Loss Characteristics of 6.5 kV RC-IGBT Applied to a Traction Converter
Abstract
:1. Introduction
2. RC-IGBT Structure and Switching Principal
2.1. Structure of RC-IGBT
2.2. Switching Loss Characteristics of RC-IGBT
3. RC-IGBT Diode Desaturation Control
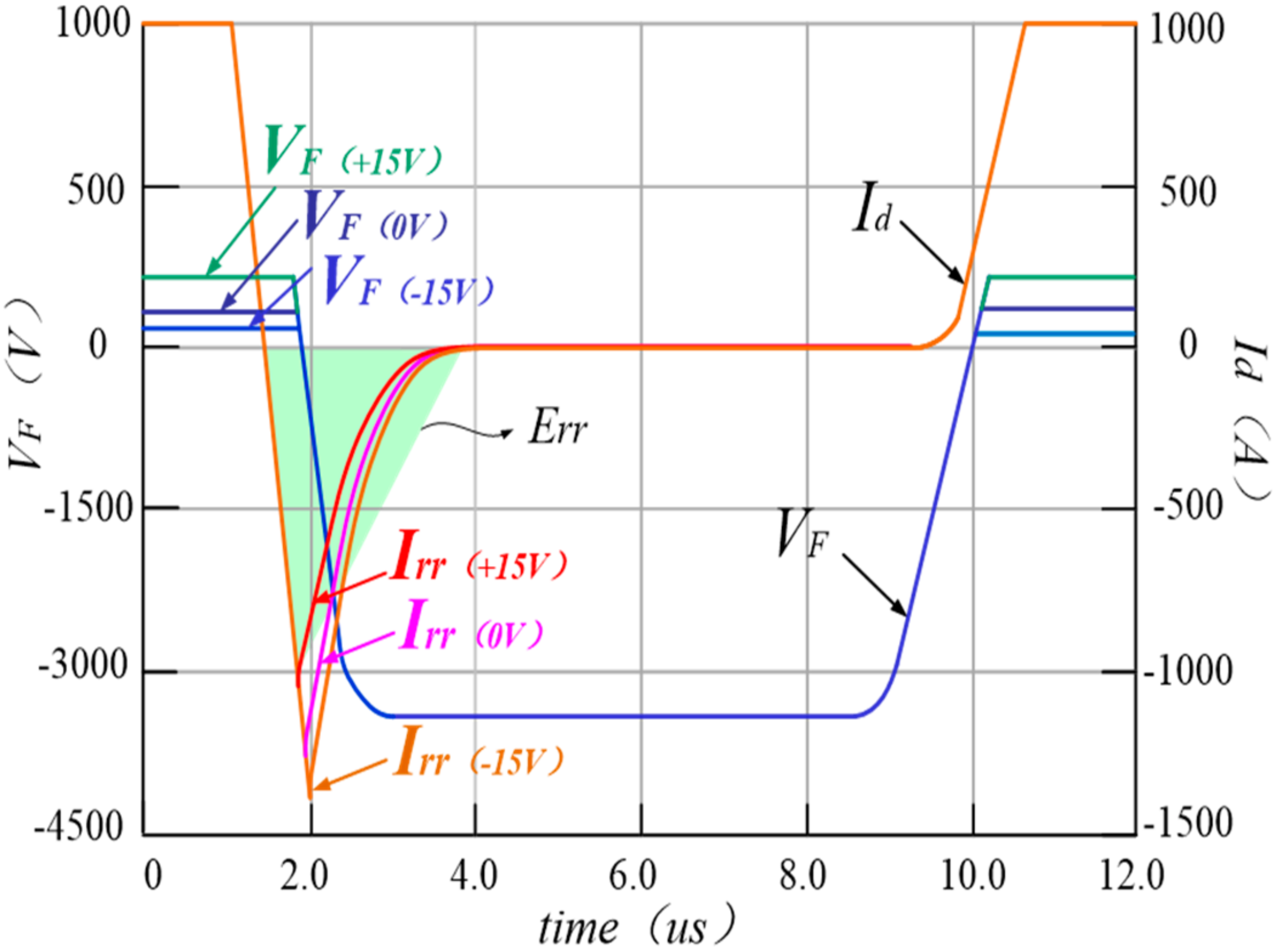
3.1. Operation Principle of Internal Diode
3.2. Diode Losses under RC-IGBT Desaturation Control
4. Losses Analysis and Operation Test for RC-IGBT Converter
4.1. Losses Analysis and Test for RC-IGBT under Desaturation Control
4.2. Operation Simulation and Losses Calculation of Single Phase PWM Rectifier with RC-IGBT
4.3. Operation Test of RC-IGBT Converter under RCDC Control
5. Conclusions
- (1)
- The desaturation gate pulse control for the RC-IGBT can alter the proportion of diode reverse recovery loss and conduction loss. The total loss of the RC-IGBT is affected by the pulse amplitude, pulse duration, and pulse level mode of the gate desaturation pulse. In the practical application of +15 V, −10 V two level driving mode, the width of the desaturation pulse is set to 50 μs, which is helpful to reduce the total loss.
- (2)
- The predictive current control strategy with the desaturation gate pulse control method may be adopted to achieve the rated operating conditions of the single phase PWM rectifier with RC-IGBTs. The scheme is able to ensure the stable operation of the converter under the condition of reducing the total loss.
- (3)
- The dual-pulse test with the desaturation pulse control is carried out, and the different current conditions of switching loss and reverse recovery loss are tested. Accordingly, the loss of the average loss of one cycle is 3% lower than that of the conventional IGBT, and 8% lower than that of the RC-IGBT without desaturation pulse control (in common saturation pulse control).
- (4)
- The contrast experiment is carried out on the scaled down power platform. The PWM control with a desaturation gate pulse for the RC-IGBT is proven to be beneficial to reduce the loss, through a comparison of the temperature rise.
Acknowledgments
Author Contributions
Conflicts of Interest
References
- Fan, S.F.; Xiong, J.; Zhang, K.; He, L.Q.; Zhao, W.C. A decoupling control scheme of high power four-quadrant converters for traction. Proc. CSEE 2012, 32, 63–70. [Google Scholar]
- Chen, Z.; Wang, Z.H.; Chen, M. Shunt active power filter based on new four-quadrant switch cell. Trans. China Electrotech. Soc. 2015, 30, 147–154. [Google Scholar]
- Hao, Q.; Ge, X.L.; Song, W.S.; Feng, X.Y. Microsecond hardware-in-the-loop real-time simulation of electrical traction drive system. Trans. China Electrotech. Soc. 2016, 31, 189–198. [Google Scholar]
- Zhu, Q.Y.; Wang, J.Z.; Liu, A.L. Research on performance comparison and optimization of traction converter for CRH1 and CRH2 EMU. Comput. Eng. Appl. 2013, 49, 255–261. [Google Scholar]
- Qin, F.F.; Li, H.; Li, P. Converter power circuit comparison of HXD locomotives. Electr. Drive Locomot. 2012, 5, 43–46. [Google Scholar]
- Fujii, T.; Yoshikawa, K.; Koga, T. 4.5 kV-2000 A power pack IGBT (ultra-high power flat-packaged PT type RC-IGBT). In Proceedings of the 12th International Symposium on Power Semiconductor Devices & IC’s (ISPSD 2000), Toulouse, France, 22–25 May 2000; pp. 33–36. [Google Scholar]
- Werber, D.; Gutt, T.; Komarnitskyy, V.; Hunger, T.; Domes, D. 6.5 kV RCDC for increased power density in IGBT modules. In Proceedings of the 26th International Symposium on Power Semiconductor Devices & IC’s (ISPSD), Waikoloa, HI, USA, 15–19 June 2014; pp. 35–38. [Google Scholar]
- ABB Datasheet: 2000A, 3300V Hipak2 BiGT Module; ABB Switzerland Ltd. Semiconductors: Lenzburg, Switzerland, 2015.
- Werber, D.; Hunger, T.; Wissen, M.; Stemmer, B. A 1000 A 6.5 kV power module enable by reverse-conducting trench-IGBT-technology. In Proceedings of the PCIM Asia 2016, Shanghai, China, 28–30 June 2016; pp. 269–276. [Google Scholar]
- Won, J.; Koo, J.G.; Rhee, T.; Oh, H.S.; Lee, J.H. Reverse Conducting IGBT using MEMS technology on the wafer back side. ETRI J. 2013, 4, 603–609. [Google Scholar] [CrossRef]
- Wang, Y.Z.; Shibata, S. New transfer mold type SLIMDIP with RC-IGBT and high precision short circuit protection function. In Proceedings of the PCIM Asia 2016, Shanghai, China, 28–30 June 2016; pp. 285–291. [Google Scholar]
- Yoshida, T.; Takahashi, T.; Suzuki, K.; Tarutani, M. The second-generation 600 V RC-IGBT with optimized FWD. In Proceedings of the 2016 28th ISPSD, Prague, Czech Republic, 12–16 June 2016; pp. 159–162. [Google Scholar]
- Infineon Datasheet: Reverse Conducting Series IKW50N65WR5; Infineon Technologies AG: Munchen, Germany, 2015.
- Infineon Datasheet: FZ750R65KE3 Technical Information; Infineon Technologies K.K: Tokyo, Japan, 2015.
- Infineon Datasheet: FZ1000R65KR3 Technical Information; Infineon Technologies: Munich, Germany, 2014.
- Storasta, L.; Kopta, A.; Rahimo, M.; Papadopoulos, C.; Geissmann, S. The next generation 6500 V BiGT HiPak modules. In Proceedings of the PCIM Europe 2013, Nuremberg, Germany, 14–16 May 2013; pp. 1–8. [Google Scholar]
- Li, X.P.; Liu, J.; Zhao, G. Development and application of reverse conducting IGBT in smart grid. Smart Grid 2017, 5, 1–8. [Google Scholar]
- Chen, W.Z. Theoretical Model and Novel Structures for RC-IGBT. Ph.D. Thesis, University of Electronic Science and Technology of China, Chengdu, China, 2014. [Google Scholar]
- Huang, X.J.; You, X.J.; Zheng, Q.L. Traction converter with desaturated diode control for reverse conducting IGBT. Trans. China Electrotech. Soc. 2016, 31, 58–66. [Google Scholar]
- Zhang, W.L.; Zhu, Y.J.; Lu, S.J.; Tian, X.L. The negative differential resistance characteristics of an RC-IGBT and its equivalent circuit model. J. Semicond. 2014, 35, 1–5. [Google Scholar] [CrossRef]
- Li, X.P.; Zhao, G.; Liu, J.; Gao, M.C.; Wang, Y.H.; Jin, R. Simulation of 3300 V reverse conducting IGBT. Res. Prog. SSE 2016, 36, 406–410. [Google Scholar]
- Storasta, L.; Kopta, A.; Rahimo, M. A comparison of charge dynamics in the Reverse-Conducting RC IGBT and Bi-mode Insulated Gate Transistor BiGT. In Proceedings of the 22nd ISPSD, Hiroshima, Japan, 6–10 June 2010; pp. 391–394. [Google Scholar]
- Hermann, R.; Krafft, E.; Marz, A. Reverse Conducting IGBTs A new IGBT technology setting new benchmarks in traction converters. In Proceedings of the European Conference on Power Electronics and Applications (EPE), Lille, France, 2–9 September 2013; pp. 1–8. [Google Scholar]
- Domes, D. Control Method for a Reverse Conducting IGBT. In Proceedings of the PCIM Europe 2015, Nuremberg, Germany, 19–20 May 2015; pp. 147–154. [Google Scholar]
- Riccio, M.; Tedesco, M.; Mirone, P.; De Falco, G.; Maresca, L. An electro-thermal SPICE model for RC-IGBT: Simulation and experimental validation. In Proceedings of the 2016 28th ISPSD, Prague, Czech Republic, 12–16 June 2016; pp. 343–346. [Google Scholar]
- International Rectifier Products Notes: IGBT Reverse Conduction Characteristics Hard-Switching and Soft-Switching; International Rectifier Energy Saving Products BU: El Segundo, CA, USA, 2013.
- Jahdi, S.; Olayiwola, A.; Mawby, P. Modeling of turn-off transient energy in IGBT controlled silicon Pin diodes. In Proceedings of the EPE 2014- ECCE Europe, Lappeenranta, Finland, 26–28 August 2014; pp. 1–9. [Google Scholar]
- Infineon Application Note: Reverse Conducting IGBT for Drives RC-Drives Cost-Optimized IGBT for Consumer Drive Application; Infineon Technologies AG: Munich, Germany, 2010.
- Wiencke, H.; Lexow, D.; Tran, T. Plasma dynamic of RC-IGBT during desaturation pulses. In Proceedings of the 18th European Conference on Power Electronics and Applications (EPE 2016), Karlsruhe, Germany, 5–9 September 2016; pp. 1–8. [Google Scholar]
- Meng, Z.; Wang, Y.F.; Yang, L.; Li, W. Analysis of power loss and improved simulation method of a high frequency dual-buck full-bridge inverter. Energies 2017, 10, 311. [Google Scholar] [CrossRef]



















| Symbol | Meaning | Value |
|---|---|---|
| Voltage source RMS | Us | 1950 V |
| DC-link voltage | Ud* | 3500 V |
| AC side inductance | Lm | 2.6 mH |
| DC-link capacitance | Cd | 5.4 mF |
| Switching frequency | fs | 450 Hz |
| Rated power | PN | 1.4 MW |
| Loss (mJ) | Econd | Esw | Etot |
|---|---|---|---|
| Conventional IGBT | 16,668.4 | 32,956.2 | 49,624.6 |
| RC-IGBT (non-desat) | 14,464.3 | 36,654.6 | 51,118.9 |
| RCDC (tdes = 50 μs) | 15,294.7 | 31,415.6 | 46,710.3 |
| RCDC (tdes = 30 μs) | 14,962.5 | 31,791.1 | 46,753.6 |
© 2017 by the authors. Licensee MDPI, Basel, Switzerland. This article is an open access article distributed under the terms and conditions of the Creative Commons Attribution (CC BY) license (http://creativecommons.org/licenses/by/4.0/).
Share and Cite
Huang, X.; Ling, C.; Chang, D.; You, X.; Zheng, T.Q. Loss Characteristics of 6.5 kV RC-IGBT Applied to a Traction Converter. Energies 2017, 10, 891. https://doi.org/10.3390/en10070891
Huang X, Ling C, Chang D, You X, Zheng TQ. Loss Characteristics of 6.5 kV RC-IGBT Applied to a Traction Converter. Energies. 2017; 10(7):891. https://doi.org/10.3390/en10070891
Chicago/Turabian StyleHuang, Xianjin, Chao Ling, Dengwei Chang, Xiaojie You, and Trillion Q. Zheng. 2017. "Loss Characteristics of 6.5 kV RC-IGBT Applied to a Traction Converter" Energies 10, no. 7: 891. https://doi.org/10.3390/en10070891
APA StyleHuang, X., Ling, C., Chang, D., You, X., & Zheng, T. Q. (2017). Loss Characteristics of 6.5 kV RC-IGBT Applied to a Traction Converter. Energies, 10(7), 891. https://doi.org/10.3390/en10070891

