Design of the OffWindChina 5 MW Wind Turbine Rotor
Abstract
:1. Introduction
2. Aeroelastic Design
2.1. Wind Site Data
2.2. Problem Formulation
2.3. Numerical Tools
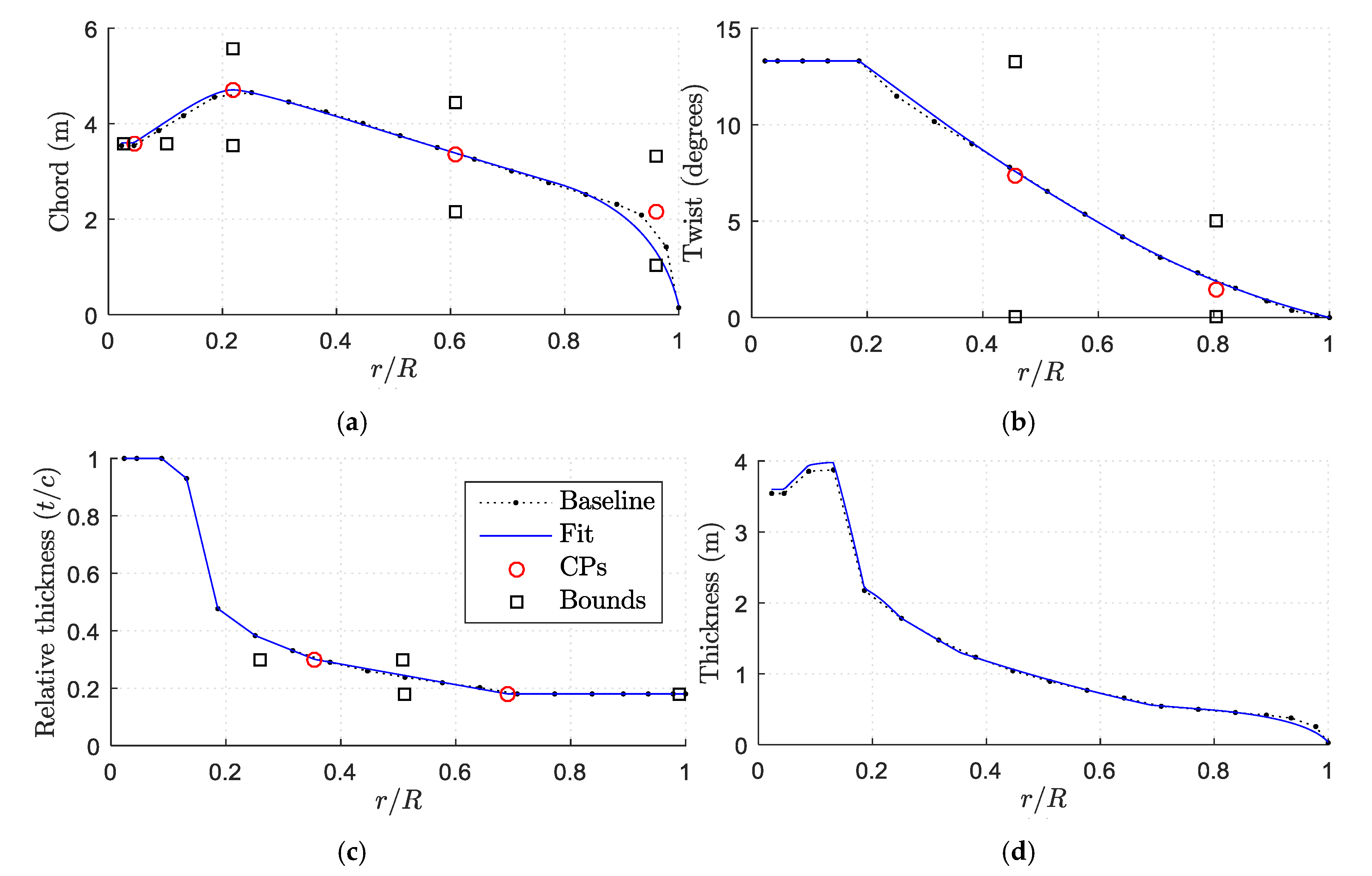
2.4. Blade Design Results
3. Structural Design
3.1. Design Variables
3.2. Problem Formulation
3.3. Numerical Tools
3.4. Blade Design Results
3.4.1. Baseline Blade Description
3.4.2. Optimization Results
4. Conclusions
Acknowledgments
Author Contributions
Conflicts of Interest
References
- Global Wind Energy Council. Global Wind Energy Outlook 2016; Global Wind Energy Council: Brussels, Belgium, 2016. [Google Scholar]
- Global Wind Energy Council. Global Wind Report: Annual Market Update; Global Wind Energy Council: Brussels, Belgium, 2015. [Google Scholar]
- China National Development and Reform Commission. International Energy Agency. China Wind Energy Development Roadmap 2050; Technical Report; Energy Research Institute: Beijing, China, 2011. [Google Scholar]
- Xia, C.; Song, Z. Wind energy in China: Current scenario and future perspectives. Renew. Sustain. Energy Rev. 2009, 13, 1966–1974. [Google Scholar]
- Sun, L.H.; Ai, W.X.; Song, W.L.; Wang, Y.M. Study on climatic characteristics of China-influencing tropical cyclones. J. Trop. Meteorol. 2011, 17, 181–186. [Google Scholar]
- An, Y.; Quan, Y.; Gu, M. Field measurement of wind characteristics of typhoon muifa on the Shanghai world financial center. Int. J. Distrib. Sens. Netw. 2012, 8, 893739. [Google Scholar] [CrossRef]
- Mostafaeipour, A. Feasibility study of offshore wind turbine installation in Iran compared with the world. Renew. Sustain. Energy Rev. 2010, 14, 1722–1743. [Google Scholar] [CrossRef]
- Ochieng, E.G.; Melaine, Y.; Potts, S.J. Future for offshore wind energy in the United Kingdom: The way forward. Renew. Sustain. Energy Rev. 2014, 39, 655–666. [Google Scholar] [CrossRef]
- Colmenar-Santos, A.; Perera-Perez, J.; Borge-Diez, D. Offshore wind energy: A review of the current status, challenges and future development in Spain. Renew. Sustain. Energy Rev. 2016, 64, 1–18. [Google Scholar] [CrossRef]
- Breton, S.P.; Moe, G. Status, plans and technologies for offshore wind turbines in Europe and North America. Renew. Energy 2009, 34, 646–654. [Google Scholar] [CrossRef]
- Bilgili, M.; Yasar, A.; Simsek, E. Offshore wind power development in Europe and its comparison with onshore counterpart. Renew. Sustain. Energy Rev. 2011, 15, 905–915. [Google Scholar] [CrossRef]
- Chehouri, A.; Younes, R.; Ilinca, A. Review of performance optimization techniques applied to wind turbines. Appl. Energy 2015, 142, 361–388. [Google Scholar] [CrossRef]
- Fingerish, L.; Hand, M.; Laxson, A. Wind Turbine Design Cost and Scaling Model; Technical Report; National Renewable Energy Laboratory: Golden, CO, USA, 2006. [Google Scholar]
- Fuglsang, P.; Madsen, H. A. Numerical optimization of wind turbine rotors. In Proceedings of the European Union Wind Energy Conference, Göteborg, Sweden, 20–24 May 1996; pp. 679–682. [Google Scholar]
- Wang, X.; Shen, W.Z.; Zhu, W.J. Shape optimization of wind turbine blades. Wind Energy 2009, 12, 781–803. [Google Scholar]
- Vesel, R.W., Jr.; Mcnamara, J.J. Performance enhancement and load reduction of a 5 MW wind turbine blade. Renew. Energy 2014, 66, 391–401. [Google Scholar] [CrossRef]
- Fuglsang, P.; Thomsen, K. Site-specific design optimization of 1.5–2.0 MW wind turbines. J. Sol. Energy Eng. 2001, 123, 296–303. [Google Scholar] [CrossRef]
- Barnes, R.H.; Morozov, E.V. Structural optimisation of composite wind turbine blade structures with variations of internal geometry configuration. Compos. Struct. 2016, 152, 158–167. [Google Scholar] [CrossRef]
- Jureczko, M.; Pawlak, M.; Mężyk, A. Optimisation of wind turbine blades. J. Mater. Process. Technol. 2005, 167, 463–471. [Google Scholar] [CrossRef]
- Buckney, N.; Pirrera, A.; Green, S.D. Structural efficiency of a wind turbine blade. Thin Walled Struct. 2013, 67, 144–154. [Google Scholar] [CrossRef]
- Pirrera, A.; Capuzzi, M.; Buckney, N.; Weaver, P.M. Optimization of Wind Turbine Blade Spars. In Proceedings of the 53rd AIAA/ASME/ASCE/AHS/ASC Structures, Structural Dynamics, & Materials Conference, Honolulu, HI, USA, 23–26 April 2012. [Google Scholar]
- Ye, Z.; Liu, X.; Chen, Y. Global Optimum Design Method and Software for the Rotor Blades of Horizontal Axis Wind Turbines. Wind Eng. 2002, 26, 257–269. Available online: http://dx.doi.org/10.1260/030952402321039449 (accessed on 05 March 2017).
- Liu, X.; Chen, Y.; Ye, Z. Optimization model for rotor blades of horizontal axis wind turbines. Front. Mech. Eng. China 2007, 2, 483–488. [Google Scholar] [CrossRef]
- Gutierrez, C.R. Aerodynamic and Aeroelastic Design of Low Wind Speed Wind Turbine Blades. Master’s Thesis, Delft University of Technology, Delft, The Netherlands, 2014. [Google Scholar]
- Zhu, J.; Cai, X.; Gu, R. Aerodynamic and Structural Integrated Optimization Design of Horizontal-Axis Wind Turbine Blades. Energies 2016, 9, 66. [Google Scholar] [CrossRef]
- Meng, G.; Jicai, N.; Wu, X. Normal and Extreme Wind Conditions for Power at Coastal Locations in China. PLoS ONE 2015, 10, e0136876. [Google Scholar]
- Silva, J.; Ribeiro, C.; Guedes, R. Roughness Length Classification of Corine Land Cover Classes. In Proceedings of the European Wind Energy Conference & Exhibition (EWEC) 2007; MEGAJOULE Consultants, Milan, Italy, 7–10 May 2007. [Google Scholar]
- International Standard IEC 61400-1: Wind Turbine—Part 1: Design Requirements, 3rd ed.; International Electrotechnical Commission: Geneva, Switzerland,, 2005.
- Piegl, L.; Tiller, W. The NURBS Book, 2nd ed.; Springer: New York, NY, USA, 1997. [Google Scholar]
- Jonkman, J.; Butterfield, S.; Musial, W.; Scott, G. Definition of a 5-MW Reference Wind Turbine for Offshore System Development; National Renewable Energy Laboratory: Golden, CO, USA, 2009. [Google Scholar]
- Ramos-García, N.; Sørensen, J.N.; Shen, W.Z. A strong viscous-inviscid interaction model for rotating airfoils. Wind Energy 2013, 17, 1957–1984. [Google Scholar] [CrossRef]
- Viterna, L.A.; Janetzke, D.C. Theoretical and Experimental Power from Large Horizontal-Axis Wind Turbines; NASA Lewis Research Center: Cleveland, OH, USA,, 1982. [Google Scholar]
- Øye, S. FLEX4 simulation of wind turbine dynamics. In Proceedings of the 28th IEA Meeting of Experts Concerning State of the Art of Aeroelastic Codes for Wind Turbine Calculations, Lyngby, Denmark, 11–12 April 1996. [Google Scholar]
- Bir, G.S. User’s Guide to PreComp: Pre-Processor for Computing Composite Blade Properties; National Renewable Energy Laboratory: Golden, CO, USA, 2005. [Google Scholar]
- Jonkman, J.M.; Buhl, M.L. FAST User’s Guide; National Renewable Energy Laboratory: Golden, CO, USA, 2005. [Google Scholar]
- Larsen, T.J.; Hansen, A.M. HAWC2—User Manual; Technical University of Denmark: Lyngby, Denmark, 2007. [Google Scholar]
- Hasen, M.O.L.; Sorensen, J.N.; Voutsinas, S.; Sorensen, N.; Madsen, H.A. State of the art in wind turbine aerodynamics and aeroelasticity. Prog. Aerosp. Sci. 2006, 42, 285–330. [Google Scholar] [CrossRef]
- Borg, M.; Bredmose, H. Qualification of Innovative Floating Substructures for 10 MW Wind Turbines and Water Depths Greater Than 50 m. Deliverable D4.4—Overview of the Numerical Models Used in the Consortium and Their Qualification; Technical Report DTU Wind Energy E-0097; Technical University of Denmark: Lyngby, Denmark, 2015. [Google Scholar]
- Sessarego, M.; Ramos-Garcia, N.; Sorensen, J.N.; Shen, W.Z. Development of an aeroelastic code based on three-dimensional viscous-inviscid method for wind turbine computations. Wind Energy 2017. [Google Scholar] [CrossRef]
- Blasques, J.P.; Stolpe, M. Multi-material topology optimization of laminated composite beam cross sections. Compos. Struct. 2012, 94, 3278–3289. [Google Scholar] [CrossRef]
- Yu, W.; Hodges, D.H.; Ho, J.C. Variational asymptotic beam sectional analysis—An updated version. Int. J. Eng. Sci. 2012, 59, 40–64. [Google Scholar] [CrossRef]
- Ning, A.; Damiani, R.; Moriarty, P.J. Objectives and constraints for wind turbine optimization. J. Sol. Energy Eng. 2014, 136, 041010. [Google Scholar] [CrossRef]
- Bir, G.S. User’s Guide to BModes: Software for Computing Rotating Beam Coupled Modes; National Renewable Energy Laboratory: Golden, CO, USA, 2007. [Google Scholar]
- Hansen, M.O.L. Aerodynamics of Wind Turbines, 2nd ed.; Earthscan: London, UK, 2008. [Google Scholar]
- Sessarego, M.; Ramos-García, N.; Shen, W.Z.; Sørensen, J.N. Large wind turbine rotor design using an aero-elastic/free-wake panel coupling code. J. Phys. Conf. Ser. 2016, 753, 042017. [Google Scholar] [CrossRef]
- Sessarego, M.; Ramos-García, N.; Yang, H.; Shen, W.Z. Aerodynamic wind-turbine rotor design using surrogate modeling and three-dimensional viscous-inviscid interaction technique. Renew. Energy 2016, 93, 620–635. [Google Scholar] [CrossRef]
- MATLAB 2014b; The MathWorks Inc.: Natick, MA, USA, 10 October 2014.
- Chow, R. Computational Investigations of Inboard Flow Separation and Mitigation Techniques on Multi-Megawatt Wind Turbines. Ph.D. Thesis, University of California Davis, Davis, CA, USA, 2011. [Google Scholar]
- Sale, D.C. Northwest National Renewable Energy Center, Department of Mechanical Engineering. In User’s Guide to Co-Blade: Software for Structural Analysis of Composite Blades; University of Washington: Seattle, WA, USA, 2012. [Google Scholar]
- Joncas, S.; de Ruiter, M.J.; van Keulen, F. Preliminary design of large wind turbine blades using layout optimization techniques. In Proceedings of the 10th AIAA/ISSMO multidisciplinary analysis and optimization conference, Albany, NY, USA, 30 August–1 September 2004. [Google Scholar]
- Resor, B.R. Definition of a 5 MW/61.5 m Wind Turbine Blade Reference Model; Sandia National Laboratories: Albuquerque, NM, USA, 2013. [Google Scholar]
- Shi, Y. Particle swarm optimization: Developments, applications and resources. In Proceedings of the 2001 Congress on Evolutionary Computation, Seoul, Korea, 27–30 May 2001; Volume 1, pp. 81–86. [Google Scholar]


















| Variable | Description | Boundary |
|---|---|---|
| N1 | Number of UD carbon plies at cap (r = R1 − Lcap/3 to r = R1 + 2Lcap/3) | 100–140 |
| N2 | Number of UD carbon plies at cap (r = R2 m) | 95–135 |
| Lcap | Span-wise length with a same number of UD carbon plies | 15–30 m |
| Wcap | Arc length of the cap | 0.4–0.9 m |
| L1 | Installation angle of shear webs | −10–15 degree |
| L2 | Perpendicular distance of the two shear webs | 0.6–1.0 m |
| N3 | Number of UD glass plies at LRP (r = R1 − Lcap/3 to r = R1 + Lcap/3) | 30–50 |
| N4 | Number of UD glass plies at TRP (r = R1 − Lcap/3 to r = R1 + Lcap/3) | 20–40 |
| N5 | Number of TA plies of root reinforcement (r =1.5 m to r =3 m) | 20–40 |
| N6 | Number of TA plies of root reinforcement (r = 4.5 m) | 5–20 |
| T2 | Total thickness of foam at TEP (r = R1 − Lcap/3 to r = R1 + 2Lcap/3) | 20–100 mm |
| Variable | N1 | N2 | Lcap | Wcap | L1 | L2 | N3 | N4 | N5 | N6 | T2 |
|---|---|---|---|---|---|---|---|---|---|---|---|
| Initial | 135 | 125 | 27.00 m | 0.6000 m | 8.50 degree | 0.8000 m | 35 | 30 | 30 | 10 | 60 mm |
| Optimized | 100 | 126 | 23.00 m | 0.7885 m | 9.99 degree | 1.0000 m | 50 | 27 | 20 | 8 | 20 mm |
| Mode | Reference [51] | Initial | Optimized |
|---|---|---|---|
| 1 | 0.87 Hz, 1st flapwise | 0.82 Hz, 1st edgewise | 0.79 Hz, 1st edgewise |
| 2 | 1.06 Hz, 1st edgewise | 1.02 Hz, 1st flapwise | 0.98 Hz, 1st flapwise |
| 3 | 2.68 Hz, 2nd flapwise | 3.03 Hz, 2nd flapwise | 3.13 Hz, 2nd flapwise |
| 4 | 3.91 Hz, 2nd edgewise | 3.61 Hz, 2nd edgewise | 3.77 Hz, 2nd edgewise |
| 5 | 5.57 Hz, 2nd flapwise | 5.81 Hz, 1st torsion | 5.76 Hz, 1st torsion |
| 6 | 6.45 Hz, 1st torsion | 6.16 Hz, 3rd flapwise | 6.40 Hz, 3rd flapwise |
| Ply No. | 2nd | 3rd | 4th | 5th | 6th | 7th | 1st (Web) | 2nd (Web) |
|---|---|---|---|---|---|---|---|---|
| Initial | 0.52219 | 0.4904 | 0.5631 | 0.5192 | 0.5338 | 0.4530 | 0.9302 | 0.9118 |
| Optimized | 0.6624 | 0.6369 | 0.8927 | 0.6074 | 0.8433 | 0.5726 | 0.8148 | 0.8137 |
© 2017 by the authors. Licensee MDPI, Basel, Switzerland. This article is an open access article distributed under the terms and conditions of the Creative Commons Attribution (CC BY) license (http://creativecommons.org/licenses/by/4.0/).
Share and Cite
Sun, Z.; Sessarego, M.; Chen, J.; Shen, W.Z. Design of the OffWindChina 5 MW Wind Turbine Rotor. Energies 2017, 10, 777. https://doi.org/10.3390/en10060777
Sun Z, Sessarego M, Chen J, Shen WZ. Design of the OffWindChina 5 MW Wind Turbine Rotor. Energies. 2017; 10(6):777. https://doi.org/10.3390/en10060777
Chicago/Turabian StyleSun, Zhenye, Matias Sessarego, Jin Chen, and Wen Zhong Shen. 2017. "Design of the OffWindChina 5 MW Wind Turbine Rotor" Energies 10, no. 6: 777. https://doi.org/10.3390/en10060777
APA StyleSun, Z., Sessarego, M., Chen, J., & Shen, W. Z. (2017). Design of the OffWindChina 5 MW Wind Turbine Rotor. Energies, 10(6), 777. https://doi.org/10.3390/en10060777

