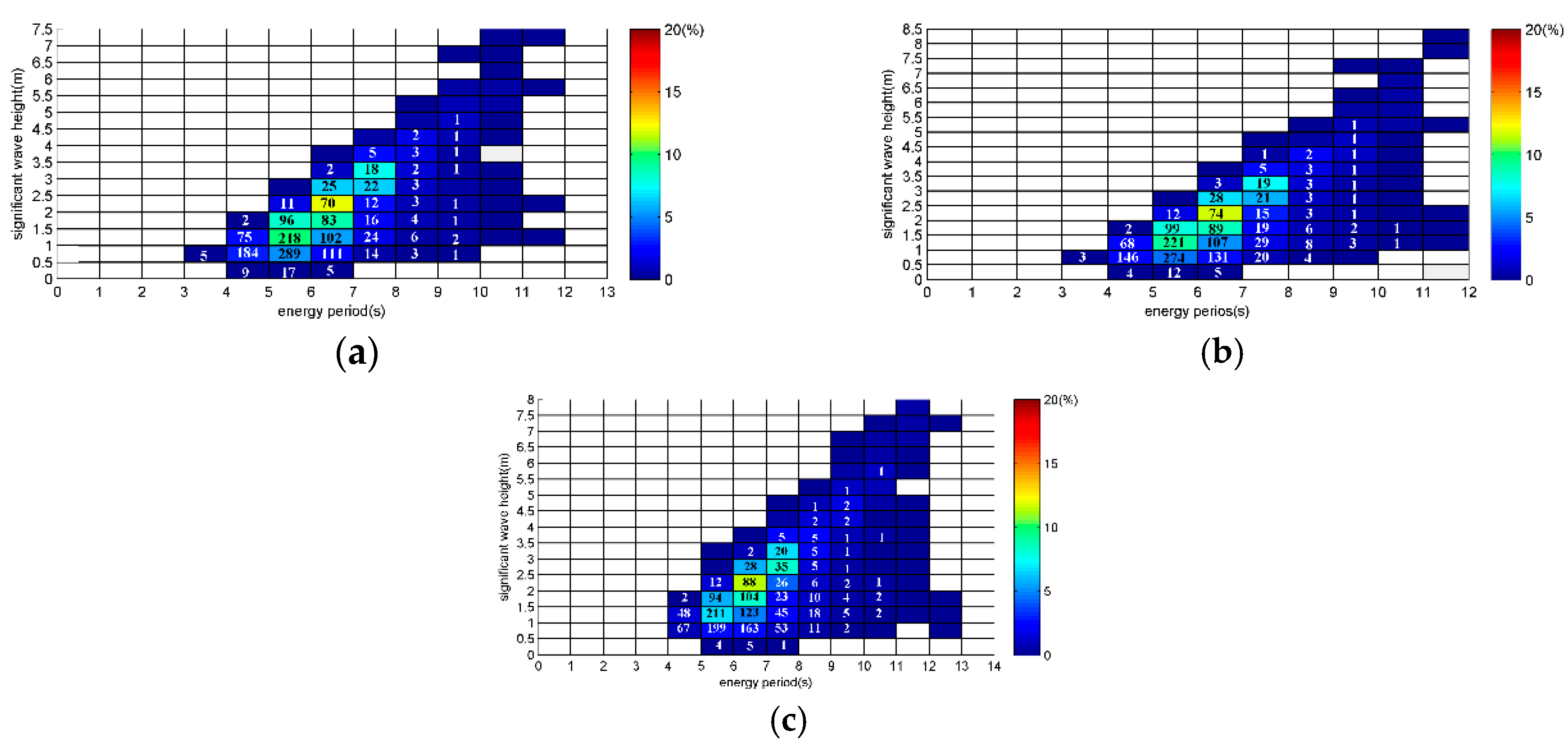
5.3. Distribution of the Wave Energy Density According to the Wave Condition
5.4. Inter-Annual Variation in the Total Wave Energy
5.5. Survivability and Use Ratio for Wave Energy Development
5.6. Performance Assessment of Wave Energy Converters
5.7. Discussion for Wave Energy in Key Locations in the Relatively Nearshore Waters
6. Conclusions
- (1)
- The most suitable wave energy development areas in the offshore waters of the Zhoushan Islands are the eastern relatively nearshore sea areas of the Zhoushan Islands. Wave farms are more difficult to construct in offshore deep water areas and the cost of energy transmission is higher. Therefore, the east relatively nearshore sea areas of the Zhoushan Islands are a better choice for wave energy development. Although wave energy is not abundant in this area compared to global wave energy resources. Nonetheless, the wave energy here is still usable and stable and can serve as a suitable ocean renewable energy for the energy supply of the Zhoushan Islands.
- (2)
- The direction of the dominant wave power under operational and extreme sea states obtained in this paper is interesting to the operation of WECs and the developers of wave energy. The dominant wave conditions were all for a significant wave height of 0.5–4.0 m and an energy period of 4–9 s, and the maximum wave power density could reach 385.30 kW/m. These results can provide references for the design of new suitable WECs. Among existing WECs, there is no suitable state of the art WECs for cost efficient wave energy conversion in 3 key locations. The best location for wave energy development is located in the relatively nearshore waters to the southeast of the city of Taizhou (Location S3).
Acknowledgments
Author Contributions
Conflicts of Interest
References
- Cornett, A.M. (Ed.) A global wave energy resource assessment. In Proceedings of the 18th International Conference on Offshore and Polar Engineering, Vancouver, BC, Canada, 6–11 July 2008. [Google Scholar]
- Barstow, S.; Mork, G.; Lonseth, L.; Petter, M.J. (Eds.) WorldWaves wave energy resource assessments from the deep ocean to the coast. In Proceedings of the 8th European Wave and Tidal Energy Conference; Uppsala Universitet: Uppsala, Sweden, 2009. [Google Scholar]
- Mork, G.; Barstow, S.; Kabuth, A.; Pontes, M.T. (Eds.) Assessing the global wave energy potential. In Proceedings of the ASME 2010 29th International Conference on Ocean, Offshore and Arctic Engineering, Shanghai, China, 6–11 June 2010. [Google Scholar]
- Arinaga, R.A.; Cheung, K.F. Atlas of global wave energy from 10 years of reanalysis and hindcast data. Renew. Energy 2012, 39, 49–64. [Google Scholar] [CrossRef]
- Zheng, C.W.; Shao, L.T.; Shi, W.L.; Su, Q.; Lin, G.; Li, X.Q. An assessment of global ocean wave energy resources over the last 45 a. Acta Oceanol. Sin. 2014, 33, 92–101. [Google Scholar] [CrossRef]
- Pontes, M.T.; Athanassoulis, G.A.; Brastow, S.; Cavaleri, L.; Holmes, B.; Mollison, D.; Oliveira-Pires, H. An atlas of wave energy resource in Europe. J. Offshore Mech. Arct. Eng. 1996, 118, 307–309. [Google Scholar] [CrossRef]
- Pontes, M.T. Assessing the European wave energy resource. J. Offshore Mech. Arct. Eng. 1998, 120, 226–231. [Google Scholar] [CrossRef]
- Soares, C.G.; Bento, A.R.; Goncalves, M.; Silva, D.; Martinho, P. Numerical evaluation of the wave energy resources along the Atlantic European coast. Comput. Geosci. 2014, 71, 37–49. [Google Scholar] [CrossRef]
- Henfridsson, U.; Neimane, V.; Strand, K.; Kapper, R.; Bernhoff, H.; Danielsson, O.; Leijon, M.; Sundberg, J.; Thorburn, K.; Ericsson, E.; et al. Wave energy potential in the Baltic Sea and the Danish part of the North Sea, with reflections on the Skagerrak. Renew. Energy 2007, 32, 2069–2084. [Google Scholar] [CrossRef]
- Zheng, C.W.; Zhuang, H.; Li, X.; Li, X.Q. Wind energy and wave energy resources assessment in the East China Sea and South China Sea. Sci. China Technol. Sci. 2012, 55, 163–173. [Google Scholar] [CrossRef]
- Zheng, C.W.; Pan, J.; Li, J.X. Assessing the China Sea wind energy and wave energy resources from 1988 to 2009. Ocean Eng. 2013, 65, 39–48. [Google Scholar] [CrossRef]
- Zheng, C.W.; Li, C.Y. Variation of the wave energy and significant wave height in the China Sea and adjacent waters. Renew. Sustain. Energy Rev. 2015, 43, 381–387. [Google Scholar] [CrossRef]
- Zheng, C.W.; Li, C.Y.; Pan, J.; Liu, M.Y.; Xia, L.L. An overview of global ocean wind energy resources evaluation. Renew. Sustain. Energy Rev. 2016, 53, 1240–1251. [Google Scholar] [CrossRef]
- Kim, G.; Jeoug, W.M.; Lee, K.S.; Jun, K.; Lee, M.E. Offshore and nearshore wave energy assessment around the Korean Peninsula. Energy 2011, 36, 1460–1469. [Google Scholar] [CrossRef]
- Iglesias, G.; Carballo, R. Wave energy potential along the Death Coast (Spain). Energy 2009, 34, 1963–1975. [Google Scholar] [CrossRef]
- Iglesias, G.; Lopez, M.; Carballo, R.; Castro, A.; Fraguela, J.A.; Frigaard, P. Wave energy potential in Galicia (NW Spain). Renew. Energy 2009, 34, 2323–2333. [Google Scholar] [CrossRef]
- Iglesias, G.; Carballo, R. Offshore and inshore wave energy assessment: Asturias (N Spain). Energy 2010, 35, 1964–1972. [Google Scholar] [CrossRef]
- Iglesias, G.; Carballo, R. Wave energy resource in the Estaca de Bares area (Spain). Renew. Energy 2010, 35, 1574–1584. [Google Scholar] [CrossRef]
- Iglesias, G.; Carballo, R. Wave power for La Isla Bonita. Energy 2011, 35, 5013–5021. [Google Scholar] [CrossRef]
- Iglesias, G.; Carballo, R. Choosing the site for the first wave farm in a region: A case study in the Galician Southwest (Spain). Energy 2011, 36, 5525–5531. [Google Scholar] [CrossRef]
- Liang, B.C.; Fan, F.; Liu, F.S.; Gao, S.H.; Zuo, H.Y. 22-Year wave energy hindcast for the China East Adjacent Seas. Renew. Energy 2014, 71, 200–207. [Google Scholar] [CrossRef]
- Zheng, C.W.; Lin, G.; Shao, L.T. Wave energy resources analysis around Taiwan waters. J. Nat. Resour. 2013, 28, 1179–1186. [Google Scholar]
- Li, R.L. Research on Various Periods of Sea Waves. Master’s Thesis, Ocean University of China, Qingdao, China, 2007. [Google Scholar]
- Wan, Y.; Zhang, J.; Meng, J.M.; Wang, J. Wave energy assessment in the East China Sea and South China Sea based on ERA-Interim high resolution data. Acta Energiae Sol. Sin. 2015, 36, 1259–1267. [Google Scholar]
- Zheng, C.W.; Jia, B.K.; Guo, S.P.; Zhuang, H. Wave energy resource storage assessment in global ocean. Resour. Sci. 2013, 35, 1611–1616. [Google Scholar]
- Stopa, J.E.; Cheung, K.F.; Chen, Y.L. Assessment of wave energy resources in Hawaii. Renew. Energy 2011, 36, 554–567. [Google Scholar] [CrossRef]
- Wang, C.K.; Lu, W. Analysis Methods and Reserves Evaluation of Ocean Energy Resources; Ocean Press: Beijing, China, 2009; pp. 104–129. [Google Scholar]
- Smith, W.H.F.; Sandwell, D.T. Global seafloor topography from satellite altimetry and ship depth soundings. Science 1997, 277, 1957–1962. [Google Scholar] [CrossRef]
- Wen, S.C.; Yu, Z.W. Ocean Wave Theory and Calculation Principle; Science Press: Beijing, China, 1985; pp. 203–204. [Google Scholar]
- Wan, Y.; Zhang, J.; Meng, J.M.; Wang, J. Exploitable wave energy assessment based on ERA-Interim reanalysis data—A case study in the East China Sea and the South China Sea. Acta Oceanol. Sin. 2015, 34, 143–155. [Google Scholar] [CrossRef]
- Cruz, J. Ocean Wave Energy Current Status and Future Prespectives; Springer: Berlin/Heidelberg, Germany, 2008; p. 95. [Google Scholar]
- Marquis, L.; Kramer, M.; Frigaard, P. (Eds.) First power production results from the Wave Star Roshage wave energy converter. In Proceedings of the 3rd International Conference on Ocean Energy, Bilbao, Spain, 6–8 October 2010; Available online: http://wavestarenergy.com/sites/default/files/Wave%20Star%20Energy%20presentation%20ICOE%202010%20UPDATED%20After%20Conference.pdf (accessed on 9 January 2016).
- Ma, H.S.; Yu, Q.W. The preliminary estimate for the potential surface wave energy resources in the adjacent sea areas of China. Mar. Sci. Bull. 1983, 2, 73–81. [Google Scholar]
- Li, L.P.; Tian, S.Z.; Xu, S.L.; Guo, H.M. Power resource estimation of ocean surface waves in the Bohai Sea and Yellow Sea and an evaluation of prospects for converting wave power. J. Oceanogr. Huanghai Bohai Seas 1984, 2, 14–23. [Google Scholar]
- Ren, J.L.; Luo, Y.Y.; Zhong, Y.J.; Xu, Z. The implementation for analysis system of ocean wave resources and the application of wave energy power generation. J. Zhejiang Univ. Technol. 2008, 36, 186–191. [Google Scholar]
- Folley, M.; Whittaker, T.J.T. Analysis of the nearshore wave energy resource. Renew. Energy 2009, 34, 1709–1715. [Google Scholar] [CrossRef]
- Rusu, L.; Soares, C.G. Wave energy assessments in the Azores islands. Renew. Energy 2012, 45, 183–196. [Google Scholar] [CrossRef]
- Vannucchi, V.; Cappietti, L. Wave energy assessment and performance estimation of state of the art wave energy converters in Italian hotspots. Sustainability 2016, 8, 1300. [Google Scholar] [CrossRef]
- Weinstein, A.; Fredrikson, G.; Parks, M.J.; Nielsen, K. (Eds.) AquaBuOY—The offshore wave energy converter numerical modeling and optimization. In Proceedings of the OCEANS’04, Kobe, Japan, 9–12 November 2004. [Google Scholar]
- Valério, D.; Beirão, P.; Sá da Costa, J. Optimisation of wave energy extraction with the Archimedes Wave Swing. Ocean Eng. 2007, 34, 2330–2344. [Google Scholar] [CrossRef]
- Henderson, R. Design, simulation, and testing of a novel hydraulic power take-off system for the Pelamis wave energy converter. Renew. Energy 2006, 31, 271–283. [Google Scholar] [CrossRef]
- Whittaker, T.J.T.; Collier, D.; Folley, M.; Osterreid, M.; Henry, A.; Crowley, M. (Eds.) The development of Oyster—A shallow water surging wave energy converter. In Proceedings of the 7th European Wave & Tidal Energy Conference, Porto, Portugal, 11–13 September 2007; Available online: https://www.researchgate.net/publication/228671649_The_development_of_Oyster-A_shallow_water_surging_wave_energy_converter (accessed on 9 January 2016).
- Kramer, M.; Marquis, L.; Frigaard, P. (Eds.) Performance evaluation of the wavestar prototype. In Proceedings of the 9th European Wave and Tidal Energy Conference, Southampton, UK, 5–9 September 2011; Available online: http://www.energinet.dk/SiteCollectionDocuments/Danske%20dokumenter/Forskning%20-%20PSOprojekter/Bilag%203%20-%20Performance%20Evaluation%20of%20the%20Wavestar%20Prototype%20-%20M.%20M.%20Kramer%20et%20al.pdf (accessed on 9 January 2016).
- Silva, D.; Rusu, E.; Soares, C.G. Evaluation of various technologies for wave energy conversion in the Portuguese Nearshore. Energies 2013, 6, 1344–1364. [Google Scholar] [CrossRef]
- Carbon, T. Variability of UK Marine Resources; Environmental Change Institute: Oxford, UK, 2005. Available online: https://tethys.pnnl.gov/sites/default/files/publications/Carbon_Trust_2005.pdf (accessed on 9 January 2016).
- AWS-III Multi-Cell Wave Power Generator. AWS Ocean Energy Ltd, 2017. Available online: http://www.awsocean.com/ (accessed on 9 January 2016).
- Pelamis Is the Result of over a Decade of Dedicated Testing, Modelling and Development. Pelamis Wave Power Ltd, 2017. Available online: http://www.pelamiswave.com/homepage/search/ (accessed on 9 January 2016).

















| Buoy ID | Location | Water Depth (m) | Data Period | Time Interval |
|---|---|---|---|---|
| buoy_006 | 30.7170 (°N), 123.0700 (°E) | 46 | April 2012–Decmber 2012 | 10 (min) |
| buoy_kzszs | 29.7527 (°N), 122.7500 (°E) | 42 | April 2012–Decmber 2012 | 10 (min) |
| Buoy | RMSE | CC |
|---|---|---|
| Buoy 006 Hs | 0.31 (m) | 0.90 |
| Buoy 006 Te | 0.56 (s) | 0.78 |
| Buoy kzszs Hs | 0.36 (m) | 0.78 |
| Buoy kzszs Te | 0.81 (s) | 0.70 |
| Grade | Annual Average Pw (kW/m) | Annual Average TE (h) | TWE (×1012 J) | CDC | Suitability Level |
|---|---|---|---|---|---|
| 1 | <a1 | <b1 | <c1 | <d1 | poor |
| 2 | a1–a2 | b1–b2 | c1–c2 | d1–d2 | available |
| 3 | a2–a3 | b2–b3 | c2–c3 | d2–d3 | good |
| 4 | a3–a4 | b3–b4 | c3–c4 | d3–d4 | better |
| 5 | >a4 | >b4 | >c4 | >d4 | best |
| Index | Maximum Value | Minimum Value | Interval | a1/b1/c1 | a2/b2/c2 | a3/b3/c3 | a4/b4/c4 |
|---|---|---|---|---|---|---|---|
| Annual average Pw (kW/m) | 5.57 | 2.04 | 0.71 | 2.75 | 3.46 | 4.17 | 4.88 |
| Annual average TE (h) | 4367 | 1812 | 511 | 2323 | 2834 | 3345 | 3856 |
| TWE (×1012 J) | 2.3053 | 0.9516 | 0.2707 | 1.2223 | 1.4930 | 1.7637 | 2.0344 |
| Grade | Pw (kW/m) | TE (h) | TWE (×1012 J) | CDC | Suitability Level |
|---|---|---|---|---|---|
| 1 | <2.75 | <2323 | <1.2223 | <7808 | poor |
| 2 | 2.75–3.46 | 2323–2834 | 1.2223–1.4930 | 7808–14,639 | available |
| 3 | 3.46–4.17 | 2834–3345 | 1.4930–1.7637 | 14,639–24,601 | good |
| 4 | 4.17–4.88 | 3345–3856 | 1.7637–2.0344 | 24,601–38,282 | better |
| 5 | >4.88 | >3856 | >2.0344 | >38,282 | best |
| Location | Longitude (°E) | Latitude (°N) | Water Depth D (m) | Annual Average Pw (kW/m) | Pmax (kW/m) |
|---|---|---|---|---|---|
| S1 | 123.250 | 30.375 | 62 | 6.53 | 290.72 |
| S2 | 123.250 | 29.875 | 60 | 7.01 | 385.30 |
| S3 | 121.875 | 28.375 | 16 | 9.55 | 322.14 |
| Location | Mean Power Output “Pe” (kW) | Capacity Factor “Cf” (%) | Relative Capture Width “Rcw” (%) | ||||||||||||
|---|---|---|---|---|---|---|---|---|---|---|---|---|---|---|---|
| AB AWS Pelamis Oyster WS | AB AWS Pelamis Oyster WS | AB AWS Pelamis Oyster WS | |||||||||||||
| S1 | 10.52 | 25.26 | 38.16 | - | - | 4.21 | 1.26 | 5.09 | - | - | 8.05 | 2.69 | 3.24 | - | - |
| S2 | 11.47 | 28.27 | 41.51 | - | - | 4.59 | 1.41 | 5.53 | - | - | 8.20 | 2.80 | 3.29 | - | - |
| S3 | - | - | - | 56.61 | 110.31 | - | - | - | 6.70 | 18.38 | - | - | - | 21.58 | 16.50 |
© 2017 by the authors. Licensee MDPI, Basel, Switzerland. This article is an open access article distributed under the terms and conditions of the Creative Commons Attribution (CC BY) license (http://creativecommons.org/licenses/by/4.0/).
Share and Cite
Wan, Y.; Fan, C.; Zhang, J.; Meng, J.; Dai, Y.; Li, L.; Sun, W.; Zhou, P.; Wang, J.; Zhang, X. Wave Energy Resource Assessment off the Coast of China around the Zhoushan Islands. Energies 2017, 10, 1320. https://doi.org/10.3390/en10091320
Wan Y, Fan C, Zhang J, Meng J, Dai Y, Li L, Sun W, Zhou P, Wang J, Zhang X. Wave Energy Resource Assessment off the Coast of China around the Zhoushan Islands. Energies. 2017; 10(9):1320. https://doi.org/10.3390/en10091320
Chicago/Turabian StyleWan, Yong, Chenqing Fan, Jie Zhang, Junmin Meng, Yongshou Dai, Ligang Li, Weifeng Sun, Peng Zhou, Jing Wang, and Xudong Zhang. 2017. "Wave Energy Resource Assessment off the Coast of China around the Zhoushan Islands" Energies 10, no. 9: 1320. https://doi.org/10.3390/en10091320
APA StyleWan, Y., Fan, C., Zhang, J., Meng, J., Dai, Y., Li, L., Sun, W., Zhou, P., Wang, J., & Zhang, X. (2017). Wave Energy Resource Assessment off the Coast of China around the Zhoushan Islands. Energies, 10(9), 1320. https://doi.org/10.3390/en10091320
