Output Impedance Control Method of Inverter-Based Distributed Generators for Autonomous Microgrid †
Abstract
:1. Introduction
2. System Model
2.1. Power Flow Model in Islanding Microgrid
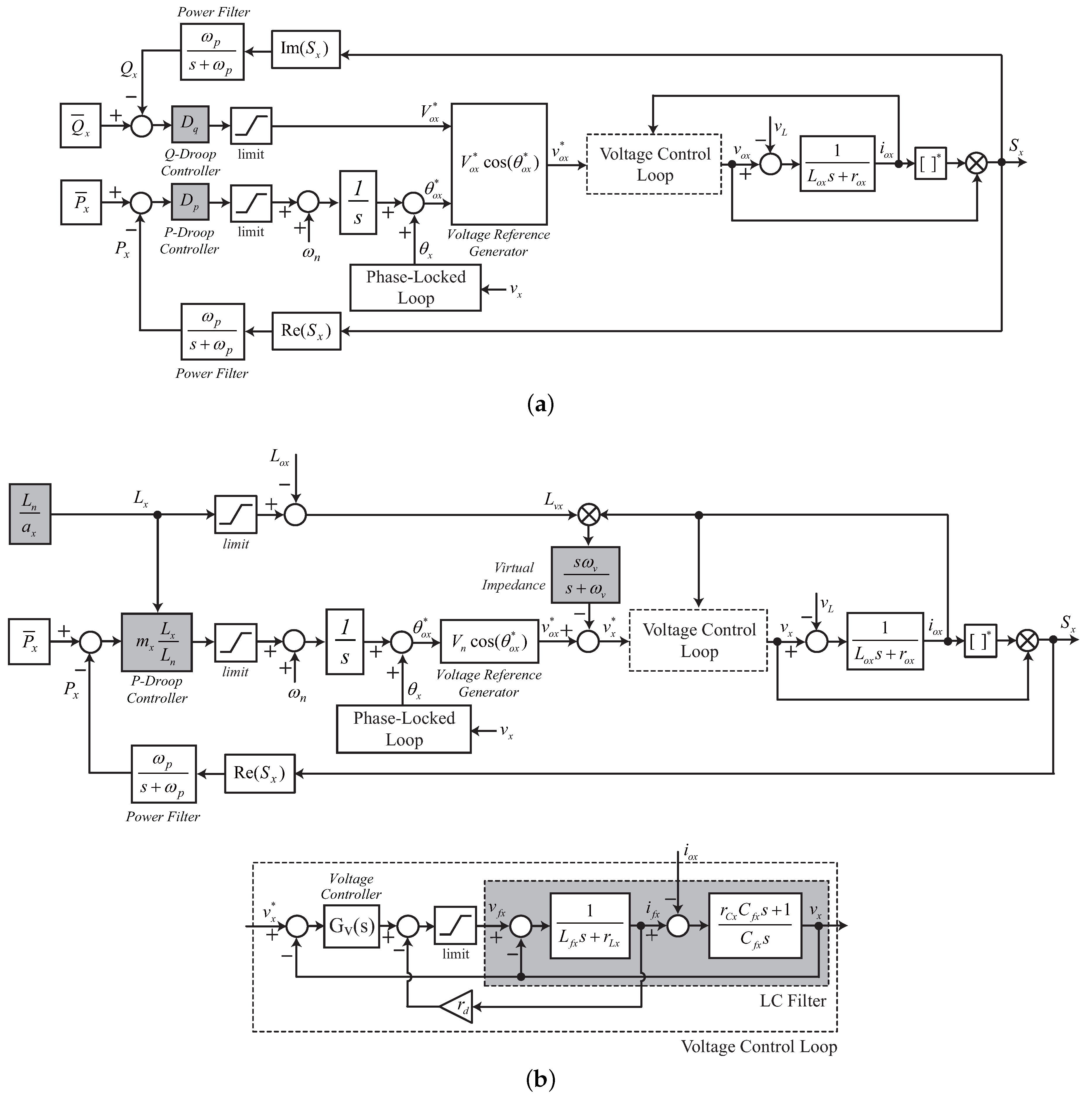
2.2. Implementation of the Virtual Output Impedance
2.3. Principle of Conventional Droop Control
3. Active Impedance Control Method for Minimum Circulating Current and Enhanced Power Sharing Performance
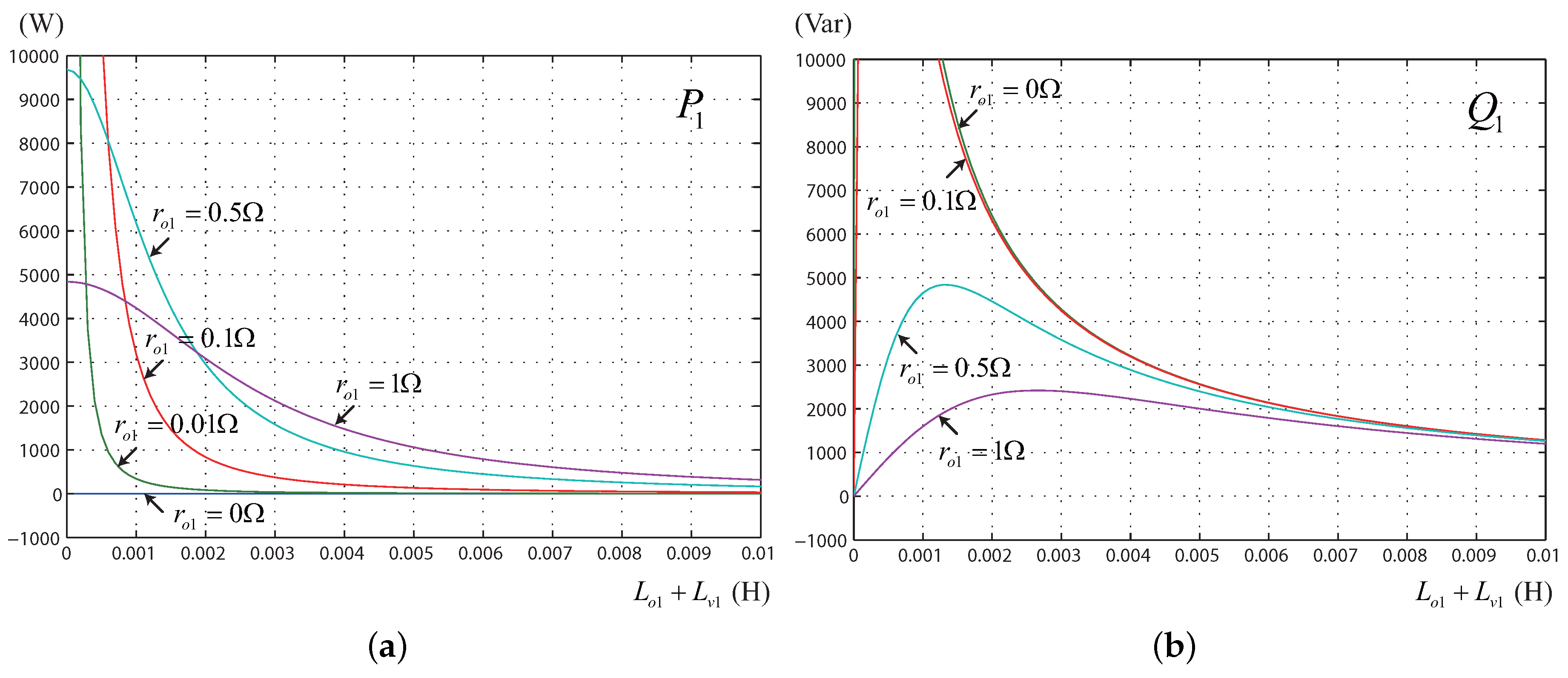
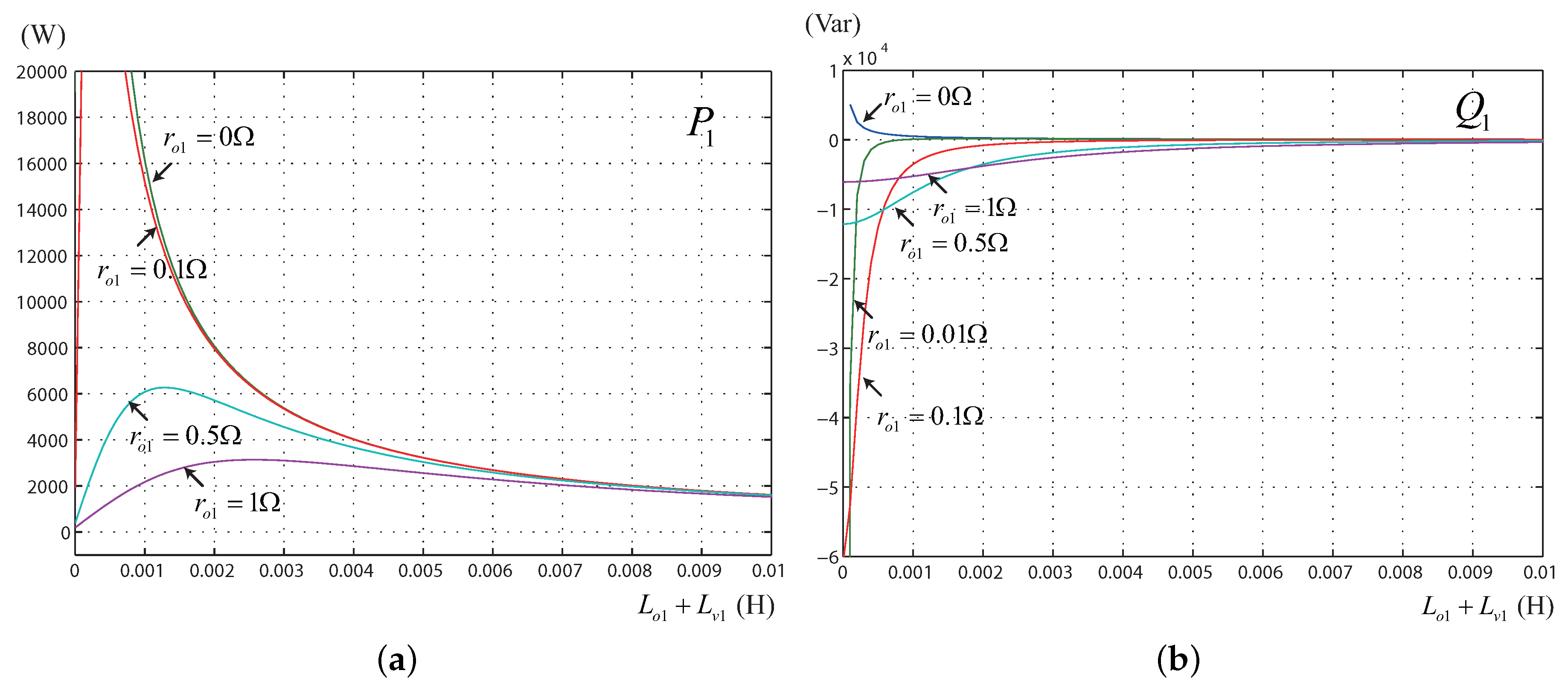
3.1. Power Flow Analysis of the Conventional Droop Control
3.2. Control Strategy for Minimum Circulating Current: Active Impedance Control Method
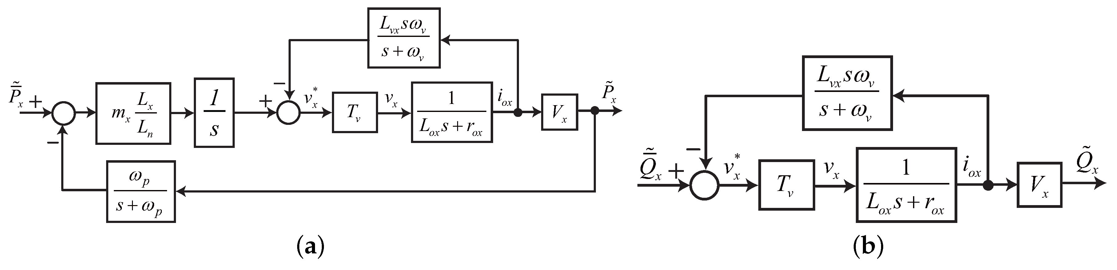
3.3. Stability Analysis
4. FPGA Based Real-Time HIL Test Result
5. Conclusions
Acknowledgments
Author Contributions
Conflicts of Interest
Nomenclature
| DG | Distributed generator |
| PCC | Point of common coupling |
| FPGA | Field programmable gate array |
| HIL | Hardware-in-the-loop |
| DER | Distributed energy resource |
| STS | Static transfer switch |
| PLL | Phase-locked-loop |
| EPS | Electrical power system |
| PWM | Pulse-width-modulation |
| Line resistance of DG unit x () | |
| Line inductance of DG unit x (H) | |
| Filter inductance of DG unit x (H) | |
| Equivalent series resistance in the filter inductor of DG unit x () | |
| Filter capacitance of DG unit x (F) | |
| Equivalent series resistance in the filter capacitor of DG unit x () | |
| LC filter output voltage of DG unit x (V) | |
| LC filter output current of DG unit x (V) | |
| Internal impedance of DG unit x () | |
| LC filter output voltage of DG unit x with virtual output impedance (V) | |
| Output impedance of DG unit x seen from local AC bus () | |
| Output apparent power of DG unit x (VA) | |
| Output real power of DG unit x (W) | |
| Nominal real power rating of DG unit x (W) | |
| Output reactive power of DG unit x (Var) | |
| Nominal reactive power rating of DG unit x (Var) | |
| Phase angle difference between DG unit x output voltage and local AC bus voltage (rad) | |
| Phase angle difference between DG unit x output voltage and DG unit y output voltage (rad) | |
| Intermediate impedance between DG unit x and DG unit y () | |
| Intermediate inductance between DG unit x and DG unit y () | |
| Real power flow from DG unit x to DG unit y (W) | |
| Reactive power flow from DG unit x to DG unit y (Var) | |
| Virtual output impedance of DG unit x () | |
| Virtual output inductance of DG unit x (H) | |
| Virtual voltage droop across the virtual output inductance of DG unit x (V) | |
| Nominal magnitude of the grid voltage (V) | |
| Cut-off frequency of the virtual output inductance (rad/s) | |
| Cut-off frequency of the power measurement filter (rad/s) | |
| Nominal angular frequency of the grid voltage (rad/s) | |
| Nominal frequency of the grid voltage (Hz) | |
| Nominal output inductance (H) | |
| P- droop gain in the conventional droop method | |
| Q-V droop gain in the conventional droop method | |
| Effective droop gain in the proposed method | |
| Load voltage in a local microgrid (V) | |
| Load impedance in a local microgrid () | |
| Load apparent power (VA) | |
| Sampling period in digital implementation | |
| Virtual resistance in the active damping control | |
| Power sharing ratio of DG unit x |
References
- Hou, X.; Sun, Y.; Yuan, W.; Han, H.; Zhong, C.; Guerrero, J.M. Conventional P-ω/Q-V droop control in highly resistive line of low-voltage converter-based AC microgrid. Energies 2016, 9, 943. [Google Scholar] [CrossRef]
- Garrasco, J.M.; Franquelo, L.G.; Bialasiewwicz, J.T.; Galvan, E.; Guisado, R.C.P.; Prats, M.A.M.; Leon, J.I.; Moreno-Alfonso, N. Power-electronic systems for the grid integration of renewable energy sources: A survey. IEEE Trans. Ind. Electron. 2006, 53, 1002–1016. [Google Scholar] [CrossRef]
- Zhong, Q.-C.; Weiss, G. Synchronverters: Inverters that mimic synchronous generators. IEEE Trans. Ind. Electron. 2011, 58, 1259–1267. [Google Scholar] [CrossRef]
- Li, Y.W.; Kao, C.N. An accurate power control strategy for power-electronics-interfaced distributed generation units operation in a low voltage multibus microgrid. IEEE Trans. Power Electron. 2009, 24, 2977–2988. [Google Scholar]
- Chae, W.-K.; Won, J.-N.; Lee, H.-J.; Kim, J.-E.; Kim, J. Comparative analysis of voltage control in battery power converters for inverter-based AC microgrids. Energies 2016, 9, 596. [Google Scholar] [CrossRef]
- He, J.; Li, Y.W.; Guerrero, J.M.; Blaabjerg, F.; Vasquez, J.C. An islanding microgrid power sharing approach using enhanced virtual impedance control scheme. IEEE Trans. Power Electron. 2013, 28, 5272–5282. [Google Scholar] [CrossRef]
- Guerrero, J.M.; Vicuna, L.G.; Matas, J.; Castilla, M.; Miret, J. Output impedance design of parallel-connected UPS inverters with wireless load-sharing control. IEEE Trans. Ind. Electron. 2005, 52, 1126–1135. [Google Scholar] [CrossRef]
- Guerrero, J.M.; Hang, L.; Uceda, J. Control of distributed uninterruptible power supply systems. IEEE Trans. Ind. Appl. 2008, 55, 2845–2859. [Google Scholar] [CrossRef]
- Kim, J.; Guerrero, J.M.; Rodriguez, P.; Teodorescu, R.; Nam, K. Mode adaptive droop control with virtual output impedances for an inverter-based flexible AC microgrid. IEEE Trans. Power Electron. 2011, 26, 689–701. [Google Scholar] [CrossRef]
- He, J.; Li, Y.W.; Blaabjerg, F. An enhanced islanding microgrid reactive power, imbalance power, and harmonic power sharing scheme. IEEE Trans. Power Electron. 2015, 30, 3389–3401. [Google Scholar] [CrossRef]
- Lee, C.-T.; Chu, C.-C.; Cheng, P.-T. A new droop control method for the autonomous operation of distributed energy resource interface converters. IEEE Trans. Power. Electron. 2013, 28, 1980–1993. [Google Scholar] [CrossRef]
- Zhong, Q.-C. Harmonic droop controller to reduce the voltage harmonics of inverters. IEEE Trans. Ind. Electron. 2013, 60, 936–945. [Google Scholar] [CrossRef]
- Lee, T.-L.; Cheng, P.-T. Design of a new cooperative harmonic filtering strategy for distributed generation interface converters in an islanding network. IEEE Trans. Power Electron. 2007, 22, 1919–1927. [Google Scholar] [CrossRef]
- Brabandere, K.D.; Bolsens, B.; Keybus, J.V.D.; Woyte, A.; Driesen, J.; Belmans, R. A voltage and frequency droop control method for parallel inverters. IEEE Trans. Power. Electron. 2007, 22, 1107–1115. [Google Scholar] [CrossRef]
- He, J.; Li, Y.W. Analysis, design and implementation of virtual impedance for power electronics interfaced distributed generation. IEEE Trans. Ind. Appl. 2011, 36, 2525–2538. [Google Scholar] [CrossRef]
- Kim, J.; Hong, J.; Kim, H. Improved direct deadbeat voltage control with an actively damped inductor-capacitor plant model in an islanded AC microgrid. Energies 2016, 9, 978. [Google Scholar] [CrossRef]
- IEEE Standards Association. IEEE Std. 1547. IEEE Standard for Interconnecting Distributed Resouces with Electric Power Systems; IEEE Standards Association: Piscataway, NJ, USA, 2003. [Google Scholar]
- IEEE Standards Association. IEEE Std. 1547.4. IEEE Guide for Design, Operation, and Integration of Distributed Resource Island Systems with Electric Power Systems; IEEE Standards Association: Piscataway, NJ, USA, 2011. [Google Scholar]
- Liu, J.; Miura, Y.; Ise, T. Comparison of dynamic characteristics between virtual synchronous generator and droop control in inverter-based distributed generators. IEEE Trans. Power Electron. 2016, 31, 3600–3611. [Google Scholar] [CrossRef]
- Bergen, A.R.; Vittal, V. Power Systems Analysis, 2nd ed.; Prentice Hall: Upper Saddle River, NJ, USA, 2000; pp. 103–109. [Google Scholar]
- Wang, X.; Blaabjerg, F.; Wu, W. Modeling and analysis of harmonic stability in an AC power-electronics-based power system. IEEE Trans. Power Electron. 2014, 29, 6421–6432. [Google Scholar] [CrossRef]
- Guerrero, J.M.; Vicuna, L.G.; Matas, J.; Castilla, M.; Miret, J. A wireless controller to enhance dynamic performance of parallel inverters in distributed generation systems. IEEE Trans. Power Electron. 2004, 19, 1205–1213. [Google Scholar] [CrossRef]
- Li, Y.; Li, Y.W. Power management of inverter interfaced autonomous microgrid based on virtual frequency-voltage frame. IEEE Trans. Smart Grid 2011, 2, 30–40. [Google Scholar] [CrossRef]
- Kim, J.; Lee, J.; Nam, K. Inverter-based local AC bus votlage control utilizing two DOF control. IEEE Trans. Power Electron. 2008, 23, 1288–1298. [Google Scholar]
- Merabet, A.; Ahmed, K.T.; Ibrahim, H.; Beguenane, R.; Chias, M.Y.M. Energy management and control system for laboratory scale microgrid based wind-PV-battery. IEEE Trans. Sustain. Energy 2017, 8, 145–154. [Google Scholar] [CrossRef]











| (mH) | Poles of |
| 1 | −527,770, −527,040, −75,930, −75,830, −1360, −90, −60, 0, 0, 0 |
| 11 | −527,770, −519,610, −77,090, −75,830, −7710, −60, −10, 0, 0, 0 |
| 21 | −527,770, −511,960, −78,520, −75,830, −13,950, −60, 0, 0, 5.33 j, −5.33 j |
| 31 | −527,770, −504,050, −80,310, −75,830, −20,060, −60, 0, 0, 6.32 j, −6.32 j |
| 41 | −527,770, −495,870, −82,590, −75,830, −25,970, −60, 0, 0, 6.65 j, −6.65 j |
| (mH) | Poles of |
| 1 | −527,770, −527,040, −75,930, −75,830, −1360, −90, 0, 0 |
| 11 | −527,770, −519,610, −77,090, −75,830, −7710, −20, 0, 0 |
| 21 | −527,770, −511,960, −78,520, −75,830, −13,950, −10, 0, 0 |
| 31 | −527,770, −504,050, −80,310, −75,830, −20,060, −10, 2.25 j, −2.25 j |
| 41 | −527,770, −495,870, −82,590, −75,830, −25,970, 0, 2.87 j, −2.87 j |
| Parameter | DG Unit 1 | DG Unit 2 | Parameter | DG Unit 1 | DG Unit 2 |
|---|---|---|---|---|---|
| , (mH) | 0.01 | 0.03 | , () | 0.1 | 0.2 |
| , (mH) | 1 | 1 | , (F) | 50 | 50 |
| , () | 0.25 | 0.25 | , () | 0.4 | 0.4 |
| , (mH) | 1 | 1 | , (Hz) | 50 | 50 |
| kW) | 20 | 10 | kVar) | 20 | 10 |
| 0.000157 | 0.000314 | 628.32 | 628.32 | ||
| , () | 3 | 3 | 0.66 | 0.33 | |
| 0.6 | 0.6 | 2000 | 2000 |
© 2017 by the authors. Licensee MDPI, Basel, Switzerland. This article is an open access article distributed under the terms and conditions of the Creative Commons Attribution (CC BY) license (http://creativecommons.org/licenses/by/4.0/).
Share and Cite
Choi, Y.-O.; Kim, J. Output Impedance Control Method of Inverter-Based Distributed Generators for Autonomous Microgrid. Energies 2017, 10, 904. https://doi.org/10.3390/en10070904
Choi Y-O, Kim J. Output Impedance Control Method of Inverter-Based Distributed Generators for Autonomous Microgrid. Energies. 2017; 10(7):904. https://doi.org/10.3390/en10070904
Chicago/Turabian StyleChoi, Youn-Ok, and Jaehong Kim. 2017. "Output Impedance Control Method of Inverter-Based Distributed Generators for Autonomous Microgrid" Energies 10, no. 7: 904. https://doi.org/10.3390/en10070904
APA StyleChoi, Y.-O., & Kim, J. (2017). Output Impedance Control Method of Inverter-Based Distributed Generators for Autonomous Microgrid. Energies, 10(7), 904. https://doi.org/10.3390/en10070904

