Stability Analysis of the Cyber Physical Microgrid System under the Intermittent DoS Attacks
Abstract
:1. Introduction
2. IDoS Attack in a Cyber Physical Microgrid
2.1. Intermitent DoS Attack Definition
2.2. Modeling of the IDoS Attack in the Cyber Network
- (1)
- the web server reaches the maximum number of requests that can process;
- (2)
- the intermittent stimulus impulses block the communication channel, which greatly reduces the number of legitimate requests;
- (3)
- repeated attacks to the server over a long time make it overloaded, which causes the system oscillation due to an inefficient information transmission, i.e., communication delay.
3. Security Analysis of the Microgrid under IDoS Attacks
3.1. Modeling of the Microgrid System under IDoS Attack
3.2. Risk Assessment in the Microgrid
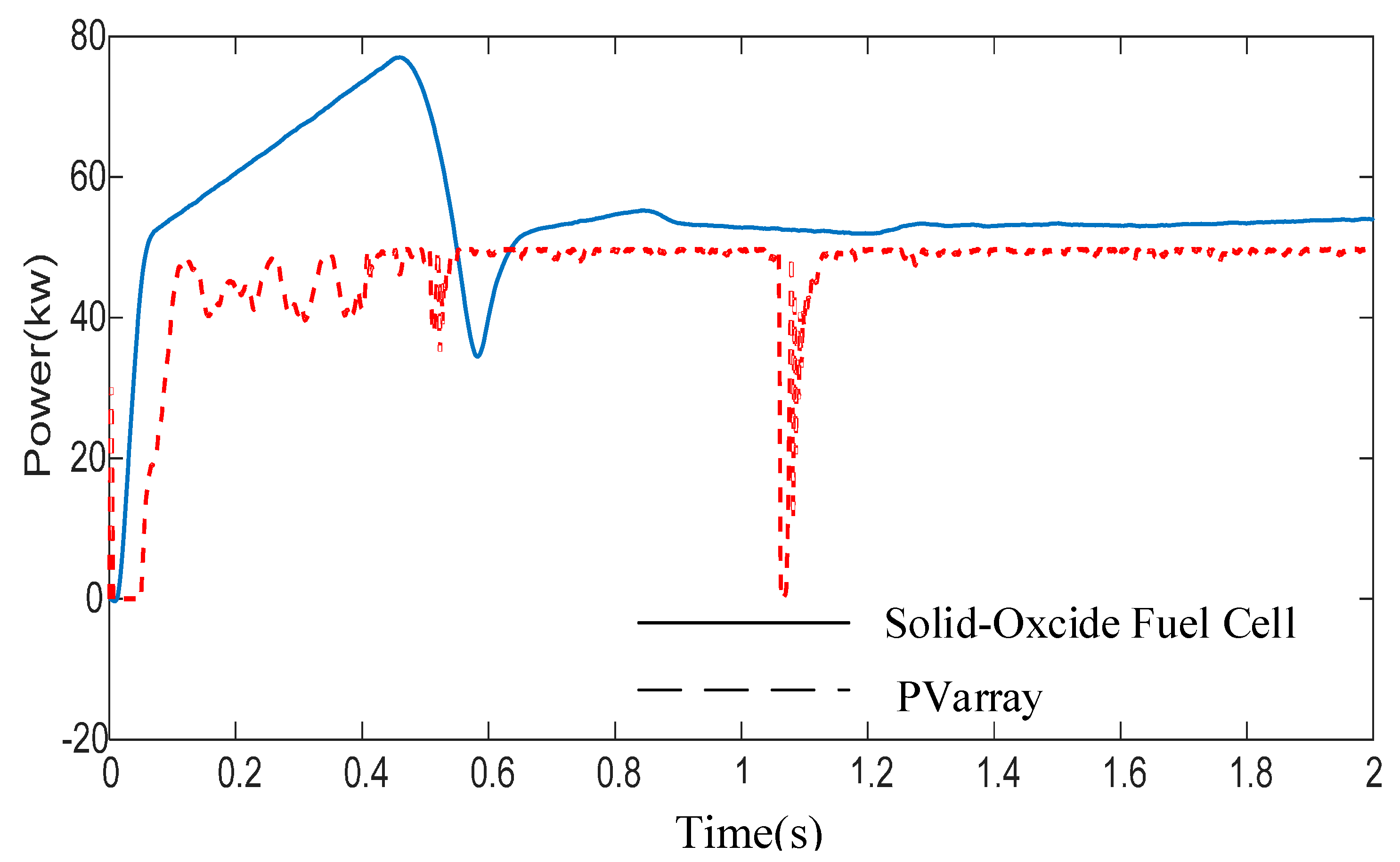
4. Simulation Results
5. Conclusions
Acknowledgments
Author Contributions
Conflicts of Interest
References
- Bidram, A.; Davoudi, A. Hierarchical structure of microgrids control system. IEEE Trans. Smart Grid 2012, 3, 1963–1976. [Google Scholar] [CrossRef]
- Guerrero, J.M.; Vasquez, J.C.; Teodoresu, R. Hierarchical control of droop-controlled AC and DC microgrids-a general approach toward standardization. IEEE Trans. Ind. Electron. 2011, 58, 158–167. [Google Scholar] [CrossRef]
- Hu, J.F.; Zhu, J.G.; Dorrell, D.G. Model predictive control of inverters for both islanded and grid-connected operations in renewable power generations. IET Renew. Power Gener. 2014, 8, 240–248. [Google Scholar] [CrossRef]
- Yang, X.; Song, Y.; Wang, G.; Wang, W. A comprehensive review on the development of sustainable energy strategy and implementation in China. IEEE Trans. Sustain. Energy 2010, 1, 57–65. [Google Scholar] [CrossRef]
- Soroudi, A.; Ehsan, M.; Caire, R.; Hadjsaid, N. Possibilistic evaluation of distributed generations impacts on distribution networks. IEEE Trans. Power Syst. 2011, 26, 2293–2301. [Google Scholar] [CrossRef]
- Liu, X.; Mohammad, S.; Cao, Y.; Wu, L. Microgrid risk analysis considering the impact of cyber attacks on solar PV ESS control systems. IEEE Trans. Smart Grid 2017, 8, 1330–1339. [Google Scholar] [CrossRef]
- Closon, C.M.; Nehrir, M.H. Algorithms for distributed decision-making for multi-agent microgrid power management. In Proceedings of the IEEE Power and Energy Society General Meeting, Detroit, MI, USA, 24–29 July 2011; pp. 1–8. [Google Scholar]
- Sechilariu, M.; Wang, B.C.; Locment, F. Building integrated photovoltaic system with energy storage and smart grid communication. IEEE Trans. Ind. Electron. 2013, 60, 1607–1618. [Google Scholar] [CrossRef]
- Dou, C.X.; Liu, B. Multi-agent based hierarchical hybrid control for smart microgrid. IEEE Trans. Smart Grid 2013, 4, 771–778. [Google Scholar] [CrossRef]
- Mohamed, F.A.; Koivo, H.N. System modeling and online optimal management of microgrid using mesh adaptive direct search. Int. J. Electr. Power Energy Syst. 2010, 32, 398–407. [Google Scholar] [CrossRef]
- Zhang, L.; Gao, H.; Kaynak, O. Network-induced constraints in networked control systems: A survey. IEEE Trans. Ind. Inform. 2013, 9, 403–416. [Google Scholar] [CrossRef]
- Ye, X.; Liu, S.; Liu, P.X. Modelling and stabilization of network control system with packet loss and time-varying delays. IET Control Theory Appl. 2010, 4, 1094–1100. [Google Scholar] [CrossRef]
- Liu, S.; Wang, X.; Liu, P.X. Impact of communication delays on secondary frequency control in an islanded microgrid. IEEE Trans. Ind. Electron. 2015, 62, 2021–2031. [Google Scholar] [CrossRef]
- Zhong, X.; Yu, L.; Brooks, R.; Venayagamoorthy, G.K. Cyber security in smart DC microgrid operations. In Proceedings of the 2015 IEEE 1st International Conference on Direct Current Microgrid, Atlanta, GA, USA, 7–10 June 2015; pp. 86–91. [Google Scholar]
- Rahman, M.S.; Mahmud, M.A.; Oo, A.M.T. Multi-agent approach for enhancing security of protection schemes in cyber-physical energy systems. IEEE Trans. Ind. Inform. 2017, 13, 436–447. [Google Scholar] [CrossRef]
- Robert, K.; Sheldon, F.T. Security Analysis of smart grid cyber physical infrastructures using game theoretic simulation. In Proceedings of the IEEE Symposium Series on Computational Intelligence, Cape Town, South Africa, 7–10 December 2015; pp. 455–462. [Google Scholar]
- Meraj, T.; Sharmin, S.; Mahmud, A. Studying the impacts of cyber-attack on smart grid. In Proceedings of the 2nd International Electrical Information and Communication Technology Conference, Khulna, Bangladesh, 10–12 December 2015; pp. 461–466. [Google Scholar]
- Lee, R.M.; Assante, M.J.; Conway, T. Analysis of the Cyber Attack on the Ukrainian Power Grid; Electricity Information Sharing and Analysis Center (E-ISAC): Washington, DC, USA, 18 March 2016. [Google Scholar]
- Chalamasetty, G.K.; Mandal, P.; Tseng, B. Secure SCADA communication network for detecting and preventing cyber-attacks on power systems. In Proceedings of the 2016 Clemson University Power System Conference, Clemson, SC, USA, 8–11 March 2016; pp. 1–7. [Google Scholar]
- Chalamasetty, G.K.; Mandal, P.; Tseng, B. SCADA framework incorporating MANET and IDP for cyber security of residential microgrid communication network. Smart Grid Renew. Energy 2016, 7, 104–112. [Google Scholar] [CrossRef]
- Ten, C.W.; Liu, C.C.; Manimaran, G. Vulnerability assessment of cyber security for SCADA systems. IEEE Trans. Power Syst. 2008, 23, 1836–1846. [Google Scholar] [CrossRef]
- Sun, Y.B.; Chen, Y.P.; Bai, Z. Fault diagnosis for power system using time sequence fuzzy Petri net. In Proceedings of the 3rd International Conference on Mechanical Engineering and Intelligent Systems, Yinchuan, China, 15–16 August 2015; pp. 729–735. [Google Scholar]
- Wooi, T.C.; Govindarasu, M.; Liu, C.C. Cyber security for critical infrastructures: Attack and defense modeling. IEEE Trans. Syst. Man Cybern. 2010, 40, 853–863. [Google Scholar]
- Chen, T.M.; Carlous, S.-A.J.; John, B. Petri net modeling of cyber-physical attacks on smart grid. IEEE Trans. Smart Grid 2011, 2, 741–749. [Google Scholar] [CrossRef]
- Gharavi, H.; Hu, B. 4-way Handshaking protection for wireless mesh network security in smart grid. In Proceedings of the 2013 IEEE Global Communications Conference, Atlanta, GA, USA, 9–13 December 2013; pp. 790–795. [Google Scholar]
- Srikantha, P.; Kundur, D. Denial of service attacks and mitigation for stability in cyber-enabled power grid. In Proceedings of the 2015 IEEE Power & Energy Society Innovative Smart Grid Technologies Conference, Washington, DC, USA, 18–20 February 2015; pp. 1–5. [Google Scholar]
- Guirguis, M.; Bestavros, A.; Matta, I.; Zhang, Y. Reduction of quality attacks on internet end-systems. In Proceedings of the 24th Annual Joint Conference of the IEEE Computer & Communications Societies, Miami, FL, USA, 14–17 March 2005; pp. 1362–1372. [Google Scholar]
- Tang, Y.; Luo, X.; Qing, H.; Chang, R.K.C. Modeling the vulnerability of feedback-control based internet services to low-rate DoS Attacks. IEEE Trans. Inf. Forensics Secur. 2014, 9, 339–353. [Google Scholar] [CrossRef]
- Dou, C.; Lv, M.; Zhao, T.; Ji, Y.; Li, H. Decentralised coordinated control of microgrid based on multi-agent system. IET Gener. Transm. Distrib. 2015, 9, 2474–2484. [Google Scholar] [CrossRef]











| Name | Parameter |
|---|---|
| inductance | 0.01 H |
| capacitance | 1 × 10−6 F |
| resistance | 0.1 Ω |
| PV rate output power | 49 kW |
| Fuel cell rate output power | 53 kW × 2 |
© 2017 by the authors. Licensee MDPI, Basel, Switzerland. This article is an open access article distributed under the terms and conditions of the Creative Commons Attribution (CC BY) license (http://creativecommons.org/licenses/by/4.0/).
Share and Cite
Fu, R.; Huang, X.; Sun, J.; Zhou, Z.; Chen, D.; Wu, Y. Stability Analysis of the Cyber Physical Microgrid System under the Intermittent DoS Attacks. Energies 2017, 10, 680. https://doi.org/10.3390/en10050680
Fu R, Huang X, Sun J, Zhou Z, Chen D, Wu Y. Stability Analysis of the Cyber Physical Microgrid System under the Intermittent DoS Attacks. Energies. 2017; 10(5):680. https://doi.org/10.3390/en10050680
Chicago/Turabian StyleFu, Rong, Xiaojuan Huang, Jun Sun, Zhenkai Zhou, Decheng Chen, and Yingjun Wu. 2017. "Stability Analysis of the Cyber Physical Microgrid System under the Intermittent DoS Attacks" Energies 10, no. 5: 680. https://doi.org/10.3390/en10050680
APA StyleFu, R., Huang, X., Sun, J., Zhou, Z., Chen, D., & Wu, Y. (2017). Stability Analysis of the Cyber Physical Microgrid System under the Intermittent DoS Attacks. Energies, 10(5), 680. https://doi.org/10.3390/en10050680
