Experimental Study on the Performance of Water Source Trans-Critical CO2 Heat Pump Water Heater
Abstract
:1. Introduction
2. Materials and Methods
2.1. Experimental Apparatus
2.2. Data Reduction and Uncertainty Analysis
2.3. Test Condition
3. Results and Discussion
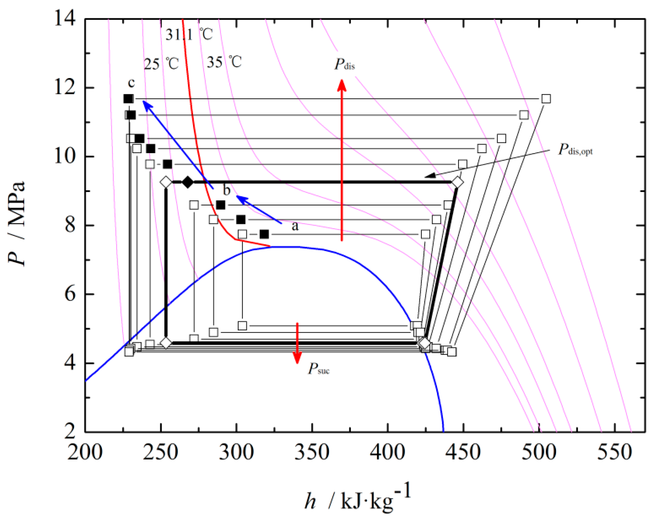
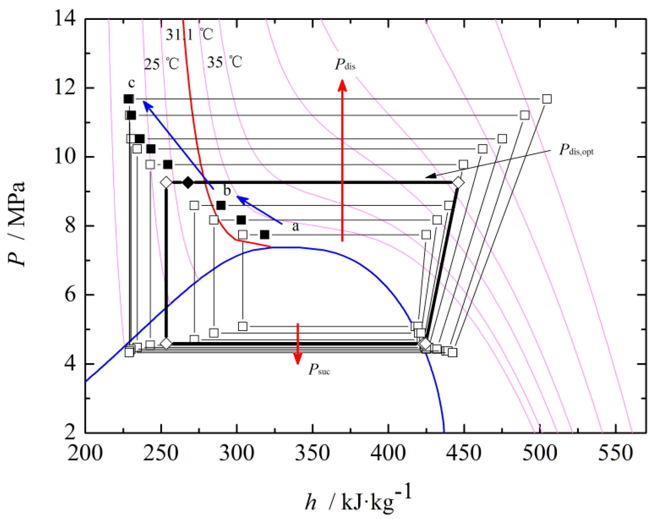
3.1. Discharge Pressure
3.2. Tap-Water Flowrate
3.3. Water-Source Temperature
4. Conclusions
- (1)
- When the tap-water temperature was low (~15 °C), there had an optimal discharge pressure for the trans-critical CO2 heat-pump water heater. Under this operating condition, the influence of the discharge pressure on the COP depends on the combined effects of the suction pressure, the CO2 mass flowrate, the CO2 gas-cooler outlet temperature and the slope of the isotherm. This is different from the trans-critical CO2 heat-pump cycle with a higher gas-cooler outlet temperature, in which the optimal discharge pressure depends on the characteristic of the S-shape isotherm at the supercritical region.
- (2)
- At the optimal discharge pressure, the COP reached the maximum value while the heating capacity was still lower than its maximum value, which was reached when the discharge pressure was slightly above the optimal discharge pressure.
- (3)
- Decreasing the tap-water flowrate and increasing the water-source temperature resulted in an increase of the optimal discharge pressure. Decreasing the tap-water flowrate led to a significant decrease of the COP while increasing the water-source temperature enhanced the COP greatly. In addition, decreasing the tap-water flowrate had little influence on the maximum heating capacity. However, increasing the water-source temperature could significantly enhance the maximum heating capacity.
- (4)
- For the trans-critical CO2 heat-pump system with an invariable frequency compressor, to achieve a high hot-water outlet temperature, a smaller tap-water flowrate, a higher water-source temperature and a relatively higher discharge pressure are required. From the perspective of the COP, a larger tap-water flowrate, a higher water-source temperature and an optimal discharge pressure are required.
Acknowledgments
Author Contributions
Conflicts of Interest
References
- Lorentzen, G.; Pettersen, J. A new efficient and environmentally benign system for car air-conditioning. Int. J. Refrig. 1993, 16, 4–12. [Google Scholar] [CrossRef]
- Kauf, F. Determination of the optimum high pressure for trans-critical CO2 refrigeration cycles. Int. J. Therm. Sci. 1999, 38, 325–330. [Google Scholar] [CrossRef]
- Sarkar, J. Review on cycle modifications of trans-critical CO2 refrigeration and heat pump systems. J. Adv. Res. Mech. Eng. 2010, 1, 22–29. [Google Scholar]
- Liao, S.M.; Zhao, T.S.; Jakobsen, A. A correlation of optimal heat rejection pressures in trans-critical carbon dioxide cycles. Appl. Therm. Eng. 2000, 20, 831–841. [Google Scholar] [CrossRef]
- Kim, M.-H.; Pettersen, J.; Bullard, C.W. Fundamental process and system design issues in CO2 vapor compression systems. Prog. Energy Combust. Sci. 2004, 30, 119–174. [Google Scholar] [CrossRef]
- Sarkar, J.; Bhattacharyya, S.; Gopal, M.R. Natural refrigerant-based subcritical and trans-critical cycles for high temperature heating. Int. J. Refrig. 2007, 30, 3–10. [Google Scholar] [CrossRef]
- Cabello, R.; Sánchez, D.; Llopis, R.; Torrella, E. Experimental evaluation of the energy efficiency of a CO2 refrigerating plant working in trans-critical conditions. Appl. Therm. Eng. 2008, 28, 1596–1604. [Google Scholar] [CrossRef]
- Chesi, A.; Ferrara, G.; Ferrari, L.; Tarani, F. Setup and characterisation of a multi-purpose test rig for R744 refrigerating cycles and equipment. Int. J. Refrig. 2012, 35, 1848–1859. [Google Scholar] [CrossRef]
- Qi, P.C.; He, Y.L.; Wang, X.L.; Meng, X.Z. Experimental investigation of the optimal heat rejection pressure for a trans-critical CO2 heat pump water heater. Appl. Therm. Eng. 2013, 56, 120–125. [Google Scholar] [CrossRef]
- Zhang, X.P.; Fan, X.W.; Wang, F.K.; Shen, H.G. Theoretical and experimental studies on optimum heat rejection pressure for a CO2 heat pump system. Appl. Therm. Eng. 2010, 30, 2537–2544. [Google Scholar] [CrossRef]
- Chen, Y.; Gu, J. The optimum high pressure for CO2 trans-critical refrigeration systems with internal heat exchangers. Int. J. Refrig. 2005, 28, 1238–1249. [Google Scholar] [CrossRef]
- Kim, M.S.; Shin, C.S.; Kim, M.S. A study on the real time optimal control method for heat rejection pressure of a CO2 refrigeration system with an internal heat exchanger. Int. J. Refrig. 2014, 48, 87–99. [Google Scholar] [CrossRef]
- Hu, B.; Li, Y.; Cao, F.; Xing, Z. Extremum seeking control of COP optimization for air-source trans-critical CO2 heat pump water heater system. Appl. Energy 2015, 147, 361–372. [Google Scholar] [CrossRef]
- Cecchinato, L.; Corradi, M.; Cosi, G.; Minetto, S.; Rampazzo, M. A real-time algorithm for the determination of R744 systems optimal high pressure. Int. J. Refrig. 2012, 35, 817–826. [Google Scholar] [CrossRef]
- Nekså, P.; Rekstad, H.; Zakeri, G.R.; Schiefloe, P.A. CO2-heat pump water heater: Characteristics, system design and experimental results. Int. J. Refrig. 1998, 21, 172–179. [Google Scholar] [CrossRef]
- Zhang, J.F.; Qin, Y.; Wang, C.C. Review on CO2 heat pump water heater for residential use in Japan. Renew. Sustain. Energy Rev. 2015, 50, 1383–1391. [Google Scholar] [CrossRef]
- Dai, B.; Dang, C.; Li, M.; Tian, H.; Ma, Y. Thermodynamic performance assessment of carbon dioxide blends with low-global warming potential (GWP) working fluids for a heat pump water heater. Int. J. Refrig. 2015, 56, 1–14. [Google Scholar] [CrossRef]
- Yokoyama, R.; Wakui, T.; Kamakari, J.; Takemura, K. Performance analysis of a CO2 heat pump water heating system under a daily change in a standardized demand. Energy 2010, 35, 718–728. [Google Scholar] [CrossRef]
- Goodman, C.; Fronk, B.M.; Garimella, S. Trans-critical carbon dioxide microchannel heat pump water heaters: Part I—Validated component simulation modules. Int. J. Refrig. 2011, 34, 859–869. [Google Scholar] [CrossRef]
- Goodman, C.; Fronk, B.M.; Garimella, S. Trans-critical carbon dioxide microchannel heat pump water heaters: Part II—System simulation and optimization. Int. J. Refrig. 2011, 34, 870–880. [Google Scholar] [CrossRef]
- Hu, B.; Wang, X.; Cao, F.; He, Z.; Xing, Z. Experimental analysis of an air-source trans-critical CO2 heat pump water heater using the hot gas bypass defrosting method. Appl. Therm. Eng. 2014, 71, 528–535. [Google Scholar] [CrossRef]
- Ohkura, M.; Yokoyama, R.; Nakamata, T.; Wakui, T. Numerical analysis on performance enhancement of a CO2 heat pump water heating system by extracting tepid water. Energy 2015, 87, 435–447. [Google Scholar] [CrossRef]
- Fronk, B.M.; Garimella, S. Water-coupled carbon dioxide microchannel gas cooler for heat pump water heaters: Part I—Experiments. Int. J. Refrig. 2011, 34, 7–16. [Google Scholar] [CrossRef]
- Fronk, B.M.; Garimella, S. Water-coupled carbon dioxide microchannel gas cooler for heat pump water heaters: Part II—Model development and validation. Int. J. Refrig. 2011, 34, 17–28. [Google Scholar] [CrossRef]
- Yang, Y.; Li, M.; Wang, K.; Ma, Y. Study of multi-twisted-tube gas cooler for CO2 heat pump water heaters. Appl. Therm. Eng. 2016, 102, 204–212. [Google Scholar] [CrossRef]
- Wang, S.; Tuo, H.; Cao, F.; Xing, Z. Experimental investigation on air-source trans-critical CO2 heat pump water heater system at a fixed water inlet temperature. Int. J. Refrig. 2013, 36, 701–716. [Google Scholar] [CrossRef]
- Klein, S.A.; Reindl, D.T.; Brownell, K. Refrigeration system performance using liquid-suction heat exchangers. Int. J. Refrig. 2000, 23, 588–596. [Google Scholar] [CrossRef]
- Aprea, C.; Maiorino, A. An experimental evaluation of the transcritical CO2 refrigerator performances using an internal heat exchanger. Int. J. Refrig. 2008, 31, 1006–1011. [Google Scholar] [CrossRef]
- Kline, S.J.; McClintock, F.A. Describing uncertainties in single sample experiments. Mech. Eng. 1953, 75, 3–8. [Google Scholar]













| Name | Type | Main Characteristic |
|---|---|---|
| Compressor | Hermetic rolling rotor compressor | Swept volume: 9.8 cm3 |
| Rotating speed: 2980 rpm | ||
| Gas cooler | Tube in tube heat exchanger | Outside tube: Φ28 mm × 1.5 mm |
| Inside tube: Φ6 mm × 1.0 mm | ||
| Evaporator | Tube in tube heat exchanger | Outside tube: Φ30 mm × 1.0 mm |
| Inside tube: Φ8 mm × 1.0 mm | ||
| Expansion valve | Electrical expansion valve | Port size: 2.0 mm |
| Opening: 0~100% | ||
| Internal heat exchanger | Tube in tube heat exchanger | Outside tube: Φ25 mm × 2.0 mm |
| Inside tube: Φ12 mm × 1.5 mm |
| Parameters | Value | ||
|---|---|---|---|
| Case 1 | Case 2 | Case 3 | |
| Water-source temperature (°C) | 20 | 20 | 10, 15, 20, 25 |
| Water-source flowrate (m3·h−1) | 1.5 | 1.5 | 1.5 |
| Tap-water temperature (°C) | 15 | 15 | 15 |
| Tap-water flowrate (m3·h−1) | 0.25 | 0.3, 0.25, 0.2 | 0.25 |
© 2017 by the authors. Licensee MDPI, Basel, Switzerland. This article is an open access article distributed under the terms and conditions of the Creative Commons Attribution (CC BY) license (http://creativecommons.org/licenses/by/4.0/).
Share and Cite
Liu, X.; Liu, C.; Zhang, Z.; Chen, L.; Hou, Y. Experimental Study on the Performance of Water Source Trans-Critical CO2 Heat Pump Water Heater. Energies 2017, 10, 810. https://doi.org/10.3390/en10060810
Liu X, Liu C, Zhang Z, Chen L, Hou Y. Experimental Study on the Performance of Water Source Trans-Critical CO2 Heat Pump Water Heater. Energies. 2017; 10(6):810. https://doi.org/10.3390/en10060810
Chicago/Turabian StyleLiu, Xiufang, Changhai Liu, Ze Zhang, Liang Chen, and Yu Hou. 2017. "Experimental Study on the Performance of Water Source Trans-Critical CO2 Heat Pump Water Heater" Energies 10, no. 6: 810. https://doi.org/10.3390/en10060810
APA StyleLiu, X., Liu, C., Zhang, Z., Chen, L., & Hou, Y. (2017). Experimental Study on the Performance of Water Source Trans-Critical CO2 Heat Pump Water Heater. Energies, 10(6), 810. https://doi.org/10.3390/en10060810

