The Effect of Hydrogen Addition on the Combustion Characteristics of RP-3 Kerosene/Air Premixed Flames
Abstract
:1. Introduction
2. Experimental Facility
3. Theoretical Model
4. Experimental Results and Discussion
4.1. Effects of Hydrogen Addition on Flame Propagation Characteristics
4.2. Effect of Hydrogen Addition on Flame Stability
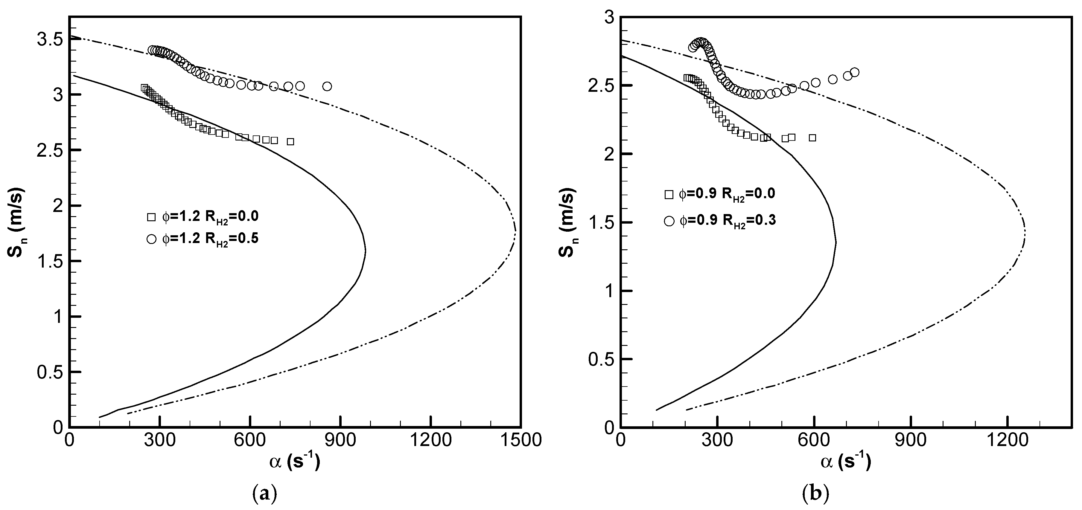
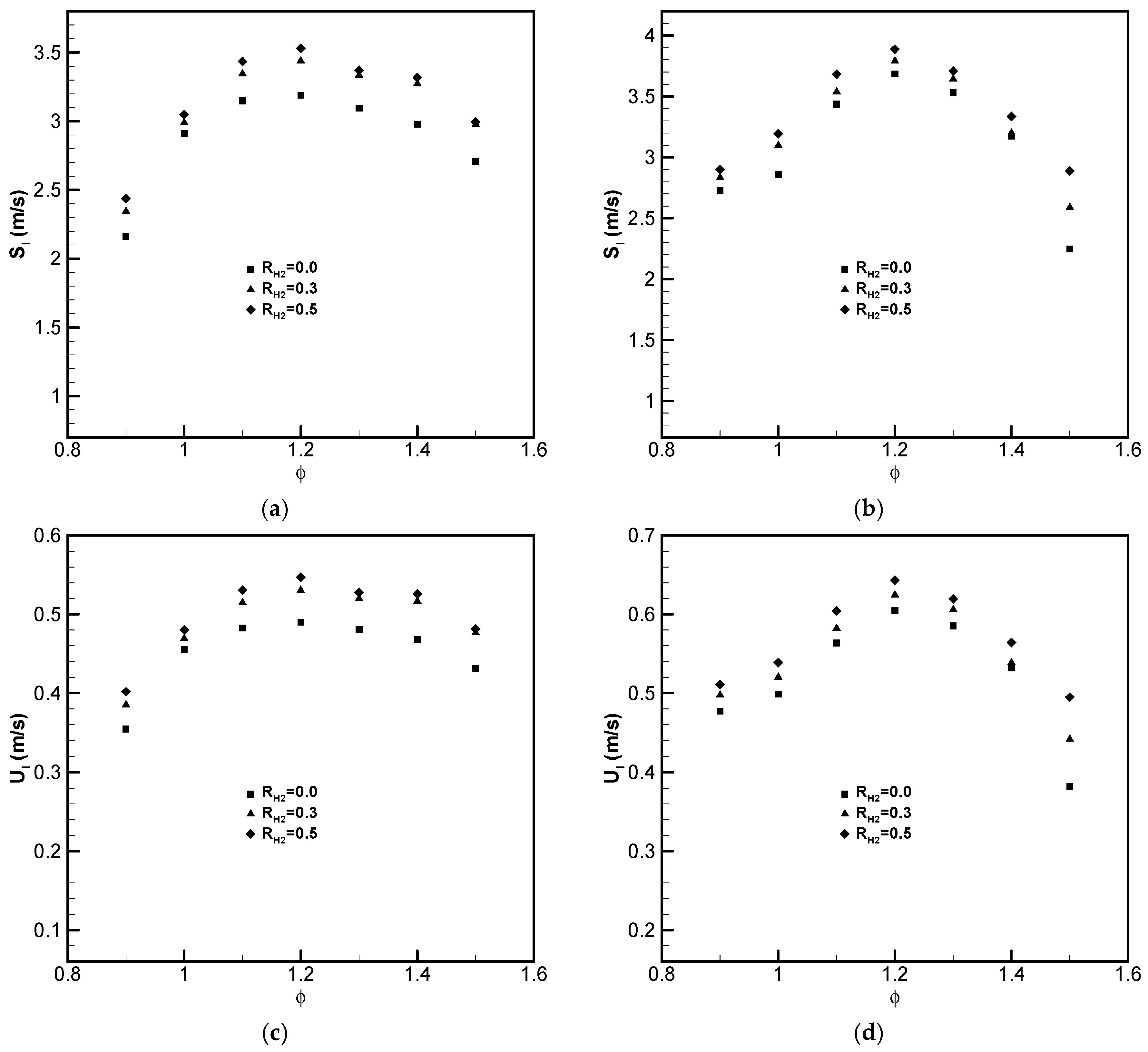
4.3. Effect of Hydrogen Addition on Laminar Burning Velocity
5. Conclusions
Acknowledgments
Author Contributions
Conflicts of Interest
References
- Burguburu, J.; Cabot, G.; Renou, B.; Boukhalfa, A.M.; Cazalens, M. Effects of H2 enrichment on flame stability and pollutant emissions for a kerosene/air swirled flame with an aeronautical fuel injector. Proc. Combust. Inst. 2011, 33, 2927–2935. [Google Scholar] [CrossRef]
- Frolov, S.M.; Medvedev, S.N.; Basevich, V.Y.; Frolov, F.S. Self-ignition of hydrocarbon-hydrogen-air mixtures. Int. J. Hydrog. Energy 2013, 38, 4177–4184. [Google Scholar] [CrossRef]
- Cazalens, M.; Roux, S.; Sensiau, C.; Poinsot, T. Combustion instability problem analysis for high-pressure jet engine cores. J. Propuls. Power 2008, 24, 770–778. [Google Scholar] [CrossRef]
- Hagling, F.; Singh, R. Design of aero gas turbine using hydrogen. J. Eng. Gas Turbines Power 2006, 128, 754–768. [Google Scholar] [CrossRef]
- Dahl, G.; Suttrop, F. Engine control and low NOx combustion for hydrogen fuelled aircraft gas turbines. Int. J. Hydrog. Energy 1998, 23, 695–704. [Google Scholar] [CrossRef]
- Frenillot, J.P.; Cabot, G.; Cazalens, M.; Renou, B.; Boukhalfa, M.A. Impact of H2 addition on flame stability and pollutant emissions for an atmospheric kerosene/air swirled flame of laboratory scaled gas turbine. Int. J. Hydrog. Energy 2009, 34, 3930–3944. [Google Scholar] [CrossRef]
- Hui, X.; Zhang, C.; Xia, M.; Sung, C.J. Effects of hydrogen addition on combustion characteristics of n-decane/air mixtures. Combust. Flame 2014, 161, 2252–2262. [Google Scholar] [CrossRef]
- Yu, G.; Law, C.K.; Wu, C.K. Laminar flame speeds of hydrocarbon/air mixtures with hydrogen addition. Combust. Flame 1986, 63, 339–347. [Google Scholar] [CrossRef]
- Zhang, Y.; Wu, J.; Ishizuka, S. Hydrogen addition effect on laminar burning velocity, flame temperature and flame stability of a planar and a curved CH4/H2/air premixed flame. Int. J. Hydrog. Energy 2009, 34, 519–527. [Google Scholar] [CrossRef]
- Halter, F.; Chauveau, C.; Djebayli, C.N. Characterization of effects of pressure and hydrogen concentration on laminar burning velocities of methane/hydrogen/air mixture. Proc. Combust. Inst. 2005, 30, 201–208. [Google Scholar] [CrossRef]
- Law, C.; Kwon, O. Effects of hydrocarbon substitution on atmospheric hydrogen/air flame propagation. Int. J. Hydrog. Energy 2004, 29, 867–879. [Google Scholar] [CrossRef]
- Tang, C.L.; Huang, Z.H.; Law, C.K. Determination, correlation, and mechanistic interpretation of effects of hydrogen addition on laminar flame speeds of hydrocarbon/air mixtures. Proc. Combust. Inst. 2011, 33, 921–928. [Google Scholar] [CrossRef]
- Weiss, M.; Zarzalis, N.; Suntz, R. Experimental study of Markstein number effects on laminar flamelet velocity in turbulent premixed flames. Combust. Flame 2008, 154, 671–691. [Google Scholar] [CrossRef]
- Hu, E.J.; Huang, Z.H.; He, J.J.; Jin, C.; Zheng, J.J. Experimental and numerical study on laminar burning characteristics of premixed methane/hydrogen/air flames. Int. J. Hydrog. Energy 2009, 34, 4876–4888. [Google Scholar] [CrossRef]
- Bradley, D.; Hicks, R.A.; Lawes, M.; Sheppard, C.G.W.; Woolley, R. The measurement of laminar burning velocities and Markstein numbers for iso-octane/air and iso-octane/n-heptane/air mixtures at elevated temperatures and pressures in an explosion bomb. Combust. Flame 1998, 115, 126–144. [Google Scholar] [CrossRef]
- Wu, F.; Liang, W.; Chen, Z.; Ju, Y.; Law, C.K. Uncertainty in stretch extrapolation of laminar flame speed from expanding spherical flames. Proc. Combust. Inst. 2015, 35, 663–670. [Google Scholar] [CrossRef]
- Chen, Z. On the extraction of laminar flame speed and Markstein length from outwardly propagating spherical flames. Combust. Flame 2011, 158, 291–300. [Google Scholar] [CrossRef]
- Moffat, R.J. Describing the uncertainties in experimental results. Exp. Therm. Fluid Sci. 1988, 1, 3–17. [Google Scholar] [CrossRef]
- Ma, H.A.; Xie, M.Z.; Zeng, W.; Chen, B.D. Experimental study on combustion characteristics of Chinese RP-3 kerosene. Chin. J. Aeronaut. 2016, 29, 375–385. [Google Scholar] [CrossRef]
- Zeng, W.; Li, H.X.; Chen, B.D.; Ma, H.A. Experimental and kinetic modeling study of ignition characteristics of Chinese RP-3 kerosene. Combust. Sci. Technol. 2015, 187, 396–409. [Google Scholar] [CrossRef]
- Bradley, D.; Gaskell, P.H.; Gu, X.J. Burning velocities, Markstein numbers, and flame quenching for spherical methane-air flames: A computational study. Combust. Flame 1996, 104, 176–198. [Google Scholar] [CrossRef]
- Huang, Z.H.; Wang, Q.; Yu, J.R.; Zhang, Y.; Zeng, K.; Miao, H.Y. Measurement of laminar burning velocity of dimethylether/air premixed mixtures. Fuel 2007, 86, 2360–2366. [Google Scholar] [CrossRef]
- Burke, M.P.; Chen, Z.; Ju, Y.; Dryer, F.L. Effect of cylindrical confinement on the determination of laminar flame speeds using outwardly propagating flames. Combust. Flame 2009, 156, 771–779. [Google Scholar] [CrossRef]
- Manton, J.; Elbe, G.; Lewis, B. Burning-velocity measurements in a spherical vessel with central ignition. Proc. Combust. Inst. 1953, 4, 358–363. [Google Scholar] [CrossRef]








| Composition | Vol. % | |
|---|---|---|
| Saturated hydrocarbons | Alkanes | 52.2 |
| Monocyclic naphthenes | 33.8 | |
| Bicyclic naphthenes | 6.0 | |
| Tricyclic naphthenes | 0.1 | |
| Aromatic hydrocarbons | Alkyl benzenes | 5.1 |
| Indan tetralin | 1.3 | |
| Naphthalene | 0.6 | |
| Naphthalene derivatives | 0.9 | |
© 2017 by the authors. Licensee MDPI, Basel, Switzerland. This article is an open access article distributed under the terms and conditions of the Creative Commons Attribution (CC BY) license (http://creativecommons.org/licenses/by/4.0/).
Share and Cite
Zeng, W.; Liu, J.; Liu, Y.; Chen, B.; Liu, A. The Effect of Hydrogen Addition on the Combustion Characteristics of RP-3 Kerosene/Air Premixed Flames. Energies 2017, 10, 1107. https://doi.org/10.3390/en10081107
Zeng W, Liu J, Liu Y, Chen B, Liu A. The Effect of Hydrogen Addition on the Combustion Characteristics of RP-3 Kerosene/Air Premixed Flames. Energies. 2017; 10(8):1107. https://doi.org/10.3390/en10081107
Chicago/Turabian StyleZeng, Wen, Jing Liu, Yu Liu, Baodong Chen, and Aiguo Liu. 2017. "The Effect of Hydrogen Addition on the Combustion Characteristics of RP-3 Kerosene/Air Premixed Flames" Energies 10, no. 8: 1107. https://doi.org/10.3390/en10081107
APA StyleZeng, W., Liu, J., Liu, Y., Chen, B., & Liu, A. (2017). The Effect of Hydrogen Addition on the Combustion Characteristics of RP-3 Kerosene/Air Premixed Flames. Energies, 10(8), 1107. https://doi.org/10.3390/en10081107
